Пуговицы Наполеона. Семнадцать молекул, которые изменили мир - Джей Берресон
Книгу Пуговицы Наполеона. Семнадцать молекул, которые изменили мир - Джей Берресон читаем онлайн бесплатно и без регистрации! Читать онлайн вы можете не только на компьютере, но и на андроид (Android), iPhone и iPad. Наслаждайтесь!
253 0 18:36, 25-05-2019Книга Пуговицы Наполеона. Семнадцать молекул, которые изменили мир - Джей Берресон читать онлайн бесплатно без регистрации
В 1634 году курение оказалось вне закона в России. За нарушение запрета предусматривалось жестокое наказание. Примерно через пятьдесят лет этот указ был отменен, поскольку Петр I был заядлым курильщиком. Испанские и португальские моряки, которые распространили по всему миру перец чили, содержащий алкалоид капсаицин, разнесли всюду и табак, содержавший алкалоид никотин. К XVII веку употребление табака распространилось далеко на Восток, и никакие наказания, включая пытки, не могли воспрепятствовать этому. Несмотря на то, что в некоторых странах, например в Турции, Индии и Персии, от курения некогда “лечили” смертной казнью, сегодня в этих странах курят не меньше, чем в других местах.
Плантаций табака в Европе не хватало для удовлетворения всеобщего спроса. Вскоре испанские и английские колонии в Америке начали выращивать табак на экспорт. Культивирование табака очень трудоемко. Его нужно полоть, удалять лишние листья и соцветия, уничтожать вредителей, а листья собирать и готовить к сушке вручную. Эту работу на плантациях выполняли в основном рабы, и это означает, что никотин, подобно глюкозе, целлюлозе и индиго, также способствовал укоренению рабства в Новом Свете.
В табаке обнаружено не менее десяти алкалоидов, среди которых преобладает никотин. Содержание никотина в табаке варьирует от 2 до 8 % в зависимости от способа выращивания, состава почвы, климата и метода обработки листьев. В очень низких дозах никотин стимулирует работу сердца и центральной нервной системы, однако со временем и при высоких дозах он начинает оказывать угнетающее действие. Этот кажущийся парадокс объясняется способностью никотина имитировать функцию нейромедиаторов.

Никотин
В месте контакта нервных клеток молекула никотина образует мостик, который способствует передаче нервного импульса. Однако между импульсами эта связь не прекращается, так что в итоге передача сигнала по этому пути нарушается. Стимулирующее действие никотина прекращается, а мышечная активность, особенно в сердце, ослабевает. В результате замедляется циркуляция крови, снижается подача кислорода к тканям и мозгу и проявляется общее седативное действие. Этим курильщики объясняют способность сигареты подавить нервное возбуждение, однако в тех ситуациях, когда требуется быстрота реакции, никотин оказывает плохую услугу. Кроме того, курильщики с длительным стажем больше подвержены инфекционным заболеваниям, таким как гангрена, которые лучше развиваются в условиях недостатка кислорода, связанного с ослабленной циркуляцией крови.
Никотин в больших дозах — смертельный яд. Пятьдесят миллиграммов никотина могут убить взрослого человека всего за несколько минут. Однако токсичность никотина зависит не только от дозы, но и от способа попадания в организм. При всасывании через кожу никотин в тысячу раз опаснее, чем при введении через рот. По-видимому, желудочный сок до некоторой степени разрушает никотин. При курении под действием высокой температуры большая часть алкалоидов окисляется с образованием менее токсичных продуктов. Это не означает, что курение табака безопасно. Это означает только, что если бы не происходило окисления никотина и других алкалоидов табака, всего нескольких сигарет было бы достаточно, чтобы убить человека. Оставшийся в табачном дыме никотин чрезвычайно опасен, поскольку всасывается из легких прямо в кровоток.
Никотин представляет собой эффективный природный инсектицид. В 40-х и 50-х годах XX века его производили в большом объеме и использовали в качестве инсектицида, пока не появились синтетические пестициды. Интересно, что никотиновая кислота и пиридоксин, имеющие похожую структуру, не являются ядами. Напротив, они полезны для организма: оба относятся к витаминам группы B и необходимы нам для жизни. Мы вновь видим, как небольшие изменения структуры вещества приводят к колоссальным изменениям его свойств.

Никотин

Никотиновая кислота (ниацин)

Пиридоксин (витамин B6)
Недостаток никотиновой кислоты (ниацина) в рационе приводит к заболеванию, которое называется пеллагрой и характеризуется тремя симптомами: дерматитом, диареей и деменцией. Эта болезнь чаще встречается в тех местах, где основным компонентом пищи является кукуруза. Раньше считалось, что это инфекционная болезнь, возможно, определенная форма проказы. Пока не выяснилось, что причиной пеллагры является недостаток ниацина, больных часто помещали в психиатрические больницы. В начале XX века пеллагра была распространена на юге США. Благодаря усилиям американского врача Джозефа Гольдбергера медицинское сообщество поверило в то, что эта болезнь вызвана авитаминозом. Название “никотиновая кислота” пришлось заменить на “ниацин”, когда производители витаминизированного хлеба стали возражать против того, чтобы на их изделиях фигурировало слово, напоминающее о никотине.
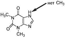
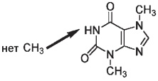
Третий алкалоид, имеющий отношение к Опиумным войнам, кофеин, также является психотропным веществом, однако он широкодоступен практически во всем мире и его потребление почти никак не регулируется, так что напитки, содержащие большое количество кофеина, повсеместно продаются и рекламируются. Ниже изображена структура кофеина, а также структура родственных ему алкалоидов теофиллина и теобромина.

Кофеин

Теофиллин

Теобромин
Теофиллин, содержащийся в чае, и теобромин, содержащийся в какао, отличаются от кофеина лишь количеством CH3-групп, присоединенных к кольцевой структуре. В молекуле кофеина таких групп три, а в молекулах теофиллина и теобромина — две, но в разных местах. Столь незначительные различия в структуре отвечают за серьезные различия в физиологическом действии этих молекул. В природе кофеин встречается в кофейных зернах и чайных листьях, в меньшей степени в какао-бобах, орехах кола и других растениях, происходящих из Южной Америки (листьях мате, семенах гуараны и коре лианы йоко).
Прочитали книгу? Предлагаем вам поделится своим впечатлением! Ваш отзыв будет полезен читателям, которые еще только собираются познакомиться с произведением.
Уважаемые читатели, слушатели и просто посетители нашей библиотеки! Просим Вас придерживаться определенных правил при комментировании литературных произведений.
Просьба отказаться от дискриминационных высказываний. Мы защищаем право наших читателей свободно выражать свою точку зрения. Вместе с тем мы не терпим агрессии. На сайте запрещено оставлять комментарий, который содержит унизительные высказывания или призывы к насилию по отношению к отдельным лицам или группам людей на основании их расы, этнического происхождения, вероисповедания, недееспособности, пола, возраста, статуса ветерана, касты или сексуальной ориентации. Просьба отказаться от оскорблений, угроз и запугиваний. Просьба отказаться от нецензурной лексики. Просьба вести себя максимально корректно как по отношению к авторам, так и по отношению к другим читателям и их комментариям.
Надеемся на Ваше понимание и благоразумие. С уважением, администратор My-Books.me.
Оставить комментарий
-
Александра15 январь 09:37
Очень интересная книга! Особенно, если любишь психологию и хочешь понимать себя и других. Обязательно послушаю до конца. Спасибо....
Кригер Борис – Гнев
-
Галина25 май 13:02
Очень уважаю Артема Шейнина, книга замечательная, очень мне близкая по духу.Перечитываю уже второй раз, столько пережитого и не...
Мне повезло вернуться - Артем Шейнин
-
Екатерина11 январь 08:05
Доброе утро. Подскажите пожалуйста как сохранять книги, ставить закладки?...
Подонок - Анастасия Леманн