Пуговицы Наполеона. Семнадцать молекул, которые изменили мир - Джей Берресон
Книгу Пуговицы Наполеона. Семнадцать молекул, которые изменили мир - Джей Берресон читаем онлайн бесплатно и без регистрации! Читать онлайн вы можете не только на компьютере, но и на андроид (Android), iPhone и iPad. Наслаждайтесь!
253 0 18:36, 25-05-2019Книга Пуговицы Наполеона. Семнадцать молекул, которые изменили мир - Джей Берресон читать онлайн бесплатно без регистрации
Некоторые растения из семейства пасленовых попали в Европу из Нового Света вскоре после путешествия Колумба. Те из них, что содержали алкалоиды, а именно табак (Nicotiana) и красный перец (Capsicum), получили быстрое распространение, тогда как другие представители семейства — помидоры и картофель — европейцами воспринимались с недоверием на удивление долго.
Алкалоиды, близкие по химической структуре к атропину, обнаружены в листьях некоторых растений рода Erythroxylon, в частности кокаинового куста, произрастающего в некоторых районах Южной Америки. Кокаиновый куст не относится к семейству пасленовых: редкая ситуация, поскольку родственные химические соединения обычно содержатся в родственных видах растений. Исторически сложилось, что растения классифицировали по морфологическим признакам. Теперь классификацию иногда изменяют, ориентируясь на химический состав и состав ДНК.

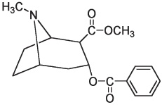
Кокаин

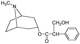
Атропин
Основной алкалоид кокаинового куста — кокаин. В высокогорных районах Перу, Эквадора и Боливии листья этого растения на протяжении сотен лет применяли в качестве стимулирующего средства. Листья смешивают с пастой из лайма и кладут за щеку. Алкалоиды медленно всасываются, помогая снять усталость, а также подавить голод и жажду. Считается, что при таком способе употребления в организм попадает меньше половины грамма кокаина в сутки, что не вызывает привыкания. Этот традиционный способ употребления алкалоидов, по сути, мало чем отличается от нашего современного способа питья чая и кофе. Совсем другое дело — экстрагированный и очищенный кокаин.
Кокаин впервые был выделен в 80-х годах XIX века и считался чудодейственным лекарством. Он оказался весьма эффективным локальным анестетиком. Психиатр Зигмунд Фрейд считал кокаин панацеей от всех бед и прописывал его в связи со стимулирующими свойствами. Фрейд также назначал кокаин для лечения от морфиновой зависимости. Однако вскоре стало ясно, что к кокаину также очень быстро привыкают. Кокаин быстро вызывает состояние крайней эйфории, вслед за которым наступает не менее выраженная депрессия, толкающая человека на поиски новой дозы. Ужасные последствия употребления кокаина для здоровья человека и всего общества широко известны. Однако на основе структуры кокаина было создано множество эффективных локальных анестетиков. Так, бензокаин, новокаин и лидокаин имитируют обезболивающее действие кокаина путем блокирования передачи нервного импульса, но, в отличие от кокаина, не обладают способностью стимулировать нервную систему или нарушать сердечный ритм. Многим из нас благотворное действие этих веществ помогло пережить болевые ощущения, с которыми связано пребывание на приеме у дантиста или проведение хирургической операции.
К гибели на кострах тысяч “ведьм” и “колдунов” была причастна группа алкалоидов с другой структурой. Эти вещества не использовались в качестве галлюциногенов. Действие некоторых алкалоидов из этой группы бывало настолько ужасным, что целые деревни, пораженные этим бичом, могли объяснить происходящее не иначе как происками дьявола. Такие вещества содержатся в спорынье (Clavicepspurpurea) — грибке, который поражает многие злаковые культуры, особенно рожь. Эрготизм (отравление спорыньей) до недавнего времени был одной из основных причин заражения и гибели людей наряду с бактериальными и вирусными инфекциями. Один из алкалоидов спорыньи, эрготамин, заставляет сжиматься кровеносные сосуды. Другой, эргоновин, вызывает сокращения матки и выкидыши у людей и домашних животных. Третий приводит к неврологическим нарушениям. Симптомы отравления зависят от количества попавших в организм алкалоидов, но наиболее часто у людей они таковы: конвульсии, припадки, диарея, летаргический сон, маниакальное поведение, галлюцинации, нарушение подвижности конечностей, рвота, судорожные подергивания, неприятные ощущения на коже, онемение рук и ног. Позднее может возникнуть болезненное жжение, поскольку нарушение циркуляции крови приводит к гангрене. В средневековье эту болезнь называли по-разному: священный огонь, огонь св. Антония, пляска св. Витта. Связь с огнем объясняется ужасным жжением и почернением конечностей по мере прогрессирования гангрены. Часто люди теряли руки, ноги или гениталии. Считалось, что св. Антоний имеет определенную власть над огнем, инфекцией и эпилепсией, именно по этой причине к нему прибегали за помощью в таких случаях. Пляской св. Витта болезнь называли в связи с тем, что конечности людей подергивались в конвульсиях из-за воздействия алкалоидов спорыньи на нервные клетки.
Достаточно легко представить себе ситуацию, когда алкалоиды спорыньи становились причиной отравления жителей целых деревень или городов. Частые дожди в период перед сбором урожая способствовали распространению спорыньи, а хранение собранного зерна в сырых помещениях еще сильнее усугубляло проблему. Совсем небольшого количества спорыньи в муке достаточно, чтобы вызвать сильное отравление. По мере того как у большинства жителей деревни или города появлялись симптомы заболевания, люди начинали задаваться вопросом: почему на них напала такая беда, тогда как с жителями соседних деревень ничего подобного не происходит? Вполне вероятно, что их деревня заколдована. И, как это часто бывает, в природном явлении обвиняли ни в чем не повинную пожилую женщину, которая уже не способна к деторождению и, возможно, не имеет семьи, способной оказать поддержку. Часто такие женщины жили на окраине деревни, возможно, занимались сбором трав и не имели достаточно денег, чтобы купить у мельника муки. Это спасало таких женщин от отравления спорыньей, однако позволяло обвинить их в колдовстве.
Симптомы отравления спорыньей известны людям давно. О его причинах догадывались древние ассирийцы, которые в 600-х годах до н. э. писали о “вредных гнойниках в колосьях”. О том, что “вредные травы” могут вызывать выкидыш у домашнего скота, знали в Персии в 400-х годах до н. э. Но в средневековой Европе, кажется, ничего не знали о том, что грибы или плесень на колосьях могут быть причиной заболевания. Влажные зимы и плохие условия хранения зерна способствовали распространению плесени и грибов. А в условиях голода плохое зерно не выбрасывали, а ели.
Первое упоминание об отравлении спорыньей в Европе относится к 857 году, и случилось это в Германии, в долине Рейна. Именно со спорыньей историки связывают описанную в летописях гибель сорока тысяч человек во Франции в 994, а также гибель двенадцати тысяч в 1129 году. Периодические вспышки заболевания возникали на протяжении сотен лет, вплоть до XX века. В России, на Урале, в 1926–1927 годах от отравления спорыньей пострадало более одиннадцати тысяч человек. В Провансе, на юге Франции, в 1951 году четыре человека умерли и сотни людей отравились зараженной мукой, хотя, по-видимому, и фермер, и мельник, и булочник знали о болезни зерна.
Прочитали книгу? Предлагаем вам поделится своим впечатлением! Ваш отзыв будет полезен читателям, которые еще только собираются познакомиться с произведением.
Уважаемые читатели, слушатели и просто посетители нашей библиотеки! Просим Вас придерживаться определенных правил при комментировании литературных произведений.
Просьба отказаться от дискриминационных высказываний. Мы защищаем право наших читателей свободно выражать свою точку зрения. Вместе с тем мы не терпим агрессии. На сайте запрещено оставлять комментарий, который содержит унизительные высказывания или призывы к насилию по отношению к отдельным лицам или группам людей на основании их расы, этнического происхождения, вероисповедания, недееспособности, пола, возраста, статуса ветерана, касты или сексуальной ориентации. Просьба отказаться от оскорблений, угроз и запугиваний. Просьба отказаться от нецензурной лексики. Просьба вести себя максимально корректно как по отношению к авторам, так и по отношению к другим читателям и их комментариям.
Надеемся на Ваше понимание и благоразумие. С уважением, администратор My-Books.me.
Оставить комментарий
-
Александра15 январь 09:37
Очень интересная книга! Особенно, если любишь психологию и хочешь понимать себя и других. Обязательно послушаю до конца. Спасибо....
Кригер Борис – Гнев
-
Галина25 май 13:02
Очень уважаю Артема Шейнина, книга замечательная, очень мне близкая по духу.Перечитываю уже второй раз, столько пережитого и не...
Мне повезло вернуться - Артем Шейнин
-
Екатерина11 январь 08:05
Доброе утро. Подскажите пожалуйста как сохранять книги, ставить закладки?...
Подонок - Анастасия Леманн