Пуговицы Наполеона. Семнадцать молекул, которые изменили мир - Джей Берресон
Книгу Пуговицы Наполеона. Семнадцать молекул, которые изменили мир - Джей Берресон читаем онлайн бесплатно и без регистрации! Читать онлайн вы можете не только на компьютере, но и на андроид (Android), iPhone и iPad. Наслаждайтесь!
253 0 18:36, 25-05-2019Книга Пуговицы Наполеона. Семнадцать молекул, которые изменили мир - Джей Берресон читать онлайн бесплатно без регистрации

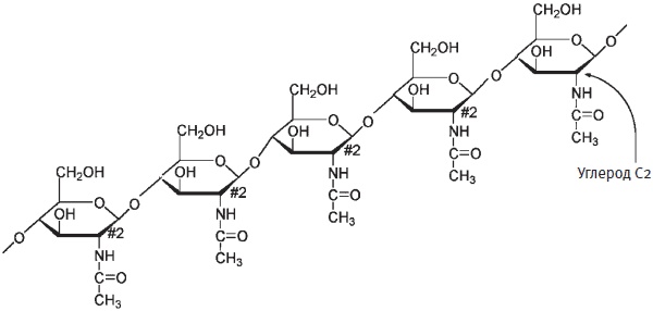
Участок цепи структурного полимера хитина, входящего в состав раковин моллюсков. Группа OH у атома С2 в каждом остатке глюкозы заменена группой NHCOCH3.

Хлопковое поле. Фото Питера Лекутера
Примером другого структурного полисахарида является хитин, из которого сложены панцири крабов, креветок и лобстеров. Хитин, подобно целлюлозе, является β-полисахаридом. От целлюлозы он отличается только заместителем у атома углерода С2 в каждом звене глюкозы: вместо OH-группы здесь располагается амидная группа (NHCOCH3). Таким образом, звеном хитина является остаток глюкозы с группой NHCOCH3 у атома углерода С2. Такая молекула называется N-ацетилглюкозамином. Возможно, эта информация интересна не всем, но если у вас артрит или какое-либо иное заболевание суставов, это название должно быть вам знакомо. N-ацетилглюкозамин и родственное ему соединение глюкозамин (оба получают из раковин моллюсков) являются хорошими лекарствами от артрита. По-видимому, эти вещества стимулируют замену хрящевой ткани в суставах.
В организме млекопитающих нет пищеварительных ферментов, способных расщеплять β-связи в структурных полисахаридах, поэтому они не могут использовать структурные полисахариды в качестве источника пищи, несмотря на то, что в растительных клетках в виде целлюлозы заключены миллиарды остатков глюкозы. Однако некоторые бактерии и простейшие синтезируют ферменты, расщепляющие такие связи и способные разделять полимерные цепи на составляющие их молекулы глюкозы. В пищеварительной системе некоторых животных постоянно обитают такие микроорганизмы, позволяющие их хозяевам питаться растениями. Например, у лошадей бактерии живут в слепой кишке — большом отростке в месте соединения тонкой и толстой кишок. Жвачные животные, к которым относятся коровы и овцы, обладают четырехкамерным желудком, в одной из частей которого обитают симбиотические бактерии. Коровы и овцы иногда срыгивают и повторно пережевывают пищу — это дополнительная адаптация, призванная повысить эффективность расщепления β-связей.
У кроликов и некоторых других грызунов бактерии-помощники живут в толстой кишке. Поскольку всасывание основной доли пищи происходит в тонкой кишке, предшествующей толстой, такие животные получают продукты расщепления β-связей путем поедания собственных экскрементов. Когда питательные вещества проходят по пищеварительной системе во второй раз, тонкая кишка всасывает глюкозу, высвободившуюся при первом прохождении. Нам это может показаться достаточно неприятным способом решения проблемы ориентации OH-групп, однако такая система неплохо работает. В организме некоторых насекомых, включая термитов, муравьев-древоточцев и других поедающих древесину насекомых, также живут микроорганизмы, позволяющие им питаться целлюлозой, что иногда приводит к плачевным для человека результатам. Но даже для нас, неспособных переваривать целлюлозу, она все равно является важным пищевым продуктом. Дело в том, что растительные волокна, состоящие из целлюлозы и других неусвояемых веществ, помогают продвижению пищи по пищеварительному тракту.
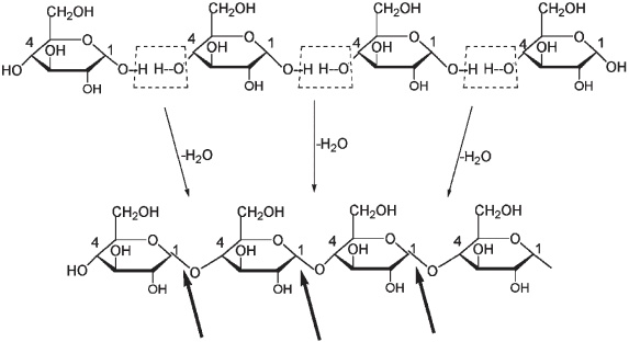
В нашем организме нет фермента, способного расщеплять β-связи, однако есть пищеварительный фермент, который расщепляет α-связи. А α-связи, как мы видели, встречаются в запасных полисахаридах, таких как крахмал и гликоген. Один из основных пищевых источников глюкозы, крахмал, содержится в корнях, клубнях и семенах многих растений. Он состоит из двух слабо различающихся полисахаридов, которые являют собой полимеры α-глюкозы. От 20 до 30 % крахмала представлено амилозой — неразветвленным полисахаридом, состоящим из нескольких тысяч звеньев глюкозы, соединенных через атом С1 одного остатка глюкозы и атом С4 соседнего остатка. Единственное различие между целлюлозой и амилозой заключается в том, что в первом случае остатки глюкозы соединены между собой β-связью, а во втором — α-связью. Однако функции целлюлозы и амилозы совершенно различны.

Участок цепи амилозы, образованной путем соединения остатков α-глюкозы с выделением молекул воды. Альфа-связь в молекуле означает, что атом кислорода (показан стрелкой) расположен под поверхностью кольца глюкозы, в котором задействован атом С1.
На долю амилопектина приходятся оставшиеся 70 или 80 % массы крахмала. Амилопектин также состоит из длинных цепей α-глюкозы, соединенных через атомы С1 и С4, однако он представляет собой разветвленную молекулу, имеющую перекрестные сшивки между атомом С1 в одном остатке глюкозы и атомом С6 в другом остатке. Эти перекрестные сшивки встречаются через каждые 20–25 остатков глюкозы. Наличие миллионов остатков глюкозы в связанных между собой цепях делает амилопектин одной из самых крупных молекул, обнаруженных в природе.

Участок структуры амилопектина. Стрелкой показана перекрестная α-связь между атомом С1 и атомом С6, приводящая к образованию разветвленной структуры.
Альфа-связи в крахмале не только позволяют нам переваривать его, но и отвечают за другие важные свойства этого вещества. Цепи амилозы и амилопектина образуют спирали, а не плотно упакованные линейные структуры, как в целлюлозе. Молекулы воды, обладающие достаточной энергией, могут проникать внутрь спирали, поэтому крахмал растворим в воде, а целлюлоза — нет. Любой человек, имевший дело с крахмалом, знает, что его растворимость в воде зависит от температуры. Если нагреть суспензию крахмала в воде, его гранулы начинают впитывать больше воды, и при определенной температуре молекулы крахмала разделяются, образуя сеть распределенных в воде длинных нитей (так называемый гель). Мутная суспензия становится прозрачнее и гуще. Повара используют такие крахмалсодержащие вещества, как мука, тапиока и кукурузный крахмал, для придания соусам необходимой густоты.
В тканях животных сахара запасаются в виде гликогена, образующегося главным образом в клетках печени и скелетных мышц. Гликоген очень похож на амилопектин, но поперечные α-связи между атомами С1 и С6 встречаются в нем чаще — через каждые десять остатков глюкозы. В результате молекула получается сильно разветвленной. Для животных это чрезвычайно важно, и вот почему. У неразветвленной цепи только два конца, а разветвленная цепь, состоящая из того же количества остатков глюкозы, имеет гораздо больше концов. Когда нужно быстро получить энергию, можно одновременно отщеплять несколько остатков глюкозы от нескольких концов. Растениям, в отличие от животных, не приходится внезапно растрачивать энергию, убегая от хищников или преследуя добычу, так что хранение энергии в виде малоразветвленного амилопектина и неразветвленной амилозы вполне подходит для более медленных метаболических процессов в растениях. Это небольшое химическое различие, связанное лишь с числом, даже не с типом перекрестных сшивок, является основой одного из важнейших различий между растениями и животными.
Прочитали книгу? Предлагаем вам поделится своим впечатлением! Ваш отзыв будет полезен читателям, которые еще только собираются познакомиться с произведением.
Уважаемые читатели, слушатели и просто посетители нашей библиотеки! Просим Вас придерживаться определенных правил при комментировании литературных произведений.
Просьба отказаться от дискриминационных высказываний. Мы защищаем право наших читателей свободно выражать свою точку зрения. Вместе с тем мы не терпим агрессии. На сайте запрещено оставлять комментарий, который содержит унизительные высказывания или призывы к насилию по отношению к отдельным лицам или группам людей на основании их расы, этнического происхождения, вероисповедания, недееспособности, пола, возраста, статуса ветерана, касты или сексуальной ориентации. Просьба отказаться от оскорблений, угроз и запугиваний. Просьба отказаться от нецензурной лексики. Просьба вести себя максимально корректно как по отношению к авторам, так и по отношению к другим читателям и их комментариям.
Надеемся на Ваше понимание и благоразумие. С уважением, администратор My-Books.me.
Оставить комментарий
-
Александра15 январь 09:37
Очень интересная книга! Особенно, если любишь психологию и хочешь понимать себя и других. Обязательно послушаю до конца. Спасибо....
Кригер Борис – Гнев
-
Галина25 май 13:02
Очень уважаю Артема Шейнина, книга замечательная, очень мне близкая по духу.Перечитываю уже второй раз, столько пережитого и не...
Мне повезло вернуться - Артем Шейнин
-
Екатерина11 январь 08:05
Доброе утро. Подскажите пожалуйста как сохранять книги, ставить закладки?...
Подонок - Анастасия Леманн