Карнавал молекул - Михаил Левицкий
Книгу Карнавал молекул - Михаил Левицкий читаем онлайн бесплатно и без регистрации! Читать онлайн вы можете не только на компьютере, но и на андроид (Android), iPhone и iPad. Наслаждайтесь!
445 0 10:00, 04-11-2019Книга Карнавал молекул - Михаил Левицкий читать онлайн бесплатно без регистрации

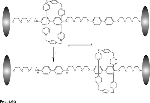
Далее сквозь кольцевую молекулу Б «продернули» линейный полиэфир А и на концах поместили объемистые заглушки из нескольких фенильных групп, чтобы кольцо не соскользнуло с оси (серые эллипсы на рис. 1.60).

Поскольку кольцо имеет положительный заряд, то оно выбирает на оси то место, где находится наиболее сильный донор электронов, – это фрагмент – NH – С6Н4–С6Н4–NH– (доноры электронов – атомы азота). Ситуация меняется, если систему подкислить, т. е. добавить ионы водорода Н+. Эти ионы водорода присоединяются к аминогруппам NH в молекуле А, превращая их в NH2+. В результате этот фрагмент перестает быть донором. Кольцевая молекула в поисках другого донора перемещается к фрагменту – О – С6Н4–С6Н4–О–, донорная способность которого ниже, чем у – NH – С6Н4–С6Н4–NH–, потому-то цикл вначале его «не замечал» и только после подкисления системы «нашел». Если систему вновь сделать нейтральной, цикл вернется на прежнее место. Перемена знака заряда на аминогруппах во фрагменте – NH – С6Н4–С6Н4–NH– возможна не только при изменении кислотности среды. То же самое происходит при воздействии на систему внешнего электрического потенциала, изменяемого с + на –.
Таким образом, получился молекулярный челнок, который занимает два крайних положения (обозначено сдвоенными стрелками на рис. 1.60), в зависимости от внешнего воздействия. По существу, это молекулярный переключатель, фиксирующий два логических положения – 0 или 1, – лежащих в основе всех электронно-вычислительных схем.
Чтобы всю эту систему сделать более технологичной и доступной для производства, Ф. Стоддарт немного изменил состав линейной молекулы, введя определенные группы, помогающие создать на основе полученного соединения ориентированные пленки. Результаты он опубликовал, как можно было ожидать, в журнале Nature. Уже появились сообщения, что на основе этой идеи удалось изготовить первый опытный образец работающего блока памяти, который может хранить 20 кбайт информации на площади в 100 раз меньшей, чем срез человеческого волоса. Можно полагать, что это этап нового века молекулярной электроники. В 2016 г. Ф. Стоддарт (совместно с упомянутым ранее Ж. Саважем) получил Нобелевскую премию.
Соединения типа печати Соломона, по мнению ее создателей, могут быть использованы при изготовлении материалов для бронежилетов, а также как препараты для очистки воды от примесей и загрязнений.
Молекулы-узлы и кольчугоподобные структуры считаются перспективными для создания на их основе «транспортных» оболочек для лекарств длительного действия, а также использования в качестве молекулярных проводников нового типа для микроэлектроники.
Катенаны и ротаксаны перспективны для создания различных подвижных молекулярных устройств – микромоторов, микротележек, что удалось показать в своих работах третьему лауреату Нобелевской премии по химии 2016 г. – химику из Голландии Бернарду Лукасу Феринге. Такие конструкции могут быть использованы при создании компьютеров нового типа.
И все же нельзя не упомянуть об эстетическом удовольствии, которое получает химик, когда удается спланировать и реализовать получение таких молекул.
Наилегчайший путь к самоуважению –
это научиться распознавать
мельчайшие недостатки других.
Речь далее пойдет не о газах, которые легче воздуха (например, водород, гелий, метан и др.), а о соединениях, которые содержат крупные блоки органических соединений и к тому же атомы различных металлов. Поскольку далее мы будем говорить об объемах, попробуем решить несложную задачу.
Вода – помощник в измерениях
Имеется бутылка с плоским дном и сужающимся горлом, она примерно наполовину заполнена водой (рис. 1.61). С помощью линейки (с нанесенной сантиметровой шкалой) необходимо определить объем бутылки. Доливать воду или выливать нельзя. Вычислить площадь донышка бутылки не составит труда, следует измерить диаметр донышка и провести расчет по известной формуле
Если бы это был стеклянный цилиндр, то осталось бы умножить площадь дна на измеренную высоту цилиндра. Трудность состоит в том, что у бутылки сужающееся горлышко. Если помещенный выше заголовок не является подсказкой и не навел вас на мысль, то рассмотрим далее решение.
Измеряем высоту жидкости в бутылке (А) и, умножив эту величину на площадь дна, определяем объем жидкости. Затем переворачиваем бутылку вверх дном (предварительно заткнув пробкой ☺) и измеряем высоту пустой части бутылки от уровня жидкости до дна (Б). Умножив эту высоту на площадь донышка, узнаем объем пустой части бутылки. Сложив полученные величины, узнаем объем всей бутылки.

Кипящие камни
Химики часто используют подсказки природы, но только решают те же самые задачи разнообразнее и масштабнее. В 1756 г. шведский химик Аксель Фредрик Кронштедт, исследуя свойства алюмосиликатного минерала стильбита, обнаружил, что при нагревании он вспенивается и выделяет воду. Позже были найдены другие подобные минералы – их назвали «цеолиты», что в переводе с греческого означает «кипящие камни». Это алюмосиликаты переменного состава, содержащие кристаллизационную воду, их состав описывают общей формулой (МО)x(Al2O3)(SiO2)y(H2O)y, где М – щелочные или щелочно-земельные металлы. Чтобы сделать их пригодными для дальнейшего использования, т. е. активировать, эти вещества нагревают в течение 4–5 часов при температуре 350–450 °С, удаляя из них кристаллизационную воду. В результате образуется структура (рис. 1.62), в которой огромное количество сквозных внутренних каналов диаметром около 4 ангстрем (1 ангстрем = 10–10 м).

Благодаря присутствию катионов щелочных металлов природные цеолиты способны обменивать ионы кальция, содержащиеся в воде, на натрий, поэтому их использовали для уменьшения жесткости воды. Со временем были созданы синтетические аналоги природных цеолитов, на сегодня получены уже сотни различных типов, и их возможности заметно расширились.
Изменяя условия синтеза, химики получили соединения с различными ионами металлов и разнообразными пространственными решетками. В некоторых структурах есть не только каналы, но и полости различного размера – в итоге пустой внутренний объем таких соединений становится очень большим. Синтетические цеолиты оказались эффективными поглотителями различных веществ (адсорбентами): с их помощью, например, проводят глубокую осушку жидкостей и газов. Существующие методы позволяют получать цеолиты с порами определенного размера, которые поглощают только определенные молекулы, – эти системы часто называют молекулярными ситами.
Конец ознакомительного фрагмента Купить полную версию книги
Прочитали книгу? Предлагаем вам поделится своим впечатлением! Ваш отзыв будет полезен читателям, которые еще только собираются познакомиться с произведением.
Уважаемые читатели, слушатели и просто посетители нашей библиотеки! Просим Вас придерживаться определенных правил при комментировании литературных произведений.
Просьба отказаться от дискриминационных высказываний. Мы защищаем право наших читателей свободно выражать свою точку зрения. Вместе с тем мы не терпим агрессии. На сайте запрещено оставлять комментарий, который содержит унизительные высказывания или призывы к насилию по отношению к отдельным лицам или группам людей на основании их расы, этнического происхождения, вероисповедания, недееспособности, пола, возраста, статуса ветерана, касты или сексуальной ориентации. Просьба отказаться от оскорблений, угроз и запугиваний. Просьба отказаться от нецензурной лексики. Просьба вести себя максимально корректно как по отношению к авторам, так и по отношению к другим читателям и их комментариям.
Надеемся на Ваше понимание и благоразумие. С уважением, администратор My-Books.me.
Оставить комментарий
-
Александра15 январь 09:37
Очень интересная книга! Особенно, если любишь психологию и хочешь понимать себя и других. Обязательно послушаю до конца. Спасибо....
Кригер Борис – Гнев
-
Галина25 май 13:02
Очень уважаю Артема Шейнина, книга замечательная, очень мне близкая по духу.Перечитываю уже второй раз, столько пережитого и не...
Мне повезло вернуться - Артем Шейнин
-
Екатерина11 январь 08:05
Доброе утро. Подскажите пожалуйста как сохранять книги, ставить закладки?...
Подонок - Анастасия Леманн