О том, чего мы не можем знать. Путешествие к рубежам знаний - Маркус Дю Сотой
Книгу О том, чего мы не можем знать. Путешествие к рубежам знаний - Маркус Дю Сотой читаем онлайн бесплатно и без регистрации! Читать онлайн вы можете не только на компьютере, но и на андроид (Android), iPhone и iPad. Наслаждайтесь!
453 0 13:01, 25-05-2019Книга О том, чего мы не можем знать. Путешествие к рубежам знаний - Маркус Дю Сотой читать онлайн бесплатно без регистрации
Открытие неизбежности такой неудачи вавилонских математиков приписывают одному из последователей Пифагора по имени Гиппас. Он доказал, что длина диагонали грани моей игральной кости в принципе не может быть выражена в виде дроби.
Из теоремы Пифагора о прямоугольном треугольнике следует, что длина гипотенузы равна произведению длины катета на квадратный корень из 2. Но Гиппас смог доказать, что дроби, квадрат которой был бы точно равен 2, не существует. Доказательство использует один из классических приемов, имеющихся в арсенале математика, – доказательство от противного. Гиппас предположил сначала, что существует такая дробь, квадрат которой равен 2. При помощи некоторых ловких преобразований можно показать, что из этой посылки всегда следует противоречивый вывод о существовании числа одновременно четного и нечетного. Единственный способ разрешения этого противоречия состоит в признании ложности исходного предположения: существование дроби, квадрат которой был бы равен 2, невозможно.
Говорят, что его товарищи-пифагорейцы были приведены в смятение вестью о том, что их прекрасные прямоугольные треугольники могут порождать такие негармоничные длины. Члены секты поклялись молчать об этом, но, когда Гиппас обнародовал свои результаты, его, как рассказывают, утопили в море за разглашение факта существования в физическом мире подобной дисгармонии. Однако заткнуть рот этим новым числам, называемым иррациональными, поскольку они не являются отношениями целых чисел[34], было сложнее.

Иррациональные длины в кубе
Мне конечно же кажется, что такая длина существует. Я могу увидеть ее на линейке, приложенной к длинной стороне треугольника. Она равна расстоянию между двумя противоположными углами любой грани моей кости. И тем не менее, сколько бы я ни пытался, я не могу найти закономерность этого бесконечного десятичного числа. Оно начинается с 1,414213562… и продолжается до бесконечности, никогда не повторяясь.
Открытое древними греками существование длин, которые нельзя выразить простым отношением целых чисел, заставило математиков того времени создать новую математику, математику иррациональных чисел, которая позволила бы действительно измерить Вселенную. Иррациональными оказались и другие базовые длины, например π, длина окружности единичного диаметра, – они тоже не были равны отношениям целых чисел. Хотя иррациональность квадратного корня из 2 была известна древним грекам еще 2000 лет назад, только в XVIII в. швейцарский математик Иоганн Генрих Ламберт смог доказать, что число π тоже не может быть выражено в виде отношения двух целых чисел.
Несмотря на мое отвращение к тому, чего мы знать не можем, один из определяющих моментов, возбудивших во мне любовь к математике, наступил, когда я прочитал о числах, которые не могут быть выражены простым отношением целых чисел. В том же году, когда учитель музыки познакомил меня с трубой, лежавшей в шкафу, учитель математики познакомил меня с доказательством иррациональности квадратного корня из 2. Это доказательство содержалось в одной из книг, которые учитель посоветовал мне прочесть, пытаясь разжечь во мне математическое пламя. И это ему удалось. Я был поражен тем, что при помощи конечного логического рассуждения можно доказать, что размер, подобный длине диагонали квадрата, может быть выражен лишь числом с бесконечным количеством знаков. А если записать такую длину невозможно, мне нужно хотя бы понять, почему это число нельзя познать.
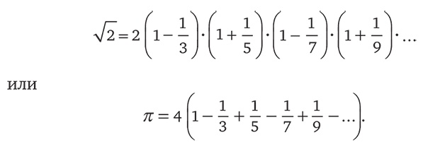
С тех пор как я школьником прочитал это доказательство, я узнал о других методах исследования иррациональных чисел, так что, может быть, эти числа все-таки познаваемы. Существуют бесконечные выражения с регулярной структурой, позволяющие сделать такие числа менее таинственными. Например,

Открытие таких выражений выводит иррациональные числа в область известного. Дробь представляет собой число, которое при десятичной записи повторяется начиная с некоторой точки. Нельзя ли рассматривать такие выражения как структуру, не слишком отличную от повторяющейся группы десятичного представления дроби? Наличие такой повторяющейся группы означает, что существуют два числа, отношение которых дает значение данного числа, тогда как в случае 2 и π я вынужден использовать для выражения этих длин бесконечное число чисел. Вопрос о том, обязательно ли известное должно быть конечным, будет постоянно преследовать меня в течение всего моего путешествия к границам неизвестного.
Разумеется, для любого практического применения таких чисел мне, вероятно, хватит и приближения, выраженного дробью. Большинство инженеров вполне успешно использует вместо числа π его оценку 22/7, которую Архимед получил путем приближения окружности 96-сторонним правильным многоугольником. Собственно говоря, чтобы вычислить длину окружности размером с наблюдаемую часть Вселенной с точностью, сравнимой с размерами атома водорода, достаточно знать всего 39 знаков π. Существует даже формула, позволяющая узнать значение миллионного знака π без вычисления всех предшествующих ему знаков. Не то чтобы мне так уж хотелось их знать. Но такая формула позволяет достичь лишь конечного знания числа, полное познание которого требует бесконечности.
Из открытия таких чисел, по-видимому, следовала бесконечная делимость пространства. Только бесконечное деление пространства может позволить мне точно измерить размеры моего простого кубика. В результате этого открытия мнение Аристотеля о непрерывности материи оставалось на Западе господствующим вплоть до эпохи Возрождения.
Благодаря научным открытиям, сделанным поколением Ньютона и после него, произошел новый разворот в сторону мнения о том, что Вселенная построена из неких элементарных кирпичиков. Пожалуй, первым в аристотелевском видении материи, господствовавшем почти 200 лет, усомнился современник Ньютона Роберт Бойль. В своей книге «Химик-скептик» Бойль попытался опровергнуть идею о том, что материя составлена из четырех «стихий» – огня, земли, воздуха и воды. Такое описание, возможно, хорошо отражает состояния материи, но не ее составляющие.
Взамен он предложил новый список химических элементов. Более того, он высказал утверждение, по тем временам довольно сильно попахивавшее ересью. Он считал, что такие элементы представляют собой миниатюрные тела, или атомы, различающиеся лишь «размером, видом, текстурой и движением». С точки зрения теологии такая идея казалась опасной; Церковь, всегда предпочитавшая воззрения Аристотеля, увидела в ней признаки опасно материалистического видения мира. Кое-кто объявил Бойля Галилеем химической революции.
Прочитали книгу? Предлагаем вам поделится своим впечатлением! Ваш отзыв будет полезен читателям, которые еще только собираются познакомиться с произведением.
Уважаемые читатели, слушатели и просто посетители нашей библиотеки! Просим Вас придерживаться определенных правил при комментировании литературных произведений.
Просьба отказаться от дискриминационных высказываний. Мы защищаем право наших читателей свободно выражать свою точку зрения. Вместе с тем мы не терпим агрессии. На сайте запрещено оставлять комментарий, который содержит унизительные высказывания или призывы к насилию по отношению к отдельным лицам или группам людей на основании их расы, этнического происхождения, вероисповедания, недееспособности, пола, возраста, статуса ветерана, касты или сексуальной ориентации. Просьба отказаться от оскорблений, угроз и запугиваний. Просьба отказаться от нецензурной лексики. Просьба вести себя максимально корректно как по отношению к авторам, так и по отношению к другим читателям и их комментариям.
Надеемся на Ваше понимание и благоразумие. С уважением, администратор My-Books.me.
Оставить комментарий
-
Александра15 январь 09:37
Очень интересная книга! Особенно, если любишь психологию и хочешь понимать себя и других. Обязательно послушаю до конца. Спасибо....
Кригер Борис – Гнев
-
Галина25 май 13:02
Очень уважаю Артема Шейнина, книга замечательная, очень мне близкая по духу.Перечитываю уже второй раз, столько пережитого и не...
Мне повезло вернуться - Артем Шейнин
-
Екатерина11 январь 08:05
Доброе утро. Подскажите пожалуйста как сохранять книги, ставить закладки?...
Подонок - Анастасия Леманн