Теория ограничений Голдратта. Системный подход к непрерывному совершенствованию - Уильям Детмер
Книгу Теория ограничений Голдратта. Системный подход к непрерывному совершенствованию - Уильям Детмер читаем онлайн бесплатно и без регистрации! Читать онлайн вы можете не только на компьютере, но и на андроид (Android), iPhone и iPad. Наслаждайтесь!
220 0 11:15, 21-05-2019Книга Теория ограничений Голдратта. Системный подход к непрерывному совершенствованию - Уильям Детмер читать онлайн бесплатно без регистрации
Результативность действия, т. е. способность обеспечить желаемый результат в будущем, логически можно проверить только по критерию наличия причинно-следственных связей между событиями.
В главе 2 мы обсуждали понятие «кислород» применительно к логическим построениям ТОС – это некие устоявшиеся убеждения о событиях окружающего мира, не зафиксированные в диаграммах.
Каждая стрелка-связь подразумевает некий «кислород» – условие, которое имеет место, но не отображается на схеме. Но то, что можно подразумевать, описывая текущую реальность, вряд ли стоит оставлять скрытым, говоря о будущем. Поэтому в ППР лучше отображать все скрытые предположения и условия в качестве описаний существующей реальности, которые создают среду для планируемых событий и действий. Выявляя скрытую информацию, мы снижаем вероятность упущений, оставляя невысказанными лишь действительно очевидные вещи. В плане преобразований практически не должно быть одиночных стрелок, не подкрепленных дополнительной информацией.
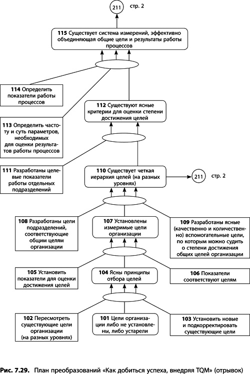
Каждое действие в диаграмме (прямоугольники) – это очередной шаг на пути к достижению главной цели. Можно выписать их все отдельно и составить при желании самостоятельную инструкцию, проверочный список либо просто план последовательных действий (рис. 7.28).

Читатели, знакомые с методами управления проектами, наверняка заметили, что план преобразований похож на PERT-диаграмму (Program Evaluation and Review Technique) – сетевой график планирования работ. Только сетевой график обязательно включает в себя цифровые показатели (оптимистические, пессимистические и ожидаемые прогнозы длительности каждого этапа проекта, а также времени простоя на отдельных отрезках пути). А в остальном структуры ППР и PERT-диаграмм очень похожи, ППР можно даже использовать для первоначальных набросков плана проектных работ, которые затем дополняются численными показателями. В результате вы получаете классический сетевой график (см. рис. 7.33).
Итак, мы завершили изучение пятого инструмента в рамках метода рассуждений Голдратта. Начав с дерева текущей реальности, мы нашли ограничение и решили, что именно необходимо менять. Затем, пользуясь диаграммой разрешения конфликтов, мы начали разработку картины новой – желаемой реальности с поиска ответа на вопрос «Что делать с ограничением?». При помощи дерева будущей реальности была составлена «лабораторная модель будущего» и протестирована оригинальная идея-прорыв. Мы изучили возможность снять главное ограничение системы, не вызвав негативных последствий. Затем, построив дерево перехода, мы выявили основные преграды на пути преобразований и нашли пути их преодоления. В итоге был создан пошаговый план преобразования системы.
Повторимся вновь: в зависимости от ситуации логические инструменты ТОС можно использовать как в совокупности, так и по отдельности. Не все проблемы настолько запутанны, чтобы нельзя было обойтись без дерева текущей реальности, диаграммы разрешения конфликтов и дерева будущей реальности в их логической последовательности. Иногда можно сразу же браться за построение дерева перехода или даже итогового плана преобразований. Логические инструменты ТОС в плане применения ничем не отличаются от строительных инструментов. Топором, например, можно и дров наколоть, и гвоздь забить, и целый дом построить.
И еще один важный момент. До сих пор мы говорили о логических инструментах как об индивидуальных средствах планирования, командная работа подробно не рассматривалась, что было вызвано исключительно интересами процесса обучения. Так проще разобраться в правилах построения и работы самих диаграмм. Но на самом деле мы живем и функционируем в социуме, и успех применения ТОС во многом зависит от окружения. В главе 8 мы обсудим, как вести групповой процесс логического построения и анализа по ТОС, как вовлечь окружающих в преобразование системы.












Прочитали книгу? Предлагаем вам поделится своим впечатлением! Ваш отзыв будет полезен читателям, которые еще только собираются познакомиться с произведением.
Уважаемые читатели, слушатели и просто посетители нашей библиотеки! Просим Вас придерживаться определенных правил при комментировании литературных произведений.
Просьба отказаться от дискриминационных высказываний. Мы защищаем право наших читателей свободно выражать свою точку зрения. Вместе с тем мы не терпим агрессии. На сайте запрещено оставлять комментарий, который содержит унизительные высказывания или призывы к насилию по отношению к отдельным лицам или группам людей на основании их расы, этнического происхождения, вероисповедания, недееспособности, пола, возраста, статуса ветерана, касты или сексуальной ориентации. Просьба отказаться от оскорблений, угроз и запугиваний. Просьба отказаться от нецензурной лексики. Просьба вести себя максимально корректно как по отношению к авторам, так и по отношению к другим читателям и их комментариям.
Надеемся на Ваше понимание и благоразумие. С уважением, администратор My-Books.me.
Оставить комментарий
-
Александра15 январь 09:37
Очень интересная книга! Особенно, если любишь психологию и хочешь понимать себя и других. Обязательно послушаю до конца. Спасибо....
Кригер Борис – Гнев
-
Галина25 май 13:02
Очень уважаю Артема Шейнина, книга замечательная, очень мне близкая по духу.Перечитываю уже второй раз, столько пережитого и не...
Мне повезло вернуться - Артем Шейнин
-
Екатерина11 январь 08:05
Доброе утро. Подскажите пожалуйста как сохранять книги, ставить закладки?...
Подонок - Анастасия Леманн