Управление персоналом: учебное пособие - Владимир Спивак
Книгу Управление персоналом: учебное пособие - Владимир Спивак читаем онлайн бесплатно и без регистрации! Читать онлайн вы можете не только на компьютере, но и на андроид (Android), iPhone и iPad. Наслаждайтесь!
254 0 17:41, 21-05-2019Книга Управление персоналом: учебное пособие - Владимир Спивак читать онлайн бесплатно без регистрации
• коэффициент увольнений женщин и представителей меньшинств;
• доля найма представителей меньшинств и женщин;
• доля работающих представителей меньшинств и женщин;
• прогноз потребности в сравнении с сегодняшними потребностями в человеческих ресурсах;
• прогноз потребности в сравнении с реальным наличием человеческих ресурсов;
• средняя стоимость найма в расчете на одного кандидата;
• средняя стоимость найма в расчете на одного нанятого работника;
• укомплектованность организации персоналом разных должностей;
• средняя стоимость тестирования в расчете на одного кандидата;
• доля действительно заполненных оценочных листов от количества требуемых (в процентах);
• доля персонала, отнесенного к категории лучших работников;
• доля обжалованных оценок;
• показатели текучести рабочей силы;
• доля вновь принятых и оставшихся работать;
• доля потери вновь принятых на работу.
Приведем подробный пример количественного анализа. Чтобы помочь вычислить как можно более точную цифру и чтобы компании могли получить исходные данные и соответствующим образом разместить ресурсы для найма и удержания персонала, консалтинговая фирма Kepner-Tregoe, Inc. разработала алгоритм расчета стоимости текучести рабочей силы, включающий следующие шаги:
1. Заработок за год х 0,25 =
2. Льготы за год х 0,30 =
3. Общая сумма расходов от оборота в расчете на одного работника (стр. 1 + стр. 2) =
4. Общее количество уволившихся работников =
5. Общая стоимость текучести кадров (стр. 3 х стр. 4) =
Пояснения к методике:
Необходимо выбрать отдел или вид деятельности, для которого характерна высокая текучесть персонала.
Необходимо использовать реальную цифру или вычислить приблизительное количество людей, которые уволились за последние 12 месяцев; следует написать эту цифру в стр. 4.
Средняя стоимость текучести составляет 25 % от ежегодной зарплаты каждого уволившегося работника (стр. 1) плюс стоимость льгот (стр. 2). Типичные льготы в сумме составляют около 30 % от заработка. Общие расходы в расчете на одного работника (стр. 3) вычисляются как сумма стр. 1 и стр. 2.
Производительность труда определяется объемом продукции (работы), произведенной работником в единицу времени. Объем продукции может быть рассчитан по валовой, товарной, условно чистой продукции и другим показателям. Отработанное время исчисляется в человеко-днях, человеко-часах, в среднесписочной численности работников 1.
Делением объема продукции на число отработанных рабочими человеко-часов или человеко-дней определяется показатель часовой или дневной производительности труда.
Делением же объема продукции, выпущенной за месяц, квартал, год, на соответствующую среднесписочную численность работников промышленно-производственного персонала получаем месячную, квартальную, годовую производительность труда.
Таким образом, уровень производительности труда (ПТ) оценивается путем деления объема продукции (ОП) на единицу отработанного времени (Т) или численность работников (Р):

Изменение уровня производительности труда (его динамика) определяется как отношение уровня производительности труда отчетного периода к базовому или плановому. Этот показатель характеризует процент ее роста или снижения в отчетном периоде. Сравнением планового и базового уровней производительности труда исчисляется предусмотренный планом процент ее роста, а сравнением фактического и базового уровней – процент отклонения производительности труда по отношению к уровню прошлого года.
Различают три метода измерения производительности труда: 1) натуральный, 2) стоимостной и 3) трудовой, в зависимости от единиц измерения количества произведенной продукции (соответственно: 1) штуки, тонны, метры и т. п., 2) денежное выражение объема валовой продукции, 3) нормированное рабочее время).
В экономическом анализе часто используются такие показатели, как индекс затрат рабочего времени (трудоемкости) и индекс производительности труда.
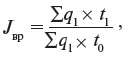
Индекс затрат рабочего времени (Jвр) отражает снижение затрат рабочего времени (трудоемкости) на единицу продукции и рассчитывается по формуле:

где
– объем продукции, произведенной в отчетном периоде в соответствующих единицах измерения;
t0 и t1 – затраты времени на единицу продукции в базовом и отчетном периодах.
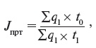
Индекс производительности труда (JПРТ) – это величина, обратная индексу затрат рабочего времени, рассчитываемая по формуле:

где
– объем продукции, произведенной в отчетном периоде, в соответствующих единицах измерения;
t0 и t1 – затраты рабочего времени соответственно в базовом и отчетном периодах на единицу продукции.

Для определения изменения производительности труда широко применяется индекс, основанный на сопоставлении выработки продукции на одного работника в отчетном и базовом периодах, в денежном выражении в сопоставимых ценах:
где q0 и qi – объем продукции в натуральном выражении соответственно в базовом и отчетном периодах;
Ц – сопоставимая цена (норматив чистой продукции) на единицу продукции;
Р0 и Р1 – среднесписочная численность в базовом и отчетном периодах;
В0 и В1 – выработка товарной (валовой) продукции в сопоставимых ценах предприятия на одного работника промышленно-производственного персонала (или рабочего) соответственно в базовом и отчетном периодах.
Прочитали книгу? Предлагаем вам поделится своим впечатлением! Ваш отзыв будет полезен читателям, которые еще только собираются познакомиться с произведением.
Уважаемые читатели, слушатели и просто посетители нашей библиотеки! Просим Вас придерживаться определенных правил при комментировании литературных произведений.
Просьба отказаться от дискриминационных высказываний. Мы защищаем право наших читателей свободно выражать свою точку зрения. Вместе с тем мы не терпим агрессии. На сайте запрещено оставлять комментарий, который содержит унизительные высказывания или призывы к насилию по отношению к отдельным лицам или группам людей на основании их расы, этнического происхождения, вероисповедания, недееспособности, пола, возраста, статуса ветерана, касты или сексуальной ориентации. Просьба отказаться от оскорблений, угроз и запугиваний. Просьба отказаться от нецензурной лексики. Просьба вести себя максимально корректно как по отношению к авторам, так и по отношению к другим читателям и их комментариям.
Надеемся на Ваше понимание и благоразумие. С уважением, администратор My-Books.me.
Оставить комментарий
-
Александра15 январь 09:37
Очень интересная книга! Особенно, если любишь психологию и хочешь понимать себя и других. Обязательно послушаю до конца. Спасибо....
Кригер Борис – Гнев
-
Галина25 май 13:02
Очень уважаю Артема Шейнина, книга замечательная, очень мне близкая по духу.Перечитываю уже второй раз, столько пережитого и не...
Мне повезло вернуться - Артем Шейнин
-
Екатерина11 январь 08:05
Доброе утро. Подскажите пожалуйста как сохранять книги, ставить закладки?...
Подонок - Анастасия Леманн