Пуговицы Наполеона. Семнадцать молекул, которые изменили мир - Джей Берресон
Книгу Пуговицы Наполеона. Семнадцать молекул, которые изменили мир - Джей Берресон читаем онлайн бесплатно и без регистрации! Читать онлайн вы можете не только на компьютере, но и на андроид (Android), iPhone и iPad. Наслаждайтесь!
253 0 18:36, 25-05-2019Книга Пуговицы Наполеона. Семнадцать молекул, которые изменили мир - Джей Берресон читать онлайн бесплатно без регистрации
Еще примерно через двадцать лет Китай проиграл Вторую опиумную войну, в которой принимали участие как Британия, так и Франция, и вынужден был пойти на дополнительные уступки. Для иностранного торгового флота были открыты дополнительные порты, европейцам разрешалось путешествовать и жить в Китае, христианским миссионерам была обеспечена свобода передвижения, и, наконец, была легализована торговля опиумом. Опиум, табак и чай стали причиной прекращения многовековой изоляции Китая от остального мира. В Китае начался период беспорядков и перемен, закончившийся в 1911 году революцией.
Опиум содержит двадцать четыре алкалоида. Среди них преобладает морфин, на долю которого приходится 10 % массы грубого экстракта опийного мака — клейкого высушенного секрета этого растения. Впервые чистый морфин из этого экстракта в 1803 году выделил немецкий фармацевт Фридрих Вильгельм Адам Сертюрнер. Он назвал выделенное им соединение морфином в честь Морфея — римского и греческого бога сновидений. Морфин — наркотик, то есть вещество, которое нарушает чувствительность (при этом устраняет боль) и вызывает сон.
После открытия Сертюрнера морфин начали активно изучать, однако его химическую структуру удалось окончательно установить только в 1925 году[22]. Эту отсрочку в сто двадцать два года нельзя назвать непродуктивной. Химики-органики считают расшифровку структуры этого соединения столь же важным вкладом в науку, как и изучение его болеутоляющих свойств. В результате разгадывания этой сложной головоломки сформировались классические методы определения химической структуры веществ, возникли новые лабораторные технологии, пришло понимание трехмерной структуры соединений углерода, были созданы новые методы химического синтеза. Благодаря исследованию структуры морфина были определены структуры других важных соединений.

Структура морфина. Жирные клиновидные линии указывают на то, что связь находится вне поверхности рисунка (в данном случае над ней).
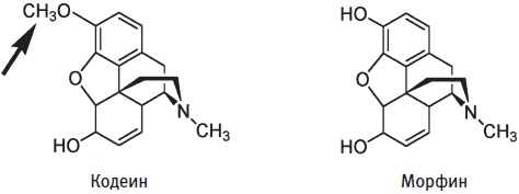
На сегодняшний день морфин и его производные являются самыми мощными анестетиками. К сожалению, выраженность обезболивающих свойств данных веществ, по-видимому, коррелирует с их способностью вызывать сильное привыкание. Родственное морфину соединение кодеин, которое содержится в опиуме в гораздо меньшей пропорции (от 0,3 до 2 %), не так сильно вызывает привыкание, но зато и гораздо менее эффективно, чем морфин. Различие в структуре этих веществ невелико: в молекуле кодеина на месте OH-группы располагается CH3O-группа (на рисунке внизу она показана стрелкой).

Структура кодеина. Стрелка указывает на единственное различие между структурами морфина и кодеина.
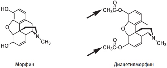
Задолго до того, как была окончательно установлена химическая структура морфина, ученые предпринимали попытки модифицировать эту молекулу так, чтобы получить более эффективное болеутоляющее средство, которое не вызывало бы столь сильного привыкания. В 1898 году исследователи из немецкой фармацевтической компании “Байер” (имено там, напомним, пятью годами ранее Феликс Хоффман синтезировал ацетилсалициловую кислоту) подвергли морфин той же реакции ацетилирования, которая позволяет превращать салициловую кислоту в аспирин. Это был вполне логичный шаг. Ведь аспирин оказался превосходным анальгетиком, гораздо менее токсичным, чем салициловая кислота.

Диацетилированное производное морфина. Стрелки указывают на положения в молекуле, где вместо атомов водорода в OH-группах морфина оказались CH3O-группы, в результате чего получился героин.
Однако в данном случае замена атомов водорода в OH-группах морфина на СН3O-группы привела к совершенно иным последствиям. Сначала результаты казались обнадеживающими. Диацетилморфин оказался гораздо более эффективным анальгетиком, чем морфин, так что использовать его можно было в очень низких дозах. Но за его эффективностью скрывалась проблема, которая станет ясна каждому из нас, если мы назовем это вещество его общепринятым именем. Создатели назвали его героином (подразумевая, что это “героическое” лекарство), и это одно из веществ, вызывающих наиболее сильное привыкание. Механизм физиологического действия морфина и героина один и тот же, поскольку в головном мозге CH3O-группы героина вновь превращаются в OH-группы. Однако молекула героина гораздо легче проникает через гематоэнцефалический барьер, чем молекула морфина, что приводит к более быстрой и сильной эйфории, которая притягивает людей, попавших в наркотическую зависимость.
Поскольку оказалось, что выпущенный компанией “Байер” героин не вызывает тошноты и запоров, как морфин, его стали назначать от кашля, астмы, мигрени, эмфиземы, даже туберкулеза. Однако как только побочное действие этого “супераспирина” стало очевидным, компания перестала его рекламировать. Когда в 1917 году истек срок действия патента на аспирин и его начали производить другие компании, “Байер” подала в суд в связи с нарушением патентного права. Однако она никогда не преследовала в судебном порядке использование названия “героин” для диацетилморфина.
В настоящее время в большинстве стран действует запрет на ввоз, производство и владение героином. Но все эти меры бессильны против незаконной торговли маленькими молекулами. Одной из проблем, с которыми сталкиваются подпольные лаборатории, производящие героин из морфина, является устранение следов уксусной кислоты — одного из побочных продуктов синтеза. Уксусная кислота имеет характерный запах (запах уксуса). Часто именно этот запах позволяет спецслужбам обнаружить подпольное производство. Специально обученные собаки способны учуять очень слабый запах, который человеческий нос уловить не в состоянии.
Исследования обезболивающей способности морфина и родственных алкалоидов показывают, что эти вещества не препятствуют прохождению нервных импульсов в головной мозг. Вместо этого они изменяют способ восприятия им болевых сигналов. По-видимому, молекула морфина может связываться с болевыми рецепторами в головном мозге и блокировать их действие, что соответствует химической теории о том, что для связывания с рецептором молекула должна иметь совершенно определенную форму.
Морфин имитирует действие эндорфинов — природных болеутоляющих молекул, содержание которых в головном мозге обычно очень низкое, но возрастает в моменты стресса. Эндорфины — это полипептиды, то есть вещества, состоящие из соединенных молекул аминокислот. Пептиды являются структурной основой белков, например белка шелка (см. главу 6). Но если молекула белка шелка состоит из сотен или даже тысяч аминокислотных остатков, то эндорфины построены всего из нескольких аминокислот. Два известных эндорфина являются пентапептидами (состоят из пяти аминокислотных остатков). Оба эти эндорфина имеют такой же структурный элемент, какой содержится в молекуле морфина: остаток β-фенилэтиламина. Считается, что именно этот элемент структуры отвечает за влияние на мозг таких веществ, как ЛСД, мескалин и некоторых других галлюциногенных молекул.
Прочитали книгу? Предлагаем вам поделится своим впечатлением! Ваш отзыв будет полезен читателям, которые еще только собираются познакомиться с произведением.
Уважаемые читатели, слушатели и просто посетители нашей библиотеки! Просим Вас придерживаться определенных правил при комментировании литературных произведений.
Просьба отказаться от дискриминационных высказываний. Мы защищаем право наших читателей свободно выражать свою точку зрения. Вместе с тем мы не терпим агрессии. На сайте запрещено оставлять комментарий, который содержит унизительные высказывания или призывы к насилию по отношению к отдельным лицам или группам людей на основании их расы, этнического происхождения, вероисповедания, недееспособности, пола, возраста, статуса ветерана, касты или сексуальной ориентации. Просьба отказаться от оскорблений, угроз и запугиваний. Просьба отказаться от нецензурной лексики. Просьба вести себя максимально корректно как по отношению к авторам, так и по отношению к другим читателям и их комментариям.
Надеемся на Ваше понимание и благоразумие. С уважением, администратор My-Books.me.
Оставить комментарий
-
Александра15 январь 09:37
Очень интересная книга! Особенно, если любишь психологию и хочешь понимать себя и других. Обязательно послушаю до конца. Спасибо....
Кригер Борис – Гнев
-
Галина25 май 13:02
Очень уважаю Артема Шейнина, книга замечательная, очень мне близкая по духу.Перечитываю уже второй раз, столько пережитого и не...
Мне повезло вернуться - Артем Шейнин
-
Екатерина11 январь 08:05
Доброе утро. Подскажите пожалуйста как сохранять книги, ставить закладки?...
Подонок - Анастасия Леманн