Управление персоналом: учебное пособие - Владимир Спивак
Книгу Управление персоналом: учебное пособие - Владимир Спивак читаем онлайн бесплатно и без регистрации! Читать онлайн вы можете не только на компьютере, но и на андроид (Android), iPhone и iPad. Наслаждайтесь!
255 0 17:41, 21-05-2019Книга Управление персоналом: учебное пособие - Владимир Спивак читать онлайн бесплатно без регистрации
4. Коэффициент необходимого оборота, равный отношению числа уволенных по неизбежным и независящим от предприятия причинам к среднесписочной численности работников.

5. Коэффициент текучести персонала – отношение числа уволенных работников предприятия, выбывших за данный период по причинам текучести (по собственному желанию, за прогулы, за нарушение техники безопасности, самовольный уход и аналогичным причинам, не вызванным производственной или общегосударственной потребностью) к среднесписочной численности за тот же период.
Текучесть персонала – движение рабочей силы, обусловленное неудовлетворенностью работника рабочим местом или неудовлетворенностью организации конкретным работником.
Текучесть может быть:
1. Внутриорганизационная – связанная с трудовыми перемещениями внутри организации.
2. Внешняя – между организациями, отраслями и сферами экономики.
Различают естественную и излишнюю текучесть кадров.
Смена кадров происходит практически в любой фирме. Это нормальное явление для каждого живого коллектива, так как отсутствие движения – признак застоя. Поэтому приток новых людей и изменение кадровой структуры служит фактором естественного развития. Сложности возникают, когда текучесть кадров принимает значительные масштабы, становится неуправляемой, нарушает нормальный ритм работы и вдобавок вредит репутации руководителя и компании в деловом окружении.
Естественная текучесть (3–5 % в год) способствует своевременному обновлению коллектива и не требует особых мер со стороны руководства и кадровой службы.
Излишняя текучесть вызывает значительные экономические потери, а также создает организационные, кадровые, технологические, психологические трудности.
Излишняя текучесть персонала, по данным западных психологических исследований, отрицательно сказывается на моральном состоянии оставшихся работников, на их трудовой мотивации и преданности организации. С уходом сотрудников разваливаются годами наработанные связи в трудовом коллективе, и текучесть может приобрести лавинообразный характер. В последние годы на российских предприятиях часто наблюдаются случаи «ухода отделами», когда сложившиеся рабочие коллективы, в силу одинаковой мотивации и налаженных контактов, предпочитают переходить в другую организацию целиком.
Сам по себе показатель текучести в разных фирмах оценивают неодинаково: где-то считают поводом для беспокойства текучесть ниже 10 %, а где-то – выше 3 %. Точка зрения на этот показатель зависит от того, как руководство фирмы представляет разумное соотношение между стабильностью коллектива и уровнем его консерватизма, застоя.
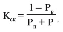
6. Коэффициент стабильности кадров определяется в соответствии со следующей формулой [141]:

где Рв – количество уволившихся по собственному желанию и из-за нарушения трудовой дисциплины;
Рп – численность вновь принятых работников;
P – среднесписочная численность работников в предшествующий период.
С уменьшением числа выбывших и принятых на работу работников значение данного коэффициента приближается к единице, что соответствует стабилизации кадрового состава предприятия.
Для оценки работы служащих по управлению персоналом можно использовать методику контрольного перечня [142]. Перечень содержит вопросы, на которые можно ответить либо «да», либо «нет». Методика определяет, были ли оценены важные виды деятельности, и если да, то были ли они выполнены.
Типичные вопросы контрольного перечня для оценки работы службы по управлению персоналом:
1. Были ли все обязательные виды отчетности представлены в запрашивающие их органы вовремя?
2. Были ли разработаны формализованные процедуры и методы для проведения анализа производственных операций?
3. Делаются ли прогнозы потребности в человеческих ресурсах по меньшей мере ежегодно?
4. Эффективно ли интегрирован процесс найма в процесс планирования человеческих ресурсов?
5. Соответствует ли форма заявления о приеме на работу применяемым стандартам правовых и позитивных действий?
6. Проходят ли все работники аттестацию хотя бы раз в год?
7. Обновляются ли должностные инструкции для всех работников?
8. Всем ли работникам четко разъяснены их карьерные возможности?
По существу, контрольный перечень представляет собой оценку того, что следует сделать, и до какой степени это уже сделано. Чем больше в нем положительных ответов, тем лучше результаты оценки; отрицательные ответы указывают на сферы или виды деятельности, где требуется последующая или дополнительная работа для увеличения эффективности управления персоналом. Организации, решившие использовать эту методику, несомненно, включат в нее еще много вопросов. Метод контрольного перечня является исключительно средством внутренней оценки и может рассматриваться в качестве первого шага при проведении аудита.
Еще один способ оценки результатов деятельности службы по управлению персоналом – количественный метод. Он основывается на сборе различных видов цифровых данных и вычислении на их основе определенных соотношений. Цифровые данные полезны, прежде всего, как показатели уровней и тенденций деятельности. Соотношения показывают результаты, которые важны сами по себе, но также выявляют (если наблюдения ведутся в течение некоторого времени) тенденции, что может быть еще более важным. Возможные сферы кадровой политики, которые требуется отследить, – это наем, текучесть кадров, отсутствие на рабочем месте, уровень заработной платы в фирме вообще и рабочих в частности, временная помощь, сверхурочные, безработица, страхование. К примеру, во что обойдется приобретение того или иного навыка? Является ли один метод найма лучше, чем другой? Широко используется практика обращения в бюро по трудоустройству, но это дорого; так, возможно, другие методы более эффективны с точки зрения затрат?
Примеры количественных критериев, используемых в сфере управления персоналом США:
• коэффициент отбора женщин и представителей меньшинств;
• коэффициент продвижения по службе женщин и представителей меньшинств;
Прочитали книгу? Предлагаем вам поделится своим впечатлением! Ваш отзыв будет полезен читателям, которые еще только собираются познакомиться с произведением.
Уважаемые читатели, слушатели и просто посетители нашей библиотеки! Просим Вас придерживаться определенных правил при комментировании литературных произведений.
Просьба отказаться от дискриминационных высказываний. Мы защищаем право наших читателей свободно выражать свою точку зрения. Вместе с тем мы не терпим агрессии. На сайте запрещено оставлять комментарий, который содержит унизительные высказывания или призывы к насилию по отношению к отдельным лицам или группам людей на основании их расы, этнического происхождения, вероисповедания, недееспособности, пола, возраста, статуса ветерана, касты или сексуальной ориентации. Просьба отказаться от оскорблений, угроз и запугиваний. Просьба отказаться от нецензурной лексики. Просьба вести себя максимально корректно как по отношению к авторам, так и по отношению к другим читателям и их комментариям.
Надеемся на Ваше понимание и благоразумие. С уважением, администратор My-Books.me.
Оставить комментарий
-
Александра15 январь 09:37
Очень интересная книга! Особенно, если любишь психологию и хочешь понимать себя и других. Обязательно послушаю до конца. Спасибо....
Кригер Борис – Гнев
-
Галина25 май 13:02
Очень уважаю Артема Шейнина, книга замечательная, очень мне близкая по духу.Перечитываю уже второй раз, столько пережитого и не...
Мне повезло вернуться - Артем Шейнин
-
Екатерина11 январь 08:05
Доброе утро. Подскажите пожалуйста как сохранять книги, ставить закладки?...
Подонок - Анастасия Леманн