Красота в квадрате. Как цифры отражают жизнь и жизнь отражает цифры - Алекс Беллос
Книгу Красота в квадрате. Как цифры отражают жизнь и жизнь отражает цифры - Алекс Беллос читаем онлайн бесплатно и без регистрации! Читать онлайн вы можете не только на компьютере, но и на андроид (Android), iPhone и iPad. Наслаждайтесь!
423 0 23:27, 24-05-2019Книга Красота в квадрате. Как цифры отражают жизнь и жизнь отражает цифры - Алекс Беллос читать онлайн бесплатно без регистрации
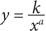
Для того чтобы понять изложенные ниже разъяснения, мы должны иметь определенное представление о координатной геометрии (о концепции градиента, например), а также об основных свойствах логарифмов. Кроме того, нам необходимо принять как истинное следующее утверждение.
(1) На координатной плоскости, где горизонтальная и вертикальная оси обозначаются как х и у, все прямые линии могут быть описаны уравнением y = mx + c, где m — это градиент прямой, а с — точка, в которой эта прямая пересекает вертикальную ось.
Итак, начнем с уравнения:

Возьмем логарифм от обеих его частей:

Согласно свойствам логарифмов, мы можем записать это уравнение в таком виде:
log y = log k — logxa
Или так:
log y = log k — a log x
Если log y = Y, а log x = X, то это уравнение можно записать следующим образом:
Y= —aX + log k
Исходя из представленного выше предположения (1), мы знаем, что на координатной плоскости, где Х — это горизонтальная ось, а Y — вертикальная, это прямая с градиентом — а, пересекающая вертикальную ось в точке log k.
Поскольку Х = log x, а Y = log y, этот график отображен в двойном логарифмическом масштабе, а так как градиент отрицательный, можно сделать вывод, что прямая должна быть наклонена влево.
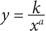
Аналогичным образом представьте себе прямую с уклоном влево в двойном логарифмическом масштабе. Согласно предположению (1), ее можно описать таким уравнением:
log y = —log x + c
(Поскольку прямая наклонена влево, можно сказать, что она имеет отрицательный градиент.)
Если c = log k, это дает уравнение:
log y = —a log x + log k
или
log y = log k — a log x
Воспользовавшись свойствами логарифма, это уравнение можно преобразовать так:
log y = log k — log xa
Или так:

Что означает следующее:

Что и требовалось доказать.
Дополнительный вывод состоит в том, что уравнение y = kxa описывает прямую с уклоном вправо в логарифмическом масштабе, а любая такая прямая может быть представлена данным уравнением.

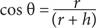
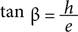
На рисунке изображены треугольники из главы 3. Наша задача — вычислить высоту горы h, зная только значения α, β и d. Пусть е — это расстояние от точки, находящейся непосредственно под вершиной, до ближайшей точки наблюдения.
Нам известно, что
, а также что
. Преобразуем эти уравнения так:
h = (d + e) tan α
h = e tan β
Следовательно:
(d + e) tan α = e tan β
Что можно записать в таком виде:

Исходя из равенства h = e tan β, мы можем утверждать, что:

В этом уравнении высота рассчитывается только с использованием значений α, β и d.

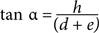
На этом рисунке представлен тот же треугольник, что и на соответствующем рисунке в главе 3. Нам известен угол между горизонталью и горизонтом θ и высота горы h. Наша задача — вычислить радиус Земли r.
Сначала надо показать, что угол, исходящий из центра Земли, равен θ. На рисунке видно, что угол ϕ равен 90º — θ. Поскольку сумма углов в треугольнике составляет 180º, то искомый угол равен θ.
Мы знаем, что
Следовательно:
(r + h) cos θ = r
r cos θ + h cos θ = r
Эти равенства можно преобразовать так:
Прочитали книгу? Предлагаем вам поделится своим впечатлением! Ваш отзыв будет полезен читателям, которые еще только собираются познакомиться с произведением.
Уважаемые читатели, слушатели и просто посетители нашей библиотеки! Просим Вас придерживаться определенных правил при комментировании литературных произведений.
Просьба отказаться от дискриминационных высказываний. Мы защищаем право наших читателей свободно выражать свою точку зрения. Вместе с тем мы не терпим агрессии. На сайте запрещено оставлять комментарий, который содержит унизительные высказывания или призывы к насилию по отношению к отдельным лицам или группам людей на основании их расы, этнического происхождения, вероисповедания, недееспособности, пола, возраста, статуса ветерана, касты или сексуальной ориентации. Просьба отказаться от оскорблений, угроз и запугиваний. Просьба отказаться от нецензурной лексики. Просьба вести себя максимально корректно как по отношению к авторам, так и по отношению к другим читателям и их комментариям.
Надеемся на Ваше понимание и благоразумие. С уважением, администратор My-Books.me.
Оставить комментарий
-
Александра15 январь 09:37
Очень интересная книга! Особенно, если любишь психологию и хочешь понимать себя и других. Обязательно послушаю до конца. Спасибо....
Кригер Борис – Гнев
-
Галина25 май 13:02
Очень уважаю Артема Шейнина, книга замечательная, очень мне близкая по духу.Перечитываю уже второй раз, столько пережитого и не...
Мне повезло вернуться - Артем Шейнин
-
Екатерина11 январь 08:05
Доброе утро. Подскажите пожалуйста как сохранять книги, ставить закладки?...
Подонок - Анастасия Леманн