Пуговицы Наполеона. Семнадцать молекул, которые изменили мир - Джей Берресон
Книгу Пуговицы Наполеона. Семнадцать молекул, которые изменили мир - Джей Берресон читаем онлайн бесплатно и без регистрации! Читать онлайн вы можете не только на компьютере, но и на андроид (Android), iPhone и iPad. Наслаждайтесь!
253 0 18:36, 25-05-2019Книга Пуговицы Наполеона. Семнадцать молекул, которые изменили мир - Джей Берресон читать онлайн бесплатно без регистрации
Во время Вьетнамской войны (1962–1970) над лесами Юго-Восточной Азии были развеяны миллионы литров дефолианта — “агента оранж” (смеси хлорсодержащих гербицидов 2,4-Д и 2,4,5-Т), который уничтожал листву деревьев, скрывавшую партизан.

2,4-Д

2,4,5-Т
Сами эти вещества не очень токсичны, однако 2,4,5-Т содержит примесь побочного продукта, который стал причиной множества случаев пороков развития, рака, заболеваний кожи, нарушений иммунитета и многих других проблем, которые до сих пор преследуют жителей Вьетнама. Химическое название ответственного за эти ужасы вещества — 2,3,7,8-тетрахлордибензодиоксин. Часто его называют просто диоксином, хотя это неверно: диоксины — это целая группа веществ, далеко не все из которых опасны.

2,3,7,8-тетрахлордибензоксидиоксин, или диоксин
Диоксин считается самым ядовитым среди всех созданных человеком ядов, хотя он в миллион раз менее токсичен, чем самый ядовитый природный яд — ботулинический токсин. В 1976 году на химическом предприятии в итальянском городе Севезо произошел взрыв, в результате которого в воздух попало некоторое количество диоксина. Последствия аварии для местного населения и животных были ужасными: хлоракне, пороки развития, рак. Обсуждения в прессе, последовавшие после этой трагедии, напугали людей и убедили их в том, что все диоксины являются чрезвычайно опасными.
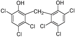
К таким же неожиданным последствиям, как применение дефолианта, привело использование чрезвычайно популярного в 50-х и 60-х годах XX века антисептика гексахлорофена. Это вещество добавляли в мыло, шампуни, лосьоны после бритья, дезодоранты, жидкости для полоскания рта и многие аналогичные продукты.

Гексахлорофен
Гексахлорофен также входил в состав материалов, использовавшихся для производства товаров для детей: подгузников, талька и других гигиенических средств. Исследования, проведенные в 1972 году на лабораторных животных, показали, что гексахлорофен вызывает нарушение работы мозга и нервной системы. В конечном итоге гексахлорофен был запрещен к использованию в составе детских товаров и гигиенических средств, отпускаемых без рецепта. Однако поскольку это вещество чрезвычайно эффективно действует против определенных видов бактерий, его назначают для борьбы с угревой сыпью, а хирурги используют его для обработки рук перед операцией.
Но не все хлорорганические соединения оказались опасными для здоровья человека. Гексахлорофен оказался хорошим антисептиком, а другая маленькая хлорсодержащая молекула произвела революцию в медицине. До середины XIX века хирургические операции осуществлялись без наркоза (правда, иногда в пациентов вливали определенную дозу алкоголя — в надежде, что это ослабит агонию). Говорят, что некоторые хирурги перед операцией тоже слегка выпивали, чтобы превозмочь себя и причинить пациенту неизбежную боль. Однако в октябре 1846 года зубной врач из Бостона Уильям Мортон успешно продемонстрировал применение эфира в качестве средства для наркоза при проведении хирургической операции. Новость о том, что эфир позволяет проводить хирургические операции без боли, распространилась очень быстро, и вскоре начался поиск других веществ, которые можно было бы использовать для анестезии.
Шотландский врач и профессор медицины и акушерства в Университете Эдинбурга Джеймс Юнг Симпсон придумал забавный способ тестирования веществ, являвшихся кандидатами в анестетики. Рассказывают, что он просил принять участие в тестировании гостей, приходивших к нему на ужин. Очевидно, что хлороформ CH3Cl, впервые синтезированный в 1831 году, тестирование прошел. После успешного эксперимента Симпсон появился в столовой в окружении своих гостей, все еще находившихся в слегка заторможенном состоянии. Симпсон не стал терять время и вскоре начал применять хлороформ на своих пациентах.

Хлороформ

Эфир (диэтиловый эфир)
Хлороформ в качестве анестетика имеет ряд преимуществ перед эфиром: он действует быстрее, лучше пахнет и требуется в меньшей концентрации. Кроме того, после наркоза пациенты приходят в себя быстрее и легче. А еще эфир очень легко воспламеняется. Он образует взрывоопасную смесь с кислородом, так что малейшая искра, даже от соударения двух медицинских инструментов, может стать причиной взрыва.
Наркоз под действием хлороформа очень скоро начал применяться в хирургической практике. Даже при том, что некоторые пациенты умирали, риск считался невысоким. В те времена к хирургическому вмешательству прибегали только в крайнем случае, а пациенты нередко умирали от болевого шока, так что уровень смертности от наркоза считался вполне приемлемым. Хирургические операции тогда были короткими (это было важно, поскольку они делались без наркоза), так что пациенты подвергались действию хлороформа недолго. Во время Гражданской войны в Америке хирурги провели в полевых условиях почти семь тысяч операций, при этом, благодаря использованию хлороформа, во время операций умерло менее сорока человек.
Итак, наркоз при хирургических операциях получил повсеместное признание, однако его использование при родах вызывало споры. Медицинской эта проблема была лишь отчасти. Некоторые врачи действительно не были уверены в том, что наркоз не нанесет вреда здоровью ребенка, поскольку под наркозом родовая деятельность женщины ослабевает, и ребенок дышит слабее. Но дело было не только в обеспокоенности состоянием здоровья матери и ребенка. Религия оправдывала боль. В Книге Бытия говорилось: “В муках будешь рожать детей своих”. Буквальная интерпретация этого библейского пассажа означает, что любая попытка ослабить боль при родах противоречит божьей воле. Еще более радикальная позиция по данному вопросу заключалась в том, что боль при родах является расплатой за грех, вероятно, за грех совокупления (вообще говоря, единственный способ зачать ребенка в середине XIX века).
Прочитали книгу? Предлагаем вам поделится своим впечатлением! Ваш отзыв будет полезен читателям, которые еще только собираются познакомиться с произведением.
Уважаемые читатели, слушатели и просто посетители нашей библиотеки! Просим Вас придерживаться определенных правил при комментировании литературных произведений.
Просьба отказаться от дискриминационных высказываний. Мы защищаем право наших читателей свободно выражать свою точку зрения. Вместе с тем мы не терпим агрессии. На сайте запрещено оставлять комментарий, который содержит унизительные высказывания или призывы к насилию по отношению к отдельным лицам или группам людей на основании их расы, этнического происхождения, вероисповедания, недееспособности, пола, возраста, статуса ветерана, касты или сексуальной ориентации. Просьба отказаться от оскорблений, угроз и запугиваний. Просьба отказаться от нецензурной лексики. Просьба вести себя максимально корректно как по отношению к авторам, так и по отношению к другим читателям и их комментариям.
Надеемся на Ваше понимание и благоразумие. С уважением, администратор My-Books.me.
Оставить комментарий
-
Александра15 январь 09:37
Очень интересная книга! Особенно, если любишь психологию и хочешь понимать себя и других. Обязательно послушаю до конца. Спасибо....
Кригер Борис – Гнев
-
Галина25 май 13:02
Очень уважаю Артема Шейнина, книга замечательная, очень мне близкая по духу.Перечитываю уже второй раз, столько пережитого и не...
Мне повезло вернуться - Артем Шейнин
-
Екатерина11 январь 08:05
Доброе утро. Подскажите пожалуйста как сохранять книги, ставить закладки?...
Подонок - Анастасия Леманн