Искусство управления IT-проектами - Скотт Беркун
Книгу Искусство управления IT-проектами - Скотт Беркун читаем онлайн бесплатно и без регистрации! Читать онлайн вы можете не только на компьютере, но и на андроид (Android), iPhone и iPad. Наслаждайтесь!
422 0 03:10, 14-05-2019Книга Искусство управления IT-проектами - Скотт Беркун читать онлайн бесплатно без регистрации
Использование влияния (атака с флангов)
Вместо того чтобы убедить А, полагаясь лишь на собственное влияние, заручитесь поддержкой других людей из вашей организации, чтобы они озвучили те же доводы и мнения. Тщательно подберите тех, кто имеет наибольшее влияние на А. Если вы чувствуете слабость собственного влияния, возможно, нужно привлечь на помощь сразу нескольких людей.
В военной терминологии это называется атакой с фланга. Вместо удара в лоб, добейтесь преимущества, зайдя на цель со стороны. Тогда А придется считаться не только с вашими доводами, но и с аргументами, поступившими от одной или нескольких других влиятельных личностей. Когда подобные доводы поступят от людей, имеющих равное с А или более высокое положение, отклонить их будет намного сложнее. (Тем не менее будьте осмотрительны, заручаясь мнением людей, которые занимают более высокое положение, чем А, в его отсутствие. Это может быть воспринято как нарушение субординации и попытка подорвать авторитет А. Все зависит от порядков, сложившихся в организации, и от характера самого А.)
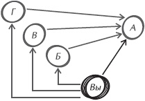
Дополнительно эти действия могут сочетаться с непосредственным запросом (как показано на рис. 16.6.). Другие возможные варианты включают способы использования требуемого вами влияния. Возможно, в присутствии Б, В и Г не возникнет необходимости или даже вообще не придется вести с А разговор по рассматриваемому вопросу. Поскольку вы пользуетесь их благоприятным мнением, можете переговорить с ними и обратиться к А со следующей фразой: «Я думаю, нам нужно исключить данную функцию. Я поговорил с Б, В и Г, и все они согласны со мной по этому вопросу». Конечно же, следует как можно точнее передать все ими сказанное и всегда стараться уладить вопрос в присутствии этих людей (намеренно возвращаясь к предыдущему разговору).

Рис. 16.6. Атака с флангов
Многоступенчатое влияние
Когда вы можете вступить в контакт с нужными людьми, опуститесь на одну ступень вниз по цепочке влияния или по иерархической лестнице. Если В – единственный, к кому может прислушаться А, но вы не в состоянии добиться аудиенции В, найдите людей, имеющих наибольшее влияние на В. Затем вступите в контакт с ними и изложите суть своего вопроса. С этой позиции вы можете двинуться дальше, до тех пор, пока ваше влияние не достигнет нужной цели (рис. 16.7).

Рис. 16.7. Многоступенчатое влияние
Косвенное влияние
В некоторых случаях лучше всего оказать влияние на власть предержащих путем запуска какого-то механизма, оставаясь при этом за сценой. Возможно, А находится двумя и более ступенями выше в вашей организационно-штатной структуре, и он может негативно отреагировать на прямое обращение к нему людей вашего уровня. Или же вы просто не нравитесь А, или он в данный момент на вас за что-то обижен (и вы думаете, что он не сможет отнестись к вам объективно).
В подобной ситуации следует заручиться поддержкой другого человека, чтобы он сделал запрос за вас. В этой роли может выступить ваш непосредственный начальник, коллега по команде или работающий на А человек, которому случается оказывать влияние на А в подобных вопросах.
Наименее изощренным способом решения задачи является проведение переговоров. Поговорите с В и посмотрите, согласится ли он с вами. Если согласится, спросите, не смог бы он поговорить об этом с А (рис. 16.8). Когда он пойдет к А, он не должен вводить А в заблуждение или лгать: он должен привести доводы, исходя из собственных позиций, поскольку он и в самом деле согласился с вами и с правомерностью вашего запроса. Если затем А потребует переговоров с вами или вы сами чуть позже попросите его аудиенции, ваши доводы будут полновеснее за счет влияния, оказанного В.

Рис. 16.8. Косвенное влияние
Совещания
На совещаниях создается довольно сложная политическая ситуация. Любой присутствующий может высказаться и задать вопросы, оказывая тем самым такое политическое влияние на дискуссию, которое может осложнить ситуацию. Если предстоит принимать какие-нибудь сложные решения, то до начала совещания нужно обязательно оценить, кто на нем будет присутствовать. Перед совещанием подумайте о том, какие вопросы на нем, скорее всего, будут подняты и какие варианты ответов захочется услышать каждому из присутствующих. Хорошее знание участников позволит дать неплохую оценку ожидаемому развитию событий и самостоятельно ко всему подготовиться. Если такой возможности нет, нужно навести справки. Попросите влиятельных людей, чье присутствие ожидается, поделиться своим мнением до начала совещания. Изучите заранее их отношение к обсуждаемым проблемам и самые важные вопросы, которые могут быть заданы, а затем либо внесите изменения, если это возможно, либо выстройте линию защиты существующего у вас плана. Если вы сами готовите повестку дня, внесите в нее соответствующие изменения.
Иногда инициатива собрать совещание может быть единственным средством поднять вопрос применения властных полномочий. Электронная почта для решения сложных и острых проблем вряд ли подойдет. Поводом для совещания может стать определение, что Салли нужно одновременно услышать мнение Боба и Майка, дабы убедиться, что к вашим рекомендациям стоит прислушаться. Эффективное проведение совещаний является своего рода искусством (см. главу 10), но в данный момент нужно уяснить, что чем лучше вы подготовитесь к ответам на возможные вопросы и к предстоящим дебатам, тем легче будет вести совещание без эксцессов и в нужном для вас направлении (рис. 16.9).

Рис. 16.9. На совещании может возникнуть непредсказуемая политическая ситуация
Пускай они думают, что это их идея
Изредка бывает так, что на почве чьего-то эгоизма вы можете высадить и прорастить свое собственное зерно. Все происходит примерно так: вы полагаете, что напрямую ваш запрос вряд ли пройдет. Поэтому, как только обнаружится проблема, вы затеваете дискуссию и запрашиваете помощь в поиске решения. Собственных ответов на поставленный вопрос вы не предлагаете, а вместо этого задаете вопросы и расставляете вехи, постепенно подводящие присутствующих к нужному для вас результату. Этот прием, как и всякая подтасовка, легко может привести к неприятным последствиям, тут требуются деликатность и мастерство импровизации, которыми обладают далеко не все. И все же я допускаю, что иногда этот номер вполне может пройти, в особенности с теми начальниками, которые любят считать, что они всегда правы.
Прочитали книгу? Предлагаем вам поделится своим впечатлением! Ваш отзыв будет полезен читателям, которые еще только собираются познакомиться с произведением.
Уважаемые читатели, слушатели и просто посетители нашей библиотеки! Просим Вас придерживаться определенных правил при комментировании литературных произведений.
Просьба отказаться от дискриминационных высказываний. Мы защищаем право наших читателей свободно выражать свою точку зрения. Вместе с тем мы не терпим агрессии. На сайте запрещено оставлять комментарий, который содержит унизительные высказывания или призывы к насилию по отношению к отдельным лицам или группам людей на основании их расы, этнического происхождения, вероисповедания, недееспособности, пола, возраста, статуса ветерана, касты или сексуальной ориентации. Просьба отказаться от оскорблений, угроз и запугиваний. Просьба отказаться от нецензурной лексики. Просьба вести себя максимально корректно как по отношению к авторам, так и по отношению к другим читателям и их комментариям.
Надеемся на Ваше понимание и благоразумие. С уважением, администратор My-Books.me.
Оставить комментарий
-
Александра15 январь 09:37
Очень интересная книга! Особенно, если любишь психологию и хочешь понимать себя и других. Обязательно послушаю до конца. Спасибо....
Кригер Борис – Гнев
-
Галина25 май 13:02
Очень уважаю Артема Шейнина, книга замечательная, очень мне близкая по духу.Перечитываю уже второй раз, столько пережитого и не...
Мне повезло вернуться - Артем Шейнин
-
Екатерина11 январь 08:05
Доброе утро. Подскажите пожалуйста как сохранять книги, ставить закладки?...
Подонок - Анастасия Леманн