Красота в квадрате. Как цифры отражают жизнь и жизнь отражает цифры - Алекс Беллос
Книгу Красота в квадрате. Как цифры отражают жизнь и жизнь отражает цифры - Алекс Беллос читаем онлайн бесплатно и без регистрации! Читать онлайн вы можете не только на компьютере, но и на андроид (Android), iPhone и iPad. Наслаждайтесь!
423 0 23:27, 24-05-2019Книга Красота в квадрате. Как цифры отражают жизнь и жизнь отражает цифры - Алекс Беллос читать онлайн бесплатно без регистрации
r — r cos θ = h cos θ
r (1 — cos θ) = h cos θ
Тогда

МАШИНА УМНОЖЕНИЯ

Утверждение. Для того чтобы умножить a × b, необходимо построить на параболе y = x2 прямую из точки x = −а до точки x = b, как показано на рисунке. Прямая линия, соединяющая эти две точки, пересекает ось y в точке a × b.
Доказательство. Примем за истинное следующее утверждение: уравнение прямой, проходящей через точку с координатами (p, q), имеет вид y — q = (x — p)m, где m — градиент.
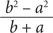
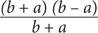
Прямая на графике проходит через точки с координатами (−a, a2) и (b, b2).
Градиент этой прямой, который представляет собой отношение расстояния по вертикали к расстоянию по горизонтали, рассчитывается по формуле
, которую можно преобразовать к виду
, затем это выражение можно сократить до (b — a).
Следовательно, уравнение прямой выглядит так:
y — a2 = (x + a) (b — a)
Его можно преобразовать следующим образом:
y — a2 = xb — xa + ab — a2
Члены — a2 можно сократить, после чего останется такое уравнение:
y = xb — xa + ab
Если прямая пересекает вертикальную ось, тогда x = 0, а значит,
y = ab
Другими словами, прямая пересекает ось в точке ab, что равно a × b.
Если сумма S наращивается со скоростью r, то после t периодов начисления сложных процентов значение этой суммы равно
S (1 + r)t
Сумма удвоится, когда (1 + r)t = 2. Чтобы решить это уравнение, необходимо взять натуральный логарифм обеих его частей. Натуральный логарифм — это логарифм с основанием е, который обозначается как ln. Таким образом
ln (1 + r)t = ln 2
Что сводится к
t ln (1 + r) = ln 2
Следовательно,

Когда r имеет небольшое значение, то ln (1 + r) ≈ r, стало быть, это уравнение можно записать так:

Что эквивалентно

Если r — скорость, выраженная в дробном виде, то обозначим через R скорость в процентном выражении. В таком случае необходимо умножить числитель и знаменатель в дроби t на 100

Следовательно, количество периодов начисления сложных процентов t, необходимых для удвоения суммы, составляет 69 разделить на темпы роста в процентах R.
Поскольку число 72 легче делится на другие числа, чем 69, в правиле 72 чаще всего используется именно это число, хотя значение 69 было бы точнее[187].
Площадь самого большого заштрихованного квадрата составляет
. Второй по величине заштрихованный квадрат имеет площадь, равную четверти самого большого квадрата, то есть
. Площадь третьего по величине квадрата составляет четверть этой площади и т. д. Следовательно, общая площадь заштрихованных квадратов равна

Однако каждому заштрихованному квадрату соответствует ровно по два незаштрихованных квадрата одинакового размера. Таким образом, площадь заштрихованных квадратов должна также составлять
общей площади. Стало быть,

Прочитали книгу? Предлагаем вам поделится своим впечатлением! Ваш отзыв будет полезен читателям, которые еще только собираются познакомиться с произведением.
Уважаемые читатели, слушатели и просто посетители нашей библиотеки! Просим Вас придерживаться определенных правил при комментировании литературных произведений.
Просьба отказаться от дискриминационных высказываний. Мы защищаем право наших читателей свободно выражать свою точку зрения. Вместе с тем мы не терпим агрессии. На сайте запрещено оставлять комментарий, который содержит унизительные высказывания или призывы к насилию по отношению к отдельным лицам или группам людей на основании их расы, этнического происхождения, вероисповедания, недееспособности, пола, возраста, статуса ветерана, касты или сексуальной ориентации. Просьба отказаться от оскорблений, угроз и запугиваний. Просьба отказаться от нецензурной лексики. Просьба вести себя максимально корректно как по отношению к авторам, так и по отношению к другим читателям и их комментариям.
Надеемся на Ваше понимание и благоразумие. С уважением, администратор My-Books.me.
Оставить комментарий
-
Александра15 январь 09:37
Очень интересная книга! Особенно, если любишь психологию и хочешь понимать себя и других. Обязательно послушаю до конца. Спасибо....
Кригер Борис – Гнев
-
Галина25 май 13:02
Очень уважаю Артема Шейнина, книга замечательная, очень мне близкая по духу.Перечитываю уже второй раз, столько пережитого и не...
Мне повезло вернуться - Артем Шейнин
-
Екатерина11 январь 08:05
Доброе утро. Подскажите пожалуйста как сохранять книги, ставить закладки?...
Подонок - Анастасия Леманн