» » » Психология поведения жертвы - Ирина Малкина-Пых

Психология поведения жертвы - Ирина Малкина-Пых

Книгу Психология поведения жертвы - Ирина Малкина-Пых читаем онлайн бесплатно и без регистрации! Читать онлайн вы можете не только на компьютере, но и на андроид (Android), iPhone и iPad. Наслаждайтесь!

368 0 11:15, 26-05-2019
Психология поведения жертвы - Ирина Малкина-Пых
26 май 2019
Автор: Ирина Малкина-Пых Жанр: Книги / Психология Год публикации: 2006 Возрастные ограничения: (18+) Внимание! Аудиокнига может содержать контент только для совершеннолетних.
0 0

Книга Психология поведения жертвы - Ирина Малкина-Пых читать онлайн бесплатно без регистрации

Современная виктимология, т. е. «учение о жертве» (от лат. viktima – жертва и греч. logos – учение) как специальная социологическая теория осуществляет комплексный анализ феномена жертвы, исходя из теоретических представлений и моделей, первоначально разработанных в сфере иных социальных дисциплин (криминологии, политологии, теории государственного управления, психологии, социальной работы, конфликтологии, социологии отклоняющегося поведения).В справочнике рассмотрены предмет, история и перспективы виктимологии, проанализированы соотношения понятий типов жертв и видов виктимности, а также существующие виды и формы насилия. Особое внимание уделено анализу психологических теорий, которые с различных позиций объясняют формирование повышенной виктимности личности, или «феномена жертвы».В книге также рассматриваются различные ситуации, попадая в которые человек становится жертвой, а именно криминальные преступления и захват заложников; такие специфические виды насилия, как насилие над детьми, семейное насилие, сексуальное насилие (изнасилование), школьное насилие и моббинг (насилие на рабочем месте). Рассмотрена виктимология аддиктивного (зависимого) поведения. Описаны как подходы к индивидуальному консультированию в каждом из указанных случаев, так и групповые формы работы в виде тренингов.Данный справочник представляет собой удобный источник, к которому смогут обратиться практики, исследователи и студенты, для того, чтобы получить всеобъемлющую информацию по техникам и инструментам коррекционной работы как с потенциальными, так и реализованными жертвами различных экстремальных ситуаций.
1 ... 48 49 50 51 52 53 54 55 56 ... 292
Перейти на страницу:

Рис. 2.4. Параллельная транзакция СД – ВР, ВР – СД Первое правило коммуникации. Параллельная транзакция имеет элемент ожидания. Очевидно, что любой разговор через некоторое время подходит к концу, однако до тех пор, пока транзакции остаются параллельными, ничто в процессе коммуникации не прерывает чередования стимулов и реакций.

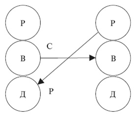
Пересекающиеся транзакции. Пересекающаяся транзакция – это такая транзакция, в которой векторы не параллельны друг другу, или эго-состояние, в которое они направлены, не является источником реакции. Когда транзакция пересекается, существует вероятность того, что человек, получающий пересекающуюся транзакцию, перейдет в эго-состояние, в которое была направлена транзакция. Тогда из нового эго-состояния он, скорее всего, будет направлять параллельные транзакции (рис. 2.5, 2.6).

Психология поведения жертвыРис. 2.5. Пересекающаяся транзакция В – В, Р – Д

Психология поведения жертвы

Рис. 2.6. Пересекающаяся транзакция Р – Д › В – В Второе правило коммуникации говорит: при пересекающейся транзакции происходит разрыв коммуникации, для ее восстановления одному или обоим людям необходимо изменить свое эго-состояние.

Скрытые транзакции. В скрытой транзакции одновременно передаются два сообщения. Одно из них – открытое, или сообщение социального уровня, другое – скрытое, или сообщение психологического уровня. Довольно часто сообщения социального уровня являются взаимодействием Взрослый– Взрослый. Сообщения психологического уровня обычно включают взаимодействия или Родитель-Дитя, или Дитя-Родитель (рис. 2.7).

Психология поведения жертвыРис. 2.7. Двойная скрытая транзакция Социальный уровень: В – В, В – В Психологический уровень: Р – Д, Д – Р

Любая скрытая транзакция, в которой социальное сообщение В-В перекрывает обмен на психологическом уровне между Р и Д (реже – Д-Д или Р-Р), называется двойной транзакцией. Эрик Берн описал еще один вид скрытой транзакции, которую он назвал угловой (рис. 2.8). В этом случае я могу направлять свой стимул на социальном уровне от Взрослого к Взрослому. Однако мое скрытое сообщение исходит из моего Взрослого и обращено к вашему Ребенку. Я надеюсь, что вы примете мое приглашение (стимул) и ответите реакцией из Ребенка.

Психология поведения жертвыРис. 2.8. Угловая скрытая транзакция

Третье правило коммуникации гласит: поведенческий результат скрытой транзакции определяется на психологическом, а не на социальном уровне.

Берн считал: когда люди общаются на двух уровнях, то, что реально происходит, всегда является результатом скрытых сообщений.

«Поглаживания». Поглаживание определяется как единица транзакции. Можно классифицировать поглаживания следующим образом: вербальные или невербальные, позитивные или негативные, условные или безусловные. К невербальным поглаживаниям можно отнести помахивание рукой, кивание головой, пожатие руки или похлопывание друг друга. Большинство транзакций включают в себя как вербальные, так и невербальные взаимодействия. Они могут быть также полностью невербальными.

Позитивные и негативные поглаживания. Позитивное поглаживание – это такое поглаживание, при котором получатель испытывает приятные чувства. Негативное же воспринимается болезненно. Можно думать, что люди всегда стремятся получать позитивные поглаживания и избегать негативных. Но на самом деле любое поглаживание лучше, чем его отсутствие.

Условное поглаживание связано с тем, что человек делает. Безусловное – с тем, что он есть (что он из себя представляет). Согласно теории ТА у каждого человека есть свой предпочтительный коэффициент поглаживания.

Фильтр в поглаживаниях. Когда кто-либо получает поглаживание, которое не входит в его предпочтительный коэффициент поглаживания, этот человек склонен его игнорировать или преуменьшать. Мы говорим, что он игнорирует или отфильтровывает поглаживание. По-видимому, в каждом человеке имеется фильтр, пропускающий те поглаживания, которые соответствуют предпочтительному коэффициенту, и отсеивающий остальные. В свою очередь, коэффициент поглаживания человека поддерживает его представления о себе самом.

Клод Стайнер (Steiner, 1968) предположил, что в детстве родители внушают человеку пять запрещающих правил касательно поглаживаний:

● не давай поглаживаний, когда их надо давать;

● не напрашивайся на поглаживания, когда ты в них нуждаешься;

● не принимай поглаживаний, если ты нуждаешься в них;

● не отвергай поглаживаний, когда ты не нуждаешься в них;

● не гладь себя сам.

Структурирование времени. При встречах людей в группах или парах существует шесть различных способов проводить время. Эрик Берн выделил следующие шесть видов структурирования времени: уход, ритуалы, времяпрепровождение, деятельность, игры, интимность. По мнению Берна, все эти способы удовлетворяют структурный голод человека. Если проанализировать каждый из шести видов структурирования времени, их можно связать с концепциями эго-состояний и поглаживаний. Интенсивность поглаживаний возрастает при движении вниз по списку – от ухода к интимности. Иногда в литературе по ТА высказывают мысль о том, что с продвижением вниз по списку возрастает также и степень психологического риска.

Уход . Когда человек уходит, он может физически оставаться в группе, однако при этом он не взаимодействует с другими членами группы. Во время ухода он может находиться в любом эго-состоянии. При этом провести поведенческий анализ эго-состояния невозможно, так как отсутствуют его внешние признаки.

Ритуалы . Ритуал – это обычная форма социального взаимодействия, которое протекает по заранее спланированной программе. Ритуалы различаются по своей сложности. Самый простой из них – американское приветствие, включающее обмен одним поглаживанием: «Хай!» – «Хай!» На другом полюсе находятся некоторые религиозные поглаживания. Последовательность в них заранее предопределена, а священник и прихожане следуют четким инструкциям во время выполнения ритуала, который может длиться несколько часов. С точки зрения структуры программа ритуалов соответствует эго-состоянию Родителя.

Времяпрепровождение . Времяпрепровождение протекает по накатанному пути, однако его содержание не так жестко запрограммировано по сравнению с ритуалом. Поэтому люди, участвующие во времяпрепровождении, имеют больше возможностей приятно проводить время. В любом времяпрепровождении участники только говорят о чем-то и ничего не предпринимают. В группе они обсуждают свою и другие группы, при этом не проявляя каких-либо намерений что-либо сделать. Чаще всего участники времяпрепровождения обсуждают то, что произошло вчера, а не то, что происходит «здесь и теперь». Типичный пример времяпрепровождения – легкое и поверхностное общение во время торжественных приемов. Времяпрепровождения обычно проигрываются из эго-состояния Родителя или Ребенка. На социальном уровне некоторые типы времяпрепровождения могут казаться времяпрепровождениями Взрослого, однако на самом деле в них участвует Ребенок.

1 ... 48 49 50 51 52 53 54 55 56 ... 292
Перейти на страницу:
  1. Жалоба
Отзывы - 0

Прочитали книгу? Предлагаем вам поделится своим впечатлением! Ваш отзыв будет полезен читателям, которые еще только собираются познакомиться с произведением.


Уважаемые читатели, слушатели и просто посетители нашей библиотеки! Просим Вас придерживаться определенных правил при комментировании литературных произведений.

Просьба отказаться от дискриминационных высказываний. Мы защищаем право наших читателей свободно выражать свою точку зрения. Вместе с тем мы не терпим агрессии. На сайте запрещено оставлять комментарий, который содержит унизительные высказывания или призывы к насилию по отношению к отдельным лицам или группам людей на основании их расы, этнического происхождения, вероисповедания, недееспособности, пола, возраста, статуса ветерана, касты или сексуальной ориентации. Просьба отказаться от оскорблений, угроз и запугиваний. Просьба отказаться от нецензурной лексики. Просьба вести себя максимально корректно как по отношению к авторам, так и по отношению к другим читателям и их комментариям.

Надеемся на Ваше понимание и благоразумие. С уважением, администратор My-Books.me.


Новые отзывы

  1. Александра Александра15 январь 09:37 Очень интересная книга! Особенно, если любишь психологию и хочешь понимать себя и других. Обязательно послушаю до конца. Спасибо.... Кригер Борис – Гнев
  2. Галина Галина25 май 13:02 Очень уважаю Артема Шейнина, книга замечательная, очень мне близкая по духу.Перечитываю уже второй раз, столько пережитого и не... Мне повезло вернуться - Артем Шейнин
  3. Екатерина Екатерина11 январь 08:05 Доброе утро. Подскажите пожалуйста как сохранять книги, ставить закладки?... Подонок - Анастасия Леманн
Все комметарии
Новинки бесплатной онлайн библиотеки