Красота в квадрате. Как цифры отражают жизнь и жизнь отражает цифры - Алекс Беллос
Книгу Красота в квадрате. Как цифры отражают жизнь и жизнь отражает цифры - Алекс Беллос читаем онлайн бесплатно и без регистрации! Читать онлайн вы можете не только на компьютере, но и на андроид (Android), iPhone и iPad. Наслаждайтесь!
423 0 23:27, 24-05-2019Книга Красота в квадрате. Как цифры отражают жизнь и жизнь отражает цифры - Алекс Беллос читать онлайн бесплатно без регистрации
Простое число (prime number): целое число больше 1, которое делится только на себя и на 1 (например, 2, 3, 5, 7, 11, 13, 17…).
Прямой угол (right angle): четверть оборота, или 90 градусов.
Прямоугольная система координат (cartesian coordinates): схема координатной плоскости, в которой каждая точка определяется ее положением по горизонтали и вертикали. Как правило, прямоугольная система координат изображается в виде двух взаимно перпендикулярных осей, пересекающихся в точке (0, 0).
Равносторонний треугольник (equilateral triangle): треугольник с тремя равными сторонами.
Рулетта (roulette): кривая, которую образует точка на катящемся колесе.
Ряд Фурье (Fourier series): сумма (возможно, бесконечного количества) синусоид, сложение которых образует рассматриваемую волну.
Самоподобие (self-similarity): свойство объекта, в точности или приближенно совпадающего с частью самого себя.
Синус (sine): тригонометрическая функция, выражающая отношение противоположной стороны прямоугольного треугольника к гипотенузе.
Синусоида (sinusoid): кривая, имеющая форму синусоидальной волны.
Синусоидальная волна (sine wave): кривая, образованная посредством вертикального смещения точки, вращающейся по кругу.
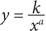
Степенная зависимость (power law): две переменные находятся в степенной зависимости, если одна из них прямо или обратно пропорциональна степени другой.
Тангенс (tangent): тригонометрическая функция, выражающая отношение противоположной стороны прямоугольного треугольника к прилежащей стороне.
Теорема (theotrem): утверждение, которое не является самоочевидным, но доказано методом дедукции.
Теория множеств (set theory): раздел математики, который изучает свойства множеств и их способность стать основой для арифметики.
Триангуляция (triangulation): измерение расстояний с помощью тригонометрических функций.
Тригонометрия (trigonometry): раздел математики, изучающий тригонометрические функции и их использование.
Факториал (factorial): факториал целого числа — это произведение всех целых чисел от 1 до этого числа включительно. Например, факториал числа 5, который записывается как 5! равен 5 × 4 × 3 × 2 × 1 = 120.
Фокус (focus): основная точка, которая используется при построении конических сечений.
Форма (shape): внешняя геометрическая конфигурация объекта, не зависящая от его размера и положения в пространстве.
Фрактал (fractal): объект, который обладает свойством самоподобия.
Хорда (chord): отрезок, соединяющий две точки окружности.
Числовая ось (number line): геометрическая интерпретация чисел, расположенных по порядку на непрерывной прямой, простирающейся до минус бесконечности слева и до плюс бесконечности справа от ноля, находящегося посредине.
Целое число (whole number): в контексте данной книги — любое положительное число 1, 2, 3…
Циклоида (cycloid): траектория движения точки, находящейся на ободе колеса, которое перемещается по прямой.
Экспонента (exponent): см. показатель степени.
Экспоненциальный рост/спад (exponential growth/decay): возрастание или убывание величины, при котором скорость роста (спада) пропорциональна значению самой величины.
Эксцентриситет (eccentricity): степень отклонения конического сечения от окружности.
Логарифм можно определить следующим образом.
Если a = 10b, то логарифм числа a равен b и записывается в таком виде[186]:
log а = b
Другими словами, если число а выражено в виде степени 10, то логарифм числа а — это показатель степени. Вот некоторые простые значения логарифмов:
log 10 = 1, поскольку 10 = 101
log 100 = 2, поскольку 100 = 102
log 1000 = 3, поскольку 1000 = 103
А вот таблица логарифмов чисел от 1 до 10:
log 1 = 0
log 2 = 0,301
log 3 = 0,477
log 4 = 0,602
log 5 = 0,699
log 6 = 0,778
log 7 = 0,845
log 8 = 0,903
log 9 = 0,954
log 10 = 1
Если мы отметим логарифмы чисел от 1 до 10 на числовой оси, разместив их в соответствии с их значениями, то получим логарифмическую шкалу от 0 до 1. Чем дальше по оси находятся логарифмы, тем плотнее они расположены.

На этой шкале я также отметил расстояние между логарифмами. Вы узнаете в них проценты из закона Бенфорда. Иными словами, если я случайным образом выберу на этой шкале точку от 0 до 1, вероятность того, что она попадет в интервал от log 1 до log 2, составляет 30,1 процента, в интервал от log 2 до log 3 — 17,6 процента и т. д.
Точно так же длина первого интервала равна log 2 — log 1, второго log 3 — log 2, а интервала d — log (d + 1) — log d. Это означает, что эти вероятности можно более точно выразить как log (d + 1) — log d для каждого значения d.
Здесь я покажу вам, что в двойном логарифмическом масштабе любое уравнение вида
всегда представлено прямой линией с наклоном влево, и наоборот: в двойном логарифмическом масштабе прямую с наклоном влево всегда можно описать представленным выше уравнением. Если на координатных осях откладываются логарифмы ранга и частотности, то прямая с наклоном влево отображает закон Ципфа:

Прочитали книгу? Предлагаем вам поделится своим впечатлением! Ваш отзыв будет полезен читателям, которые еще только собираются познакомиться с произведением.
Уважаемые читатели, слушатели и просто посетители нашей библиотеки! Просим Вас придерживаться определенных правил при комментировании литературных произведений.
Просьба отказаться от дискриминационных высказываний. Мы защищаем право наших читателей свободно выражать свою точку зрения. Вместе с тем мы не терпим агрессии. На сайте запрещено оставлять комментарий, который содержит унизительные высказывания или призывы к насилию по отношению к отдельным лицам или группам людей на основании их расы, этнического происхождения, вероисповедания, недееспособности, пола, возраста, статуса ветерана, касты или сексуальной ориентации. Просьба отказаться от оскорблений, угроз и запугиваний. Просьба отказаться от нецензурной лексики. Просьба вести себя максимально корректно как по отношению к авторам, так и по отношению к другим читателям и их комментариям.
Надеемся на Ваше понимание и благоразумие. С уважением, администратор My-Books.me.
Оставить комментарий
-
Александра15 январь 09:37
Очень интересная книга! Особенно, если любишь психологию и хочешь понимать себя и других. Обязательно послушаю до конца. Спасибо....
Кригер Борис – Гнев
-
Галина25 май 13:02
Очень уважаю Артема Шейнина, книга замечательная, очень мне близкая по духу.Перечитываю уже второй раз, столько пережитого и не...
Мне повезло вернуться - Артем Шейнин
-
Екатерина11 январь 08:05
Доброе утро. Подскажите пожалуйста как сохранять книги, ставить закладки?...
Подонок - Анастасия Леманн