Пуговицы Наполеона. Семнадцать молекул, которые изменили мир - Джей Берресон
Книгу Пуговицы Наполеона. Семнадцать молекул, которые изменили мир - Джей Берресон читаем онлайн бесплатно и без регистрации! Читать онлайн вы можете не только на компьютере, но и на андроид (Android), iPhone и iPad. Наслаждайтесь!
253 0 18:36, 25-05-2019Книга Пуговицы Наполеона. Семнадцать молекул, которые изменили мир - Джей Берресон читать онлайн бесплатно без регистрации

Хинное дерево, из коры которого получают хинин. Фотография любезно предоставлена Л. Кейт Уэйд
Быстро стало ясно, что среди почти тридцати алкалоидов, содержащихся в хинной коре, активным ингредиентом является именно хинин. Полностью структура этого вещества была определена только в XX веке, поэтому более ранние попытки синтезировать хинин были обречены на провал. Одну из таких попыток предпринял молодой английский химик Уильям Перкин (мы рассказывали о нем в главе 9), который хотел соединить две молекулы аллилтолуидина с тремя атомами кислорода и получить хинин.

Это происходило в 1856 году. Ученые еще не знали, что, хотя формула хинина (C20H24N2O2) примерно соответствует удвоенной формуле аллилтолуидина (C10H13N), реакция идти не может. Теперь нам известна структура обоих веществ:

Перкин не смог получить хинин, зато ему удалось получить краситель мовеин, приличные деньги, а также сделать первый шаг в развитии такой науки, как синтетическая органическая химия.
По мере того как Промышленная революция в XIX веке способствовала расцвету Великобритании и других стран Европы, стали появляться деньги, которые можно было направить на облагораживание заболоченных территорий. Проведение дренажных работ позволяло превратить бывшие болота в плодородные земли. Исчезали водоемы со стоячей водой, необходимой для размножения комаров, и число случаев заболевания малярией стало сокращаться. Но потребность в хинине не уменьшилась. Напротив, с расширением колониальной экспансии в Азии и Африке для предотвращения малярии требовалось все большее количество препарата. Привычка британцев принимать хинин в целях профилактики превратилась в традиционный вечерний джин с тоником (джин добавляли, чтобы заглушить горький вкус раствора хинина). Британская империя нуждалась в хинине, поскольку во многих важнейших ее колониях (в Индии, Малайзии, Африке и на Карибских островах) малярия была эндемическим заболеванием. Колонии Голландии, Франции, Испании, Португалии, Германии и Бельгии тоже располагались в малярийных районах. Потребность в хинине была огромной.
Поскольку способа получения синтетического хинина пока не было найдено, приходилось искать другие решения. Один возможный путь состоял в выращивании хинного дерева за пределами бассейна Амазонки. Прибыль от продажи хинной коры была настолько высока, что Боливия, Перу, Эквадор и Колумбия, стремясь сохранить свою монополию, запретили экспорт целых растений и их семян. В 1853 году директор ботанического сада на острове Ява голландец Карл Юстус Хасскарл умудрился тайно вывезти из Южной Америки мешок семян Cinchona calisaya. На Яве деревья хорошо росли, но, к огорчению Хасскарла и всех голландцев, этот вид хинного дерева содержал сравнительно мало хинина. Такая же история произошла с англичанами, которые посадили в Индии и на Цейлоне украденные семена Cinchona pubescens. Деревья росли, но в их коре было слишком мало хинина, чтобы его производство могло себя оправдать.
В 1861 году австралиец Чарльз Леджер, который несколько лет занимался добычей коры хинного дерева, уговорил боливийских индейцев продать ему семена того вида хинного дерева, в котором содержалось много хинина. Леджер хотел продать семена англичанам, но правительство Великобритании отклонило его предложение: видимо, англичане больше не верили в успех этого предприятия. А вот правительство Голландии купило фунт семян хинного дерева (вида, который позднее назвали Cinchona ledgeriana) приблизительно за двадцать долларов. Примерно за двести лет до этого британцы сделали удачный выбор, обменяв изоэвгенол из мускатного ореха на Манхэттен, но в этот раз, без сомнения, выиграли голландцы. Эту сделку назвали самой удачной сделкой в истории, поскольку выяснилось, что содержание хинина в коре Cinchona ledgeriana достигает 13 %.
Семена Cinchona ledgeriana посеяли на Яве и стали тщательно ухаживать за подрастающими деревцами. Когда деревья выросли и с них начали собирать кору, экспорт хинной коры из Южной Америки стал постепенно сокращаться. Тот же сценарий повторился пятнадцать лет спустя, когда контрабандный вывоз семян другого южноамериканского дерева, Heveabrasiliensis, положил конец монополии южноамериканских стран в производстве каучука (глава 8).
В начале 30-х годов XX века 95 % хинина получали с плантаций на Яве. Эти плантации приносили голландцам небывалую прибыль. Молекула хинина (или, точнее, монополия в производстве хинина) чуть было не изменила ход Второй мировой войны. В 1940 году Германия оккупировала Голландию и конфисковала европейский запас хинина со складов в Амстердаме. А в 1942 году японцы захватили Яву, и у союзников практически не осталось источников противомалярийного средства. Группа американских ботаников под руководством Раймонда Фосберга из Смитсоновского института была командирована в Восточные Анды за корой хинного дерева, по-прежнему произраставшего в этих местах. Хотя ученым удалось собрать несколько тонн коры, им не попалось ни единого дерева вида Cinchona ledgeriana, с которым так повезло голландцам. Хинин был необходим союзникам, воевавшим в тропиках, поэтому опять чрезвычайно остро встал вопрос о возможности синтеза хинина или какой-либо иной молекулы с противомалярийными свойствами.
Хинин — это производное хинолина. В 30-х годах XX века было синтезировано несколько производных хинолина, которые оказались эффективны в борьбе с острыми приступами малярии. Активный поиск противомалярийных препаратов во время Второй мировой войны показал, что наиболее эффективным синтетическим производным хинолина является 4-аминохинолин, теперь известный как хлорохин. Впервые это вещество было синтезировано немецкими химиками еще до войны.

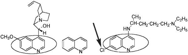
В молекуле хинина (слева) и хлорохина (справа) присутствует хинолиновый фрагмент (обведен окружностью и отдельно показан в центре). Стрелка указывает на атом хлора в молекуле хлорохина.
В молекуле хлорохина есть атом хлора. Таким образом, это еще одно хлорорганическое соединение, оказавшее человечеству чрезвычайно большую услугу. На протяжении сорока с лишним лет хлорохин использовался в качестве безопасного и эффективного противомалярийного препарата, который хорошо переносился большинством пациентов и оказывал слабое токсическое действие по сравнению с другими синтетическими хинолинами. К большому сожалению, в последние десятилетия начали активно распространяться штаммы возбудителя малярии, устойчивые к действию этого препарата. Так как эффективность хлорохина падает, приходится использовать более токсичные препараты, такие как фансидар и мефлохин, которые иногда оказывают серьезное побочное действие.
Прочитали книгу? Предлагаем вам поделится своим впечатлением! Ваш отзыв будет полезен читателям, которые еще только собираются познакомиться с произведением.
Уважаемые читатели, слушатели и просто посетители нашей библиотеки! Просим Вас придерживаться определенных правил при комментировании литературных произведений.
Просьба отказаться от дискриминационных высказываний. Мы защищаем право наших читателей свободно выражать свою точку зрения. Вместе с тем мы не терпим агрессии. На сайте запрещено оставлять комментарий, который содержит унизительные высказывания или призывы к насилию по отношению к отдельным лицам или группам людей на основании их расы, этнического происхождения, вероисповедания, недееспособности, пола, возраста, статуса ветерана, касты или сексуальной ориентации. Просьба отказаться от оскорблений, угроз и запугиваний. Просьба отказаться от нецензурной лексики. Просьба вести себя максимально корректно как по отношению к авторам, так и по отношению к другим читателям и их комментариям.
Надеемся на Ваше понимание и благоразумие. С уважением, администратор My-Books.me.
Оставить комментарий
-
Александра15 январь 09:37
Очень интересная книга! Особенно, если любишь психологию и хочешь понимать себя и других. Обязательно послушаю до конца. Спасибо....
Кригер Борис – Гнев
-
Галина25 май 13:02
Очень уважаю Артема Шейнина, книга замечательная, очень мне близкая по духу.Перечитываю уже второй раз, столько пережитого и не...
Мне повезло вернуться - Артем Шейнин
-
Екатерина11 январь 08:05
Доброе утро. Подскажите пожалуйста как сохранять книги, ставить закладки?...
Подонок - Анастасия Леманн