Флот, революция и власть в России. 1917-1921 - Кирилл Назаренко
Книгу Флот, революция и власть в России. 1917-1921 - Кирилл Назаренко читаем онлайн бесплатно и без регистрации! Читать онлайн вы можете не только на компьютере, но и на андроид (Android), iPhone и iPad. Наслаждайтесь!
176 0 01:50, 26-05-2019Книга Флот, революция и власть в России. 1917-1921 - Кирилл Назаренко читать онлайн бесплатно без регистрации
Жалованье и столовые облагались вычетом в размере 1 % «на госпиталь» и 1,5 % на медикаменты, а 6 % доходов вычитали в пенсионный «эмеритальный» капитал, так что общая сумма вычетов составляла 8,5 %. Казенная пенсия была крайне невелика, она составляла от 15 до 30 % выплат, получаемых офицером, служащим на берегу на Балтийском или Черном море. Для тех, кто служил в отдаленных местностях или много плавал, пенсия составляла еще меньший процент доходов, получаемых на службе. Чтобы обеспечить своим служащим большую пенсию, в военном и морском ведомствах были учреждены «эмеритальные кассы», представлявшие собой систему накопительной пенсии. Дополнительным плюсом такой пенсии было то, что офицер, попавший под суд и уволенный «без мундира и пенсии», либо прослуживший недостаточный срок для получения казенной пенсии, сохранял право на эмеритальную пенсию.
Кроме регулярных вычетов, при любом увеличении жалованья, столовых или квартирных, при производстве в следующий чин или назначении на новую должность удерживалась сумма прибавки за первые три месяца службы, а при награждении орденами взыскивался особый сбор. Правда, сборы при награждении много лет не увеличивались, поэтому к началу ХХ в. они были сравнительно невелики: от 15 руб. за орден Св. Станислава 3-й степени до 500 руб. за орден Андрея Первозванного. При награждении орденом Св. Георгия любой степени, георгиевским оружием, орденом Св. Владимира 4-й степени за выслугу лет сбор не взимался. Если офицер находился под арестом, у него вычиталась половина жалованья, столовые не выплачивались вовсе[334].
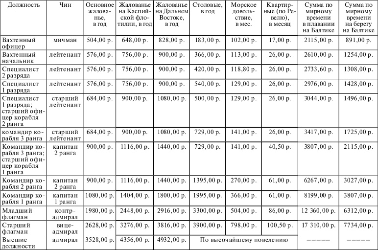
Таблица 1 дает представление о денежном содержании офицеров флота перед Первой мировой войной. Суммы указаны с учетом 8,5 % вычетов из офицерского жалованья, отсюда такие некруглые цифры[335].
Надо учитывать, что сумму, рассчитанную по мирному времени в плавании, офицеры в действительности никогда не получали, так как практически не было случаев, чтобы корабль находился в плавании круглый год. Реальные выплаты находились в интервале между теоретическим максимумом (в плавании) и минимумом – на берегу. Кроме того, холостым офицерам, находившимся в плавании, не полагались квартирные деньги, но в заграничном плавании жалованье как матросам, так и офицерам выдавалось золотом, что было выгодно военнослужащим, так как с учетом разницы курсов превышало обычное жалованье в полтора раза[336]. В. А. Белли вспоминал, что жалованье «платили нам за границей либо английскими, либо французскими деньгами, в зависимости от того, в какой валютной зоне мы находились. Да и русские кредитные билеты, а тем более золотые монеты, охотно обменивались на местные деньги и по хорошему курсу в любом банке или меняльной конторе»[337].
Таблица 1

Как видно, система выплат была направлена на стимулирование желания плавать на кораблях вне территориальных вод России. С одной стороны, это нужно оценить положительно, ведь по распространенному мнению, настоящие моряки вырабатываются в дальних плаваниях. С другой стороны, назначение на корабли, идущие в заграничное плавание, было привилегией, и начальство могло по своему усмотрению поощрить того или иного офицера, отправив его в дальнее плавание.
Таблица 2 иллюстрирует оклады офицеров и чиновников, занимавших должности на берегу (без учета 8,5 % вычета)[338]:
Таблица 2


Можно сделать заключение, что офицеры центрального аппарата морского ведомства получали несколько больше, чем строевые на берегу, но меньше, чем строевые офицеры в плавании. Например, жалованье начальника отдела ГМШ соответствовало жалованью контр-адмирала, служившего на берегу (если учесть, что квартирные в Санкт-Петербурге были в два раза выше, чем в Ревеле). Штаб-офицер низшего оклада получал даже меньше, чем строевой капитан 1 ранга на берегу, но тут надо учитывать, что, как правило, эта должность замещалась офицерами в чине капитана 2 ранга. В общем, нельзя сказать, что штабные офицеры получали несправедливо высокое жалованье по сравнению с корабельными. Единственным материальным преимуществом офицеров, служивших «под шпицем»[339], было то, что они жили в столице, со всеми ее удобствами и удовольствиями. Кроме того, они имели возможность дополнительно зарабатывать преподаванием в школах нижних чинов-специалистов, что приносило неплохой доход. Корабельным офицерам были доступны заграничные плавания, очень ценившиеся одними за повышенные оклады, а другими – за возможность посмотреть мир.
Расходы офицеров оценить довольно сложно. Им полагалось шить обмундирование и питаться за свой счет, в том числе и на корабле. Для организации питания в кают-компании существовал определенный вычет из жалованья, например, в 1906 г. около 30 руб. в месяц[340]. В 1912 г. в Кронштадте холостой офицер мог снять комнату за 25 руб., тратить на питание 55–60 руб. (в том числе один завтрак в столовой Минного офицерского класса стоил 50 коп.), на стирку белья 5–10 руб. в месяц[341]. Учитывая покупательную способность тогдашнего рубля, расходы на питание в 55–60 руб. в месяц, очевидно, позволяли офицеру питаться просто роскошно.
Правда, в мемуарах и публицистике встречаются сетования на тяжелое материальное положение русского офицерства. Вот что пишет А. А. Игнатьев о жизни офицеров 1-й гренадерской дивизии в 1898 г. «Компания рассказывала мне до рассвета про житье-бытье московского гарнизона, о том, как было трудно, особенно женатым, прожить на офицерское жалованье, в девяносто рублей в месяц подпоручику и в сто двадцать – капитану. Да к тому же из этих денег шли вычеты на букеты великой княгине и обязательные обеды, а мундир с дорогим гренадерским шитьем обходился не менее ста рублей. Комнату дешевле чем за двадцать рублей в месяц в Москве найти трудно. Вот холостые и спят в собрании, на письменных столах, там в глубине: диванов-то, кроме одного для дежурного, у нас и нет. Мне тем тяжелее было слушать все эти откровения, что жизнь офицеров первых гвардейских полков не имела с этим ничего общего»[342]. Следует отметить, что под указанными А. А. Игнатьевым размерами жалованья поручика и капитана он понимал все денежные выплаты, получаемые офицерами (жалованье, столовые и квартирные). Действительно, штабс-капитан (командир армейской роты) в Москве получал в месяц около 120 руб., а подпоручик – 75–85 руб. (с учетом денег за караулы, суточных за лагерные сборы и т. д. – до 90 руб.). Что касается цен на комнаты в Москве, то обер-офицеру как раз и причиталось 250 руб. квартирных в год, то есть около 21 руб. в месяц, что позволяло снимать одну комнату, которая ему и полагалась по правилам. Было принято, что площадь этой комнаты, вместе с внутренним коридором составит 7,5 квадратных саженей (34 квадратных метра)[343]. Как правило, такую комнату делили дощатой перегородкой или ширмой на «спальню» и «кабинет». Офицерам в более солидных чинах полагались многокомнатные квартиры. Например, штаб-офицеру полагались три комнаты для себя (119 квадратных метров), а также комната для прислуги и кухни; полковому командиру – пять комнат для семьи (192 квадратных метра), комната для прислуги и отдельная кухня; а полному генералу – девять «барских» комнат (366 квадратных метров) и еще две для слуг и приготовления пищи[344]. Фактически квартирные выплаты отставали от роста арендной платы за жилье, особенно в крупных городах, но нормы жилой площади были велики и даже если офицер не мог снять квартиру, полагавшуюся ему по нормативам, то все равно ему была обеспечена возможность обзавестись приличным жильем. Служебных квартир было немного, но они были роскошными, так как в большинстве своем располагались в зданиях правительственных учреждений, построенных еще в первой половине XIX в. Так, служебная квартира морского министра занимала весь второй этаж бокового фасада здания Главного Адмиралтейства (всего 23 комнаты и 8 «людских покоев», не считая дополнительных помещений).
Прочитали книгу? Предлагаем вам поделится своим впечатлением! Ваш отзыв будет полезен читателям, которые еще только собираются познакомиться с произведением.
Уважаемые читатели, слушатели и просто посетители нашей библиотеки! Просим Вас придерживаться определенных правил при комментировании литературных произведений.
Просьба отказаться от дискриминационных высказываний. Мы защищаем право наших читателей свободно выражать свою точку зрения. Вместе с тем мы не терпим агрессии. На сайте запрещено оставлять комментарий, который содержит унизительные высказывания или призывы к насилию по отношению к отдельным лицам или группам людей на основании их расы, этнического происхождения, вероисповедания, недееспособности, пола, возраста, статуса ветерана, касты или сексуальной ориентации. Просьба отказаться от оскорблений, угроз и запугиваний. Просьба отказаться от нецензурной лексики. Просьба вести себя максимально корректно как по отношению к авторам, так и по отношению к другим читателям и их комментариям.
Надеемся на Ваше понимание и благоразумие. С уважением, администратор My-Books.me.
Оставить комментарий
-
Александра15 январь 09:37
Очень интересная книга! Особенно, если любишь психологию и хочешь понимать себя и других. Обязательно послушаю до конца. Спасибо....
Кригер Борис – Гнев
-
Галина25 май 13:02
Очень уважаю Артема Шейнина, книга замечательная, очень мне близкая по духу.Перечитываю уже второй раз, столько пережитого и не...
Мне повезло вернуться - Артем Шейнин
-
Екатерина11 январь 08:05
Доброе утро. Подскажите пожалуйста как сохранять книги, ставить закладки?...
Подонок - Анастасия Леманн