Пуговицы Наполеона. Семнадцать молекул, которые изменили мир - Джей Берресон
Книгу Пуговицы Наполеона. Семнадцать молекул, которые изменили мир - Джей Берресон читаем онлайн бесплатно и без регистрации! Читать онлайн вы можете не только на компьютере, но и на андроид (Android), iPhone и iPad. Наслаждайтесь!
253 0 18:36, 25-05-2019Книга Пуговицы Наполеона. Семнадцать молекул, которые изменили мир - Джей Берресон читать онлайн бесплатно без регистрации

Модель восприятия сладкого вкуса A-H,B
Кроме сахара, существует множество других сладких веществ, но не все они пригодны для еды. Например, этиленгликоль является основным компонентом автомобильного антифриза. Сладкий вкус этиленгликоля объясняется растворимостью и гибкостью его молекулы, а также тем, что расстояние между атомами кислорода в этой молекуле близко к расстоянию между атомами кислорода в сахарах. Однако это вещество ядовито: всего столовой ложки достаточно, чтобы убить человека или домашнее животное.
Интересно, что ядовит не сам этиленгликоль, а то вещество, в которое он превращается в организме. Окисление этиленгликоля под действием ферментов организма приводит к образованию щавелевой кислоты.

Щавелевая кислота содержится во многих растениях, в том числе в таких съедобных растениях, как шпинат и ревень. Мы редко едим эти продукты в большом количестве, так что наши почки справляются с выведением следовых количеств щавелевой кислоты. Но если выпить этиленгликоль, внезапное появление в организме большого количества щавелевой кислоты может вызвать почечную недостаточность и смерть. Если за обедом вы съедите шпинат и пирог с ревенем, вы не умрете. В худшем случае это может способствовать образованию почечных камней. Камни в почках в значительной степени состоят из оксалата кальция — нерастворимой соли щавелевой кислоты. Людям со склонностью к образованию почечных камней не советуют употреблять в пищу продукты, содержащие много оксалатов. Для остальных лучший совет — умеренность во всем.
Другое близкое к этиленгликолю по структуре вещество — глицерин, тоже со сладким вкусом. В умеренных количествах глицерин безопасен для здоровья. Из-за вязкости и хорошей растворимости в воде его добавляют во многие пищевые продукты. Термин “пищевые добавки” в последнее время пользуется дурной славой из-за того, что они нередко имеют неорганическую природу и синтетическое происхождение. Глицерин — органическое вещество, он нетоксичен и содержится во многих природных продуктах, например в вине.

Глицерин
Если взболтать вино в бокале, на стекле образуются “ножки”, которые как раз и связаны с присутствием в вине глицерина, повышающего вязкость и бархатистость хорошего вина.
Существует множество других сладких веществ, не являющихся сахарами, и некоторые из них могут служить заменителями сахара. Доходы от производства этой продукции составляют около миллиарда долларов. К таким веществам предъявляют следующие требования: их химическая структура должна некоторым образом имитировать структуру сахаров, что позволяет им связываться с рецепторами сладкого вкуса, они должны растворяться в воде, быть нетоксичными и желательно не подвергаться расщеплению в организме. Эти вещества обычно в сотни раз слаще сахара.
Первым искусственным заменителем сахара был сахарин. Это мелкий порошок, настолько сладкий, что даже очень малая доза вызывает реакцию организма: если при работе с этим веществом поднести руку к губам, немедленно ощущается сладкий вкус. Наверное, именно это произошло в 1879 году в Университете Джонса Хопкинса в Балтиморе. Студент-химик[7] почувствовал необычно сладкий вкус хлеба, который ел. Он вернулся к рабочему столу и, принявшись систематически пробовать все вещества, с которыми в тот день работал (рискованная, но достаточно распространенная в те времена практика), обнаружил вещество, имеющее сильно выраженный сладкий вкус.
Сахарин не обладает калорийностью, и это сочетание сладости с отсутствием калорийности быстро обеспечило ему коммерческий успех (сахарин стали применять уже в 1885 году). Сначала его планировали использовать в качестве заменителя сахара для диабетиков, но он быстро приобрел популярность у всего населения. Однако беспокойство по поводу возможной токсичности этого вещества, а также его металлическое послевкусие стимулировали создание других искусственных заменителей сахара, таких как цикламат и аспартам. Как видно из рисунка, структура этих трех веществ различна и сильно отличается от структуры сахаров, однако все они обладают необходимым набором атомов в специфических позициях и необходимой гибкостью, чтобы вызывать у человека ощущение сладкого вкуса.

Сахарин

Цикламат натрия

Аспартам
Ни один искусственный заменитель сахара не является идеальным. Некоторые из них разлагаются при нагревании и поэтому могут употребляться только с холодными напитками или пищей. Другие недостаточно хорошо растворяются в воде. Третьи обладают неприятным привкусом. Синтетическое вещество аспартам состоит из двух природных аминокислот. Аспартам расщепляется в организме, но поскольку он в двести раз слаще глюкозы, для получения сладкого вкуса его нужно значительно меньше. Людям с таким наследственным заболеванием, как фенилкетонурия (неспособность расщеплять аминокислоту фенилаланин, образующуюся при распаде аспартама), не рекомендовано употреблять этот заменитель сахара.
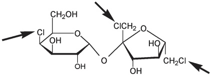
В создании нового заменителя сахара, одобренного в 1998 году Управлением США по надзору за качеством пищевых продуктов и лекарственных средств, был применен другой подход. Это вещество — сукралоза — отличается от сахарозы всего по двум параметрам. Звено глюкозы (слева на рисунке) заменено галактозой — тем же сахаром, который входит в состав молочного сахара. Кроме того, три OH-группы заменены на три атома хлора (Cl): один в галактозном звене и два других во фруктозном звене (справа на рисунке). Три атома хлора не влияют на сладость этой молекулы, но они не позволяют организму ее расщеплять. Поэтому сукралоза не обладает калорийностью.

Структура сукралозы. Стрелками показаны атомы хлора, введенные в молекулу вместо OH-групп.
Прочитали книгу? Предлагаем вам поделится своим впечатлением! Ваш отзыв будет полезен читателям, которые еще только собираются познакомиться с произведением.
Уважаемые читатели, слушатели и просто посетители нашей библиотеки! Просим Вас придерживаться определенных правил при комментировании литературных произведений.
Просьба отказаться от дискриминационных высказываний. Мы защищаем право наших читателей свободно выражать свою точку зрения. Вместе с тем мы не терпим агрессии. На сайте запрещено оставлять комментарий, который содержит унизительные высказывания или призывы к насилию по отношению к отдельным лицам или группам людей на основании их расы, этнического происхождения, вероисповедания, недееспособности, пола, возраста, статуса ветерана, касты или сексуальной ориентации. Просьба отказаться от оскорблений, угроз и запугиваний. Просьба отказаться от нецензурной лексики. Просьба вести себя максимально корректно как по отношению к авторам, так и по отношению к другим читателям и их комментариям.
Надеемся на Ваше понимание и благоразумие. С уважением, администратор My-Books.me.
Оставить комментарий
-
Александра15 январь 09:37
Очень интересная книга! Особенно, если любишь психологию и хочешь понимать себя и других. Обязательно послушаю до конца. Спасибо....
Кригер Борис – Гнев
-
Галина25 май 13:02
Очень уважаю Артема Шейнина, книга замечательная, очень мне близкая по духу.Перечитываю уже второй раз, столько пережитого и не...
Мне повезло вернуться - Артем Шейнин
-
Екатерина11 январь 08:05
Доброе утро. Подскажите пожалуйста как сохранять книги, ставить закладки?...
Подонок - Анастасия Леманн