Управление персоналом: учебное пособие - Владимир Спивак
Книгу Управление персоналом: учебное пособие - Владимир Спивак читаем онлайн бесплатно и без регистрации! Читать онлайн вы можете не только на компьютере, но и на андроид (Android), iPhone и iPad. Наслаждайтесь!
254 0 17:41, 21-05-2019Книга Управление персоналом: учебное пособие - Владимир Спивак читать онлайн бесплатно без регистрации
Все результаты, достигнутые организацией, в первую очередь отражают эффективность деятельности персонала, и в частности, работников службы управления персоналом, обеспечивающих качество рабочей силы. Основная цель службы управления персоналом – обеспечение качества персонала, адекватного требованиям внутренней (контекста) и внешней среды организации, используя современные знания, методы и рекомендации по реализации функций, а также весь потенциал работников и команд СУП и менеджмента. Это обобщенные стратегические показатели эффективности СУП и персонала, аналогичные конечным целям организации (стратегическим и тактическим), такие, как рентабельность активов предприятия, производительность (оборачиваемость) активов предприятия, издержки на единицу реализованной продукции (продаж), производительность живого труда, рост объемов продаж, рост доли на рынках и другие, такие, например, как приводят К. Камерон и Р. Куинн в связи с анализом эффективности трансформаций на автозаводе в г. Фримонт: численность персонала, число прогулов (уровень абсентеизма), количество жалоб, в том числе неудовлетворенных, количество забастовок (показатели степени удовлетворенности трудом), объем выпускаемой продукции, качество.
Есть и локальные показатели.
При определении целесообразности инвестирования в человеческие ресурсы, в том числе в случае разработки и реализации ЦКП по развитию персонала или любой из подпрограмм этой ЦКП, подходят методы расчета эффективности инвестирования капитала, например, срока окупаемости инвестиций, приводимые в книге Л. А. Ждановой «Организация и управление капиталистической промышленной фирмой» [137]:

или по такой формуле:

где К – первоначальные инвестиции;
Кр – величина кредита, используемого для инвестиций;
П + А – валовые накопления (прибыль и амортизация);
АКр – амортизация кредита;
i – процент на кредит.
Определим в табл. 14.2 структуру затрат и направления расчета экономического эффекта от мероприятий по такой подпрограмме развития персонала, как производственное обучение и повышение квалификации работников.
Подробная структура единовременных и текущих затрат на разработку и реализацию ЦКП развития персонала организации может быть определена и рассчитана специалистом по бухгалтерскому учету, экономике организации, ценообразованию. В частности, состав такого рода затрат приводится в учебнике «Управление персоналом организации» [138].
Таблица 14.2
Структура затрат и направления расчета эффекта

В «Справочном пособии по НОТ» Е. Л. Смирнова [139] предлагается рассчитывать целый ряд показателей, отражающих экономию, получаемую организацией за счет мероприятий, направленных на повышение качества персонала и качества трудовой жизни:
1. Относительную экономию (условное высвобождение) численности работающих Эч за счет прироста выработки в результате повышения квалификации работников по следующей формуле:

при

где Чнв – численность рабочих, увеличивших выполнение норм выработки в результате повышения квалификации;
Рнв – прирост процента выполнения норм выработки рабочими;
Рнв1, Рнв2 – выполнение норм выработки соответственно до и после повышения квалификации, %.
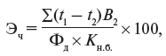
2. Экономию за счет снижения трудоемкости по формуле:

где t1, t2 – трудоемкость единицы продукции, работ до и после внедрения мероприятия, нормо-час;
Фд – фонд рабочего времени одного работника до внедрения (эффективный);
В2 – годовой объем производства после внедрения;
Кнб – коэффициент выполнения норм в базисном году.
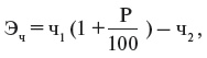
3. Экономию (условное высвобождение численности) за счет прироста объема производства:

где ч1 и ч2 – численность работающих до и после внедрения;
Р – прирост объема производства в результате внедрения мероприятия, %.
4. Экономию по себестоимости за счет снижения текучести рабочей силы:

где
– среднегодовой ущерб от текучести кадров;
Рт1 – ущерб от недополучения продукции, когда увольняющиеся работники предупредили о желании уволиться, но «дорабатывают» 2 недели;
Рт2 – ущерб от недополучения продукции от новичков;
Рт3 – затраты на обучение новичков (целевое или иное обучение);
Рт4 – дополнительные расходы, связанные с организацией работ по приему и увольнению по собственному желанию;
Ртп – другие расходы, связанные с текучестью;
Кт2 – ожидаемый процент текучести рабочей силы после внедрения комплекса мероприятий по НОТ или мероприятий, направленных на снижение текучести, повышение лояльности работников предприятию, улучшение отношения к труду;
Прочитали книгу? Предлагаем вам поделится своим впечатлением! Ваш отзыв будет полезен читателям, которые еще только собираются познакомиться с произведением.
Уважаемые читатели, слушатели и просто посетители нашей библиотеки! Просим Вас придерживаться определенных правил при комментировании литературных произведений.
Просьба отказаться от дискриминационных высказываний. Мы защищаем право наших читателей свободно выражать свою точку зрения. Вместе с тем мы не терпим агрессии. На сайте запрещено оставлять комментарий, который содержит унизительные высказывания или призывы к насилию по отношению к отдельным лицам или группам людей на основании их расы, этнического происхождения, вероисповедания, недееспособности, пола, возраста, статуса ветерана, касты или сексуальной ориентации. Просьба отказаться от оскорблений, угроз и запугиваний. Просьба отказаться от нецензурной лексики. Просьба вести себя максимально корректно как по отношению к авторам, так и по отношению к другим читателям и их комментариям.
Надеемся на Ваше понимание и благоразумие. С уважением, администратор My-Books.me.
Оставить комментарий
-
Александра15 январь 09:37
Очень интересная книга! Особенно, если любишь психологию и хочешь понимать себя и других. Обязательно послушаю до конца. Спасибо....
Кригер Борис – Гнев
-
Галина25 май 13:02
Очень уважаю Артема Шейнина, книга замечательная, очень мне близкая по духу.Перечитываю уже второй раз, столько пережитого и не...
Мне повезло вернуться - Артем Шейнин
-
Екатерина11 январь 08:05
Доброе утро. Подскажите пожалуйста как сохранять книги, ставить закладки?...
Подонок - Анастасия Леманн