Психология поведения жертвы - Ирина Малкина-Пых
Книгу Психология поведения жертвы - Ирина Малкина-Пых читаем онлайн бесплатно и без регистрации! Читать онлайн вы можете не только на компьютере, но и на андроид (Android), iPhone и iPad. Наслаждайтесь!
368 0 11:15, 26-05-2019Книга Психология поведения жертвы - Ирина Малкина-Пых читать онлайн бесплатно без регистрации
Функциональная модель делит эго-состояния на части, чтобы показать, как мы их используем: структура = «что» = содержание; функция = «как» = процесс.
Функциональная модель более понятна, поэтому рассмотрим ее в первую очередь (рис. 2.2).
Рис. 2.2. Функциональный анализ эго-состояний КР – Контролирующий Родитель; ВР – Воспитывающий Родитель; АД – Адаптивный Ребенок (Дитя); СД – Свободный Ребенок (Дитя); В – Взрослый
Адаптивный Ребенок и Свободный Ребенок. Будучи взрослым, человек часто проигрывает способы поведения, которым следовал в детстве, чтобы оправдать ожидания родителей. Когда он поступает подобным образом, то находится в состоянии Адаптивного Ребенка (часть эго-состояния Ребенка). Описывая способы поведения Адаптивного Ребенка, мы имеем в виду позитивного Адаптивного Ребенка. И наоборот, человек находится в состоянии негативного Адаптивного Ребенка, когда проигрывает детские паттерны поведения, которые уже не соответствуют взрослой ситуации. Иногда в детстве человек поступал наперекор родительским требованиям. В этом случае он не адаптировался к ожиданиям родителей и не бунтовал против них. Он просто вел себя так, как хотел. Когда, уже став взрослым, он находится в эго-состоянии Ребенка, то иногда ведет себя так же свободно, как в детстве. В этом случае он находится в состоянии Свободного Ребенка (другая часть эго-состояния Ребенка). Иногда для описания этой части эго-состояния используется термин Естественный Ребенок.
Позитивный и негативный Свободный Ребенок. Паттерны поведения Свободного Ребенка можно также классифицировать как позитивные и негативные. Человек в состоянии Свободного Ребенка не обращает внимания на родительские правила или ограничения. Иногда эти состояния полезны для взрослого человека и поэтому классифицируются как позитивные. В ряде случаев поведение Свободного Ребенка явно негативно. Таким образом, функциональная модель эго-состояния Ребенка включает Адаптивного и Свободного Ребенка (рис. 2.2).
Контролирующий Родитель и Воспитывающий Родитель . В детстве родители иногда говорили ребенку, что он должен, а чего не должен делать, контролировали или критиковали его. Когда человек поступает подобным образом, повторяя своих родителей, он находится в состоянии Контролирующего (Критикующего) Родителя.
В других случаях родители оберегали ребенка и заботились о нем. Когда человек проигрывает такое поведение своих родителей, он находится в состоянии Воспитывающего (Заботливого) Родителя.
Мы изображаем две части функционального Родителя, разделяя это эго-состояние на две половины, как и в случае с Ребенком (рис. 2.2).Позитивный и негативный Контролирующий и Воспитывающий Родитель. В состоянии позитивного Контролирующего Родителя родительские директивы по отношению к другим людям искренне направлены на их защиту или поддержание их здоровья. Негативный Контролирующий Родитель описывает родительские образцы поведения, игнорирующие другого человека. Позитивный Воспитывающий Родитель заботится и помогает, уважая человека, которому оказывает помощь. Негативный Воспитывающий Родитель оказывает помощь с позиции превосходства, игнорируя другого человека.
Взрослый. В функциональной модели Взрослый обычно не подразделяется на составные части. Любое поведение характеризуется как взрослое, если оно является реакцией на ситуацию «здесь и теперь» с использованием всех ресурсов взрослой личности.
Для того чтобы определить, в каком функциональном эго-состоянии человек находится, необходимо проанализировать его поведение. Поэтому эти функциональные подразделения можно также называть поведенческими описаниями.
Всегда, когда мы говорим о взаимодействии между людьми, нужно использовать функциональную модель. Структурная модель применяется при анализе внутреннего состояния человека.
Эрик Берн приводит четыре способа распознавания эго-состояний: поведенческий диагноз, социальный диагноз, исторический диагноз, феноменологический диагноз.
В поведенческом диагнозе, наблюдая за поведением человека, мы делаем вывод о том, в каком эго-состоянии он находится. При наблюдении можно слышать и видеть: слова, тон голоса, жесты, положение тела, выражение лица.
В основе идеи социального диагноза лежит положение о том, что другие люди обращаются ко мне из эго-состояния, которое дополняет мое эго-состояние. Следовательно, выяснив эго-состояние, из которого они обращаются, я могу узнать об эго-состоянии, в котором нахожусь сам.
В историческом диагнозе мы задаем вопросы о том, каким был человек в детском возрасте. Мы спрашиваем о его родителях и родительских фигурах. Это позволяет сделать двойную проверку наших впечатлений о функциональных эго-состояниях человека, а также узнать структуру эго-состояния. Исторический диагноз имеет дело как с процессом, так и содержанием.
В идеале нужно использовать все четыре вида диагноза. Однако на практике это часто невозможно, и мы диагностируем то, что можем.
Иногда человек принимает содержание эго-состояния своего Ребенка или Родителя за содержание Взрослого. В этом случае считается, что Взрослый контаминирован («загрязнен»). Происходит как будто бы вторжение одного эго-состояния в пределы другого. Контаминация Родителем происходит тогда, когда родительские девизы ошибочно принимают за реальность Взрослого. Когда они принимаются за реальные факты, Берн называет их предрассудками. При контаминации Ребенком взрослое мышление затуманено заблуждениями (детскими представлениями). Это фантазии, принимаемые за реальную действительность.
Двойная контаминация бывает в том случае, когда человек проигрывает какой-то родительский девиз, соглашается с ним, веря, как Ребенок, и ошибочно принимает его за действительность. Например: (Р) «Людям нельзя доверять», в сочетании с: (Д) «Я никому никогда не верю». Или: (Р) «Детей нужно видеть, но не слышать», в сочетании с: (Д) «Чтобы нормально жить, я должен молчать».
Берн считал, что иногда человек «выключает» одно или более из своих эго-состояний, и назвал этот процесс исключением .Транзакции. Транзакция имеет место тогда, когда я предлагаю вам какой-то вид коммуникации (общения), а вы отвечаете мне. Начало коммуникации называется стимулом , ответ – реакцией . Таким образом, транзакцию можно определить как транзакционный стимул плюс транзакционная реакция. Берн считал транзакцию «основной единицей социального взаимодействия». Общение между людьми всегда принимает форму подобных цепочек транзакций.
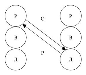
Параллельные (дополняющие) транзакции. Этот вид транзакций определяется следующим образом: параллельная транзакция – это такая транзакция, в которой транзакционные векторы параллельны друг другу, а эго-состояние, на которое они направлены, является источником реакции (рис. 2.3, 2.4).
Рис. 2.3. Параллельная транзакция Р – Д, Д – Р

Прочитали книгу? Предлагаем вам поделится своим впечатлением! Ваш отзыв будет полезен читателям, которые еще только собираются познакомиться с произведением.
Уважаемые читатели, слушатели и просто посетители нашей библиотеки! Просим Вас придерживаться определенных правил при комментировании литературных произведений.
Просьба отказаться от дискриминационных высказываний. Мы защищаем право наших читателей свободно выражать свою точку зрения. Вместе с тем мы не терпим агрессии. На сайте запрещено оставлять комментарий, который содержит унизительные высказывания или призывы к насилию по отношению к отдельным лицам или группам людей на основании их расы, этнического происхождения, вероисповедания, недееспособности, пола, возраста, статуса ветерана, касты или сексуальной ориентации. Просьба отказаться от оскорблений, угроз и запугиваний. Просьба отказаться от нецензурной лексики. Просьба вести себя максимально корректно как по отношению к авторам, так и по отношению к другим читателям и их комментариям.
Надеемся на Ваше понимание и благоразумие. С уважением, администратор My-Books.me.
Оставить комментарий
-
Александра15 январь 09:37
Очень интересная книга! Особенно, если любишь психологию и хочешь понимать себя и других. Обязательно послушаю до конца. Спасибо....
Кригер Борис – Гнев
-
Галина25 май 13:02
Очень уважаю Артема Шейнина, книга замечательная, очень мне близкая по духу.Перечитываю уже второй раз, столько пережитого и не...
Мне повезло вернуться - Артем Шейнин
-
Екатерина11 январь 08:05
Доброе утро. Подскажите пожалуйста как сохранять книги, ставить закладки?...
Подонок - Анастасия Леманн