Пуговицы Наполеона. Семнадцать молекул, которые изменили мир - Джей Берресон
Книгу Пуговицы Наполеона. Семнадцать молекул, которые изменили мир - Джей Берресон читаем онлайн бесплатно и без регистрации! Читать онлайн вы можете не только на компьютере, но и на андроид (Android), iPhone и iPad. Наслаждайтесь!
253 0 18:36, 25-05-2019Книга Пуговицы Наполеона. Семнадцать молекул, которые изменили мир - Джей Берресон читать онлайн бесплатно без регистрации
Путь из Африки в Вест-Индию был второй стороной “золотого (черного) треугольника”. Европейские купцы отправлялись морем в Африку (в основном к западному берегу Гвинеи), где меняли промышленные товары на рабов, а после посещения Нового Света, где оставляли невольников, они возвращались в Европу с грузом какой-либо руды или колониальными товарами (в основном сахаром, хлопком, табаком или ромом). Каждая сторона “треугольника” приносила огромную прибыль. Эта торговля была выгодна в особенности Британии: к концу XVIII века ее доходы от операций в Вест-Индии превосходили прибыль от торговли со всем остальным миром. Сахар и продукты его переработки стали источником огромного капитала и быстрого экономического развития, стимулировавшего в конце XVIII и начале XIX века Промышленную революцию в Англии, а затем во Франции.
Глюкоза — самый распространенный из простых сахаров — моносахаридов (от лат. saccharum — сахар). Приставка “моно” означает, что молекула данного вещества состоит из одного структурного звена, в отличие от дисахаридов (состоящих из двух структурных звеньев) или полисахаридов (состоящих из многих звеньев). Структуру глюкозы можно изобразить в виде прямой цепочки:

Глюкоза
Эту формулу можно слегка упростить, убрав все атомы углерода, стоящие на месте пересечения вертикальных и горизонтальных линий. Существуют договоренности, в соответствии с которыми всем атомам углерода в подобных структурах присваиваются номера, причем атом № 1 всегда изображают сверху. Это так называемая проекционная формула Фишера, названная по имени немецкого химика Эмиля Фишера (в 1891 году он определил структуру глюкозы и некоторых родственных сахаров). Хотя научный инструментарий и техника в те времена были еще достаточно примитивными, полученные Фишером результаты до сих пор являются одним из самых элегантных примеров применения химической логики. За свою работу в области химии сахаров Фишер в 1902 году был удостоен Нобелевской премии.

Проекционная формула Фишера для глюкозы. Показана нумерация атомов углерода.
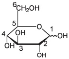
Иногда такие сахара, как глюкоза, по-прежнему изображают в линейном виде, однако теперь известно, что на самом деле глюкоза существует в другой форме: в виде циклической структуры. Циклические изображения называют формулами Хоуорса — в честь англичанина Нормана Хоуорса, получившего в 1937 году Нобелевскую премию по химии за определение структуры витамина С и некоторых углеводов (см. главу 2). Шестичленное кольцо молекулы глюкозы состоит из пяти атомов углерода и одного атома кислорода. Нумерация в формуле Хоуорса показывает, как атомы в кольцевой структуре соответствуют атомам в проекционной формуле Фишера.

Формула Хоуорса для глюкозы. Показаны все атомы водорода.

Формула Хоуорса для глюкозы. Атомы водорода в кольце не показаны, но показана нумерация атомов углерода.
В циклическом виде могут существовать две формы глюкозы, в зависимости от того, располагается ли группа OH у атома углерода C1 над плоскостью кольца или под ней. Может показаться, что это очень незначительное различие, однако это не так: это чрезвычайно важно для структуры более сложных молекул, в состав которых входят звенья глюкозы. Если группа OH у атома углерода 1 располагается под плоскостью кольца, то такую молекулу называют α-глюкозой, а если над плоскостью кольца, то β-глюкозой.

α-глюкоза

β-глюкоза
То, что мы привыкли в быту называть сахаром, представляет собой сахарозу. Сахароза — это дисахарид, построенный из двух простых моносахаридных звеньев: одного звена глюкозы и одного звена фруктозы. Фруктоза, или фруктовый сахар, имеет ту же формулу, что и глюкоза (C6H12O6), и, соответственно, содержит точно такое же количество атомов углерода, кислорода и водорода, что и глюкоза. Однако структура молекул этих двух веществ заметно различается. Атомы в их молекулах расположены по-разному. Химики называют такие соединения изомерами. Это вещества, которые имеют одинаковую химическую формулу (то есть одинаковое количество атомов каждого конкретного вида), однако различаются расположением атомов.

Проекционные формулы Фишера для изомеров глюкозы и фруктозы, показывающие разное расположение атомов водорода и кислорода у атомов углерода С1 и С2. В молекуле фруктозы атомы водорода у С2 отсутствуют.
Фруктоза существует главным образом в циклической форме, однако ее структура несколько отличается от циклической структуры глюкозы: фруктоза образует пятичленное кольцо, а не шестичленное, как глюкоза. Фруктоза, как и глюкоза, может существовать в виде α— или β-формы. Однако с кислородом в кольце соединен углерод С2, поэтому α— и β-формы фруктозы различаются положением OH-группы именно у этого атома углерода. В α-форме OH-группа располагается под кольцом, в β-форме — над кольцом.

Формула Хоуорса для β-глюкозы

Формула Хоуорса для β-фруктозы
Сахароза содержит равные количества глюкозы и фруктозы, но это не комбинация двух молекул. В молекуле сахарозы одно звено глюкозы и одно звено фруктозы связаны через OH-группу у атома С1 из молекулы α-глюкозы и OH-группу у атома С2 из молекулы β-фруктозы. При образовании этой связи происходит удаление молекулы воды.
Прочитали книгу? Предлагаем вам поделится своим впечатлением! Ваш отзыв будет полезен читателям, которые еще только собираются познакомиться с произведением.
Уважаемые читатели, слушатели и просто посетители нашей библиотеки! Просим Вас придерживаться определенных правил при комментировании литературных произведений.
Просьба отказаться от дискриминационных высказываний. Мы защищаем право наших читателей свободно выражать свою точку зрения. Вместе с тем мы не терпим агрессии. На сайте запрещено оставлять комментарий, который содержит унизительные высказывания или призывы к насилию по отношению к отдельным лицам или группам людей на основании их расы, этнического происхождения, вероисповедания, недееспособности, пола, возраста, статуса ветерана, касты или сексуальной ориентации. Просьба отказаться от оскорблений, угроз и запугиваний. Просьба отказаться от нецензурной лексики. Просьба вести себя максимально корректно как по отношению к авторам, так и по отношению к другим читателям и их комментариям.
Надеемся на Ваше понимание и благоразумие. С уважением, администратор My-Books.me.
Оставить комментарий
-
Александра15 январь 09:37
Очень интересная книга! Особенно, если любишь психологию и хочешь понимать себя и других. Обязательно послушаю до конца. Спасибо....
Кригер Борис – Гнев
-
Галина25 май 13:02
Очень уважаю Артема Шейнина, книга замечательная, очень мне близкая по духу.Перечитываю уже второй раз, столько пережитого и не...
Мне повезло вернуться - Артем Шейнин
-
Екатерина11 январь 08:05
Доброе утро. Подскажите пожалуйста как сохранять книги, ставить закладки?...
Подонок - Анастасия Леманн