Теория ограничений Голдратта. Системный подход к непрерывному совершенствованию - Уильям Детмер
Книгу Теория ограничений Голдратта. Системный подход к непрерывному совершенствованию - Уильям Детмер читаем онлайн бесплатно и без регистрации! Читать онлайн вы можете не только на компьютере, но и на андроид (Android), iPhone и iPad. Наслаждайтесь!
220 0 11:15, 21-05-2019Книга Теория ограничений Голдратта. Системный подход к непрерывному совершенствованию - Уильям Детмер читать онлайн бесплатно без регистрации
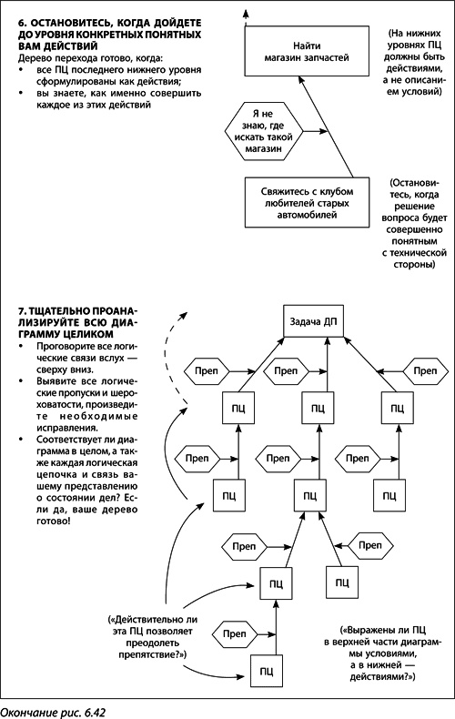
Кроме того, ППР дает возможность оценить план реализации задачи на предмет полноты и выполнимости. Ведь мы помним, что дерево перехода выявляет только необходимые для реализации задачи условия, в нем указан минимальный набор условий и действий по преодолению препятствий. Тем не менее этот набор может быть неполным, недостаточным для достижения желаемых результатов системы в целом.
Если же следом за ДП вы строите ППР, промежуточные цели ДП становятся первоочередными действиями или же результатами в ППР. В последнем как минимум будут учтены необходимые условия реализации задачи, но ППР позволяет дополнительно сформулировать и достаточные условия. Подробнее о совместном использовании дерева перехода и плана преобразований говорится в главе 7 «План преобразований».
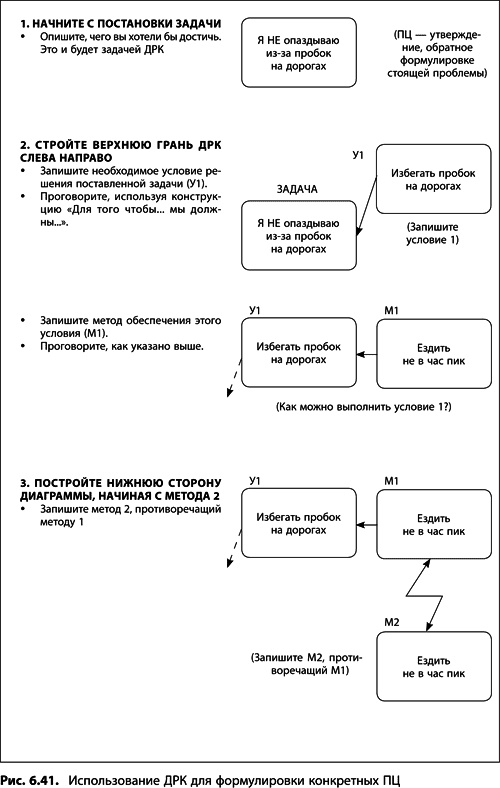
Итак, теперь, когда наше дерево перехода готово, можно приступать к завершающей стадии – разработке детальной последовательности шагов, необходимых для реализации принятого решения.
Дерево текущей реальности выявило, что именно необходимо изменить в текущей ситуации; диаграмма разрешения конфликтов позволила сформулировать, в каком направлении вести перемены, а дерево будущей реальности помогло протестировать предложенные идеи на возможность воплощения. Далее мы использовали дерево перехода, чтобы наметить приблизительный, ориентировочный путь достижения цели, понять, какие действия помогут осуществить перемены, преодолеть стоящие на пути препятствия. Теперь схематичный рисунок (ДП) нужно наполнить содержанием, добавив в него не просто необходимые (как в дереве перехода), но достаточные для решения основной задачи пункты. Как это сделать, описано в главе 7, которая дает ответ на вопрос «Достаточно ли предложенных действий, чтобы сделать очередной шаг, приближающий нас к решению основной задачи?». Помните, что одного желания для совершенствования системы может быть недостаточно.
Благими намерениями вымощена дорога в ад.













Одно практическое применение стоит тысячи теорий.

План преобразований (ППР) разрабатывается на завершающей стадии преобразования системы. С его помощью завершается строительство логики преобразований – от задач, поставленных перед конкретными исполнителями, до осуществления заветной цели руководства – создания обновленной развивающейся организации.
Различие между деревом перехода и планом преобразований заключается в том, что последнее содержит полный набор условий и действий, достаточный для выполнения стоящей задачи. Если ДП только выявляет преграды и помогает найти способы их преодоления, то ППР позволяет составить полноценный план действий по достижению цели.
План преобразований – это логическое построение, представляющее собой пошаговое описание процесса реализации задачи. Это инструмент внедрения. Его суть – дать исполнителям направляющие инструкции, следуя которым можно достичь желаемого результата (рис. 7.1). При этом ППР обычно использует последовательную логику продвижения к цели, а сама основная задача формулируется весьма конкретно.

План преобразований строится для того, чтобы:
Прочитали книгу? Предлагаем вам поделится своим впечатлением! Ваш отзыв будет полезен читателям, которые еще только собираются познакомиться с произведением.
Уважаемые читатели, слушатели и просто посетители нашей библиотеки! Просим Вас придерживаться определенных правил при комментировании литературных произведений.
Просьба отказаться от дискриминационных высказываний. Мы защищаем право наших читателей свободно выражать свою точку зрения. Вместе с тем мы не терпим агрессии. На сайте запрещено оставлять комментарий, который содержит унизительные высказывания или призывы к насилию по отношению к отдельным лицам или группам людей на основании их расы, этнического происхождения, вероисповедания, недееспособности, пола, возраста, статуса ветерана, касты или сексуальной ориентации. Просьба отказаться от оскорблений, угроз и запугиваний. Просьба отказаться от нецензурной лексики. Просьба вести себя максимально корректно как по отношению к авторам, так и по отношению к другим читателям и их комментариям.
Надеемся на Ваше понимание и благоразумие. С уважением, администратор My-Books.me.
Оставить комментарий
-
Александра15 январь 09:37
Очень интересная книга! Особенно, если любишь психологию и хочешь понимать себя и других. Обязательно послушаю до конца. Спасибо....
Кригер Борис – Гнев
-
Галина25 май 13:02
Очень уважаю Артема Шейнина, книга замечательная, очень мне близкая по духу.Перечитываю уже второй раз, столько пережитого и не...
Мне повезло вернуться - Артем Шейнин
-
Екатерина11 январь 08:05
Доброе утро. Подскажите пожалуйста как сохранять книги, ставить закладки?...
Подонок - Анастасия Леманн