О том, чего мы не можем знать. Путешествие к рубежам знаний - Маркус Дю Сотой
Книгу О том, чего мы не можем знать. Путешествие к рубежам знаний - Маркус Дю Сотой читаем онлайн бесплатно и без регистрации! Читать онлайн вы можете не только на компьютере, но и на андроид (Android), iPhone и iPad. Наслаждайтесь!
453 0 13:01, 25-05-2019Книга О том, чего мы не можем знать. Путешествие к рубежам знаний - Маркус Дю Сотой читать онлайн бесплатно без регистрации
В качестве приблизительной аналогии можно представить себе обычную карточную колоду: карты можно разложить по мастям, но также можно заметить, что во всех мастях есть карты одинакового достоинства. В химических элементах можно было заметить периодичность восьмерок: свойства элементов, расположенных через восемь друг от друга, казались очень похожими. Через восемь элементов от лития находится натрий, еще через восемь – калий. Все они – мягкие, блестящие, химически активные металлы. Похожая закономерность обнаруживается и в газах со сходными свойствами.
Расположение элементов по восьмеркам было замечено еще до открытия Менделеева и называлось законом октав. Восьмерки сравнивали с музыкальными октавами: когда я играю на своей виолончели восемь нот мажорной гаммы, самая высокая и самая низкая ноты звучат очень похоже и даже называются одинаково. Когда Джон Ньюлендс впервые предложил этот закон октав на рассмотрение Королевского общества, его попросту высмеяли. «Вы бы еще сказали, что, для того чтобы понять элементы, их надо расположить в алфавитном порядке!» – пошутил один из академиков. Схема Менделеева до некоторой степени подтвердила справедливость закона октав. Именно благодаря принципу повторяющейся, или периодической, структуры эта система получила название периодической таблицы.
Гениальное прозрение Менделеева состояло в том, что несоответствие некоторых элементов системе может указывать на существование недостающих элементов. Предположение о наличии в таблице пробелов было, возможно, самым ярким проявлением его проницательности. Например, пустое место в 31-й клетке таблицы позволило Менделееву предсказать в 1871 г. существование и свойства нового вещества, впоследствии названного галлием. Четыре года спустя французский химик Лекок де Буабодран выделил первые образцы этого нового элемента, предсказанного благодаря математическим закономерностям, открытым Менделеевым.
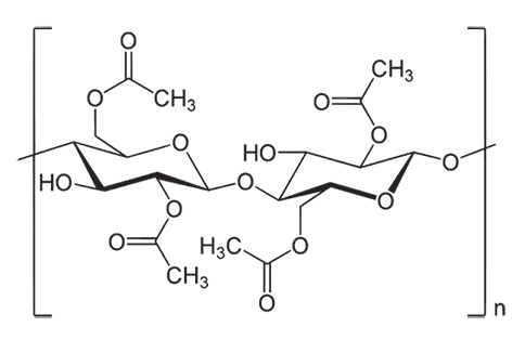
Итак, мы получили список атомов, из которых, по-видимому, состоит вся материя. Например, наша игральная кость состоит из сочетания атомов углерода, атомов кислорода и атомов водорода, объединенных в структуру, называемую ацетилцеллюлозой. Мое собственное тело тоже в основном состоит из сочетаний тех же атомов, но объединенных в другие структуры. Ацетилцеллюлоза представляет собой однородную структуру, лишенную пузырей, что увеличивает вероятность ее равномерности. Раньше игральные кости делали из нитроцеллюлозы, которую изобрел в 1868 г. Джон Уэсли Хайат. Составленный им коктейль из азотной кислоты, серной кислоты, хлопчатого волокна и камфары давал удивительный материал с высокой прочностью на разрыв, устойчивый к воздействию воды, масел и даже слабых кислот.
Брат Хайата назвал его целлулоидом, и этот материал стали чрезвычайно выгодно использовать для изготовления вещей, которые до того вырезали из рога или слоновой кости. Из этого синтетического пластика изготавливались бильярдные шары и съемные воротнички, фортепианные клавиши и даже игральные кости. В начале XX в. изготовление костей из нитроцеллюлозы было промышленным стандартом, но через несколько десятилетий использования таких костей с ними происходила почти моментальная кристаллизация, и они рассыпались, выделяя газообразную азотную кислоту.
Игральные кости, сделанные для казино Лас-Вегаса в конце 1940-х гг. и избежавшие кристаллизации, стали теперь коллекционными. Моей кости такая судьба не грозит. На следующей иллюстрации показано, как расположены атомы внутри моей кости.

Идентификация этих элементов еще не была доказательством справедливости дискретной модели строения материи. Ничто не говорит о том, что такая картинка ингредиентов игральной кости не может соответствовать какой-нибудь формуле сочетания непрерывных структур. В то время как химики склонялись к атомистическому видению Вселенной, среди физиков такие взгляды были далеко не столь общепринятыми. Тех, кто подобно немецкому физику Людвигу Больцману предлагал атомарную модель материи, в исследовательских лабораториях высмеивали.
Больцман считал атомарную теорию мощным средством интерпретации концепции теплоты, основанной на идее газа, состоящего из мельчайших молекул, которые соударяются друг с другом подобно огромному множеству микроскопических бильярдных шаров. Теплота попросту представляет собой суммарную кинетическую энергию таких движущихся миниатюрных шаров. Применение этой модели в сочетании с вероятностными и статистическими методами позволило ему объяснить макроскопическое поведение газов. Но большинство физиков по-прежнему были привержены идеям непрерывности материи и относились к идеям Больцмана пренебрежительно.
Насмешки над Больцманом дошли до такой степени, что ради публикации своих идей ему пришлось отречься от своей веры в соответствие «бильярдной» теории строения материи действительной реальности и называть ее эвристической моделью. Эрнст Мах, главный противник Больцмана в дискуссии о реальности атомов, издевательски спрашивал его: «Вы сами когда-нибудь видели атом?»
Больцман был подвержен приступам депрессии и, судя по некоторым признакам, мог страдать биполярным расстройством. Считается, что неприятие его идей научным сообществом усугубило его депрессию, под влиянием которой в 1906 г., будучи на отдыхе в Триесте вместе со своей семьей, он и повесился, когда его жена с дочерью ушли купаться.
Его смерть была тем более трагической, что именно в это время стали появляться убедительные доказательства его правоты. Причем подтверждавшие атомистическую картину мира идеи, от которых к тому же было невозможно отмахнуться, принадлежали одному из самых влиятельных физиков. Тем, кто подобно Маху продолжал верить в непрерывную структуру мира, было чрезвычайно непросто объяснить результаты исследования броуновского движения, полученные Эйнштейном и другими.
Хотя обычные оптические микроскопы и не позволяют увидеть отдельные атомы, они позволили ученым XIX в. увидеть воздействие таких атомов на окружающую их среду. Это воздействие называется броуновским движением по имени Роберта Броуна, который в 1827 г. заметил случайное движение мельчайших частиц пыльцы, плавающих на поверхности воды. Поскольку пыльца – вещество органическое, Броун сначала решил, что ее прыжки по поверхности могут быть признаками жизни. Сходное случайное движение угольной пыли, плавающей на поверхности спирта, наблюдалось в 1785 г. голландским ученым Яном Ингенхаузом. Когда Броун увидел, что поведение пыльцы может быть свойственно и неорганической материи, он не мог понять, какие причины могут вызывать такое беспорядочное движение.
Интересно отметить: идею о том, что речь может идти о невидимых атомах, сталкивающихся с более крупными видимыми частицами вещества, высказал еще древнеримский поэт Лукреций в своей философской поэме «О природе вещей»:
Эти стихи были написаны в 60 г. до н. э., но для подтверждения такого атомарного объяснения случайного движения пылинок в солнечном луче у Лукреция и пыльцы у Броуна потребовался математический анализ Эйнштейна.
Прочитали книгу? Предлагаем вам поделится своим впечатлением! Ваш отзыв будет полезен читателям, которые еще только собираются познакомиться с произведением.
Уважаемые читатели, слушатели и просто посетители нашей библиотеки! Просим Вас придерживаться определенных правил при комментировании литературных произведений.
Просьба отказаться от дискриминационных высказываний. Мы защищаем право наших читателей свободно выражать свою точку зрения. Вместе с тем мы не терпим агрессии. На сайте запрещено оставлять комментарий, который содержит унизительные высказывания или призывы к насилию по отношению к отдельным лицам или группам людей на основании их расы, этнического происхождения, вероисповедания, недееспособности, пола, возраста, статуса ветерана, касты или сексуальной ориентации. Просьба отказаться от оскорблений, угроз и запугиваний. Просьба отказаться от нецензурной лексики. Просьба вести себя максимально корректно как по отношению к авторам, так и по отношению к другим читателям и их комментариям.
Надеемся на Ваше понимание и благоразумие. С уважением, администратор My-Books.me.
Оставить комментарий
-
Александра15 январь 09:37
Очень интересная книга! Особенно, если любишь психологию и хочешь понимать себя и других. Обязательно послушаю до конца. Спасибо....
Кригер Борис – Гнев
-
Галина25 май 13:02
Очень уважаю Артема Шейнина, книга замечательная, очень мне близкая по духу.Перечитываю уже второй раз, столько пережитого и не...
Мне повезло вернуться - Артем Шейнин
-
Екатерина11 январь 08:05
Доброе утро. Подскажите пожалуйста как сохранять книги, ставить закладки?...
Подонок - Анастасия Леманн