О том, чего мы не можем знать. Путешествие к рубежам знаний - Маркус Дю Сотой
Книгу О том, чего мы не можем знать. Путешествие к рубежам знаний - Маркус Дю Сотой читаем онлайн бесплатно и без регистрации! Читать онлайн вы можете не только на компьютере, но и на андроид (Android), iPhone и iPad. Наслаждайтесь!
453 0 13:01, 25-05-2019Книга О том, чего мы не можем знать. Путешествие к рубежам знаний - Маркус Дю Сотой читать онлайн бесплатно без регистрации
На Западе атомистическую философию природы первыми предложили древние греки, придерживавшиеся редукционистской точки зрения, согласно которой физическая реальность может быть сведена к фундаментальным блокам, из которых состоит вся материя. Такие атомы невозможно разделить на меньшие составляющие, и их свойства не должны зависеть от какого-либо еще более сложного внутреннего строения. Одним из источников такой веры во Вселенную, составленную из отдельных блоков, было убеждение пифагорейской школы в том, что число является ключом к объяснению тайн Вселенной.
Вера в могущество целых чисел проистекает из довольно замечательного открытия, приписываемого самому Пифагору: оно состояло в том, что число лежит в основе музыкальной гармонии, которую использует как виолончель, так и труба. Говорят, что его прозрение случилось, когда он проходил мимо кузницы и услышал в стуке молота сочетание гармоничных нот (мы не знаем, можно ли верить этой и другим подобным историям о Пифагоре и даже существовал ли вообще такой человек, или же он был выдуман последующими поколениями для пропаганды новых идей).
Как бы то ни было, согласно этой истории, он вернулся к себе домой и стал экспериментировать с нотами, получаемыми на струнном инструменте. Взяв вибрирующую струну виолончели, я могу получить непрерывную последовательность нот, постепенно перемещая палец в сторону подставки. Так я получаю звук, называемый глиссандо (хотя на следующем «рубеже» вопрос о том, образуется ли при этом действительно непрерывная последовательность нот, будет поставлен под сомнение). Если я остановлюсь в том положении, в котором получаются ноты, звучащие в гармонии с вибрирующей открытой струной, окажется, что отношение длин этих струн точно равно целому числу.
Например, прижав пальцем середину вибрирующей струны, я получу ноту, звучащую почти так же, как нота, с которой я начал. Интервал между ними называется октавой, и для человеческого уха эта нота звучит настолько похоже на ноту открытой струны, что в музыкальной нотации мы обозначаем их одним и тем же названием. Если я помещу свой палец в одной трети расстояния от головки грифа, я получу ноту, особенно гармонично звучащую в сочетании с нотой открытой струны. Такой интервал называется чистой квинтой, и наш мозг реагирует на подсознательное узнавание целочисленного отношения длин волн этих двух нот.
Обнаружив, что в основе гармонии лежат целые числа, пифагорейцы начали строить модель Вселенной, в которой такие целые числа были фундаментальными кирпичиками всего, что они видели и слышали вокруг себя. В греческой космологии царила идея небесной математической гармонии. Считалось, что между орбитами планет существуют идеальные математические соотношения, что и породило идею музыки сфер.
Для понимания структуры игральной кости важнее то обстоятельство, что ключом к объяснению состава материи пифагорейцы считали дискретные числа, а не непрерывное глиссандо. Они предложили идею атомов, которые подобно числам можно складывать для образования новой материи. Греческий философ и математик Платон, развивая пифагорейскую философию, представил такие атомы дискретными геометрическими элементами.
Платон полагал, что атомы представляют собой геометрические фигуры, треугольники и квадраты. Из этих элементарных блоков были составлены формы, которые считались основными ингредиентами греческой химии, – элементы, или «стихии» огня, земли, воздуха и воды. Каждая стихия, по мнению Платона, имела собственную трехмерную геометрическую форму.
Огонь имел форму треугольной пирамиды, или тетраэдра, образованного из четырех равносторонних треугольников. Форма земли была кубической, подобно моей игральной кости из Лас-Вегаса. Воздух был образован из формы, называемой октаэдром, которая состоит из восьми равносторонних треугольников. Она выглядит как две пирамиды, склеенные своими квадратными основаниями. Наконец, вода соответствовала икосаэдру, составленному из двадцати равносторонних треугольников. Платон считал, что химия стихий возникает из геометрического взаимодействия таких основных форм.
Атомистическое видение материи не было повсеместно признано в Древнем мире. В конце концов, никаких доказательств существования таких невидимых элементов не было. Их нельзя было увидеть. Аристотель, например, не верил в идею фундаментальных атомов. Он полагал, что стихии по природе своей непрерывны, так что мою игральную кость теоретически можно делить на все меньшие и меньшие части. Он считал огонь, землю, воздух и воду элементарными в том смысле, что их нельзя разделить на «тела иной формы». Сколько бы мы их ни делили, мы всегда получаем воду или воздух. Вода в стакане представляется человеческому глазу непрерывной структурой, которую теоретически можно делить до бесконечности. Кусок резины можно плавно растянуть так, что он будет казаться непрерывным. Так было подготовлено поле битвы между непрерывной и дискретной моделями материи. Между глиссандо и дискретными нотами музыкальной гаммы. Между виолончелью и трубой.
Интересно отметить, что именно пифагорейцам приписывается открытие, которое поставило атомистическое видение материи под угрозу и на долгие годы изменило ситуацию в пользу веры в возможность бесконечного деления материи.
Если провести на листе бумаги две линии, то с атомистической точки зрения каждая из линий будет состоять из определенного числа неделимых атомов и, следовательно, их длины будут пропорциональны некоторым целым числам, соответствующим количествам атомов, их составляющих. Но оказалось, что такой строгий порядок не вполне соответствует положению вещей. Более того, именно теорема о прямоугольных треугольниках самого Пифагора показала, что мир геометрии способен порождать линии, отношение длин которых не может быть выражено простыми дробями.
В размерах моей игральной кости уже таится некоторое затруднение для этого атомистического воззрения на природу. Возьмем два ребра кубика, расположенные под прямым углом друг к другу. Их длины равны. Рассмотрим диагональ, проведенную по грани кубика и завершающую треугольник, образованный вместе с двумя ребрами одинаковой длины. Каково отношение длины этой диагонали к длинам более коротких сторон треугольника?
Как гласит теорема Пифагора о прямоугольном треугольнике, квадрат длины такой диагонали (гипотенузы) равен сумме квадратов длин двух коротких сторон (катетов). Если считать длину ребра кубика равной 1, то, по теореме Пифагора, длина диагонали грани такого кубика равна числу, квадрат которого равен 2. Что же это за число?
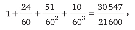
Задача вычисления этой длины увлекала еще вавилонян. Оценку этой длины можно найти на хранящейся в Йельском университете табличке, которую датируют старовавилонским периодом (1800–1600 гг. до н. э.). Используя шестидесятеричную систему (т. е. систему счисления по основанию 60), вавилоняне получили следующий результат:

которому при десятичной записи соответствует число 1,41421296296…, причем группа «296» повторяется до бесконечности. Собственно, любая дробь, будучи записана в десятичной системе, с какого-то момента начинает повторяться. Это вавилонское вычисление было замечательным достижением. Оно соответствует точному результату до шестого знака после запятой. Однако квадрат этой дроби оказывается чуть меньше 2. Открытие древних греков состояло в том, что, как бы ни старались вавилонские писцы, их дроби, возведенные в квадрат, никогда не могли быть точно равны 2.
Прочитали книгу? Предлагаем вам поделится своим впечатлением! Ваш отзыв будет полезен читателям, которые еще только собираются познакомиться с произведением.
Уважаемые читатели, слушатели и просто посетители нашей библиотеки! Просим Вас придерживаться определенных правил при комментировании литературных произведений.
Просьба отказаться от дискриминационных высказываний. Мы защищаем право наших читателей свободно выражать свою точку зрения. Вместе с тем мы не терпим агрессии. На сайте запрещено оставлять комментарий, который содержит унизительные высказывания или призывы к насилию по отношению к отдельным лицам или группам людей на основании их расы, этнического происхождения, вероисповедания, недееспособности, пола, возраста, статуса ветерана, касты или сексуальной ориентации. Просьба отказаться от оскорблений, угроз и запугиваний. Просьба отказаться от нецензурной лексики. Просьба вести себя максимально корректно как по отношению к авторам, так и по отношению к другим читателям и их комментариям.
Надеемся на Ваше понимание и благоразумие. С уважением, администратор My-Books.me.
Оставить комментарий
-
Александра15 январь 09:37
Очень интересная книга! Особенно, если любишь психологию и хочешь понимать себя и других. Обязательно послушаю до конца. Спасибо....
Кригер Борис – Гнев
-
Галина25 май 13:02
Очень уважаю Артема Шейнина, книга замечательная, очень мне близкая по духу.Перечитываю уже второй раз, столько пережитого и не...
Мне повезло вернуться - Артем Шейнин
-
Екатерина11 январь 08:05
Доброе утро. Подскажите пожалуйста как сохранять книги, ставить закладки?...
Подонок - Анастасия Леманн