Карнавал молекул - Михаил Левицкий
Книгу Карнавал молекул - Михаил Левицкий читаем онлайн бесплатно и без регистрации! Читать онлайн вы можете не только на компьютере, но и на андроид (Android), iPhone и iPad. Наслаждайтесь!
445 0 10:00, 04-11-2019Книга Карнавал молекул - Михаил Левицкий читать онлайн бесплатно без регистрации
Примечательно, что, как только химики стали включать катионы металлов в структуру получаемых соединений, исчезла необходимость планировать все стадии синтеза, разрабатывать стратегию замыкания колец и т. п. Все проходит в одну стадию, причем металл сам «командует» процессом сборки конструкции.

У каждого металла свой «характер», в чем можно убедиться, если заменить катион меди в показанном выше синтезе катионом серебра. При использовании того же самого диазапирена возникнет совсем иная конструкция – плоские слои, сложенные как вафли (рис. 1.54).
Все дело в том, что, в отличие от катиона Cu+, у катиона Ag+ в координации с азотом участвуют только два атома N и располагаются они на одной прямой.

Цепочки, содержащие катионы Ag+, сформированы с помощью координационных связей (показаны пунктирными линиями). Картина меняется, если катионы Ag+ дополнительно связать обычными связями за счет взаимодействия с карбоновой кислотой. В качестве лиганда, как и в предыдущих случаях, было взято соединение с двумя координирующими атомами N – это несколько измененный бипиридил (рис. 1.55). Кроме того, в систему была введена дикарбоновая кислота, которая с помощью карбонильных групп должна была связывать атомы Ag обычными (некоординационными) связями.

В результате каждый атом Ag оказался соединенным с одной из карбоксильных групп и, кроме того, образовал две координационные связи с двумя атомами N. В качестве промежуточного фрагмента возникает трехлучевой блок (рис. 1.56), который объединяется с подобными блоками, образуя конструкцию, для которой трудно подобрать определение: более всего она похожа на гимнастические брусья. Такие «брусья» взаимно пересекаются по типу катенана, т. е. могут независимо перемещаться в определенных пределах, но не могут быть разъединены без разрыва связей. Для большей наглядности на рисунке пересекающиеся «брусья» отличаются цветом.

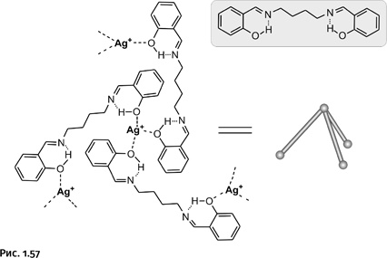
В рассмотренных нами примерах катион Ag+ образует две координационные связи с двумя атомами N. С другими лигандами он может образовывать больше связей. Например, с атомом О фенольного гидроксила – ОН он может образовывать три координационных связи. Для того чтобы атом О мог проявить свою повышенную координирующую способность, необходимо отодвинуть от него атом Н, эту роль берут на себя атомы N, которые образуют с Н так называемые водородные связи (изображены на рис. 1.57 тремя точками). Таким образом, роль атомов N, в отличие от предыдущих случаев, подсобная. На рисунке лиганд с водородными связями показан на фоне серого прямоугольника, он содержит на концах молекулы две НО-группы, присоединенные к бензольным ядрам. Катион Ag+ окружает себя тремя такими группами, а группы НО на противоположных концах лигандов координируют другие катионы Ag+. Образуется трехлучевая структура, которая показана упрощенно: шарики – катионы Ag+, цилиндрические палочки – молекулы лиганда. Конструкция имеет форму пирамиды.

Такие трехлучевые фрагменты соединяются, однако получающаяся конструкция иная, нежели в предыдущем случае. Образуются спаянные между собой деформированные шестиугольники, которые объединяются во взаимно пересекающиеся слои, для наглядности эти слои различаются по цвету. Возникает кольчугоподобная конструкция, которую, пожалуй, можно сравнить с кроватной панцирной сеткой (рис. 1.58).

Можно предположить, что химики совсем не планировали получить столь необычную конструкцию, процессом сборки «командовала» природа, зато ученые были удовлетворены результатом.
Сколько усилий было затрачено при получении этих молекул, сколько разочарований и моментов торжества! Но неужели это только для того, чтобы продемонстрировать возможности химии? Все обстоит немного иначе. Подобные исследования всегда начинаются в результате естественной потребности пытливого ума решить во что бы то ни стало необычную задачу. Оттачивая мастерство в планировании эксперимента и искусство синтеза, ученые получают нужный результат. Тем не менее все рассмотренные структуры интересны не только как результат воображения и фантазии химиков. Новые соединения в большинстве случаев имеют интересные и полезные свойства. Так, оказалось, что катенаны существуют в живой природе. У некоторых биологических объектов – например митохондрий – часть молекул ДНК имеет катенановое строение. Разработанные стратегии и методики синтеза катенанов позволили биохимикам приступить к созданию молекул ДНК с подобной геометрией, чтобы изучать действие различных ферментов (биокатализаторов) на процессы, протекающие в живой клетке.
Все рассмотренные нами катенаноподобные молекулы были, образно говоря, сплетены из «проволоки», представляющей собой одиночные цепочки атомов металлов, углерода и др. В настоящее время обсуждают возможность получения подобных конструкций, где роль «проволоки» или, точнее говоря, «веревки» будут играть жгуты молекул ДНК. Это направление обещает интересные результаты, которые со временем могут быть использованы в биохимии.
Катенаноподобные структуры перспективны и в областях, далеких от биохимии, например в микроэлектронике, причем не в роли некоторых дополнительных усовершенствований, а для решения самых насущных проблем.
Рассмотрим подробнее пример того, как отработанное мастерство в «хитросплетении» молекул может принести реальную пользу. Упоминавшийся ранее Ф. Стоддард (создатель борромеевых колец) сумел решить одну важную задачу. Все дело в том, что современные компьютеры, поражающие нас быстродействием и компактностью, подошли к пределу своих возможностей. На сегодня техника достигла минимального размера ячеек памяти и максимального количества вычисляющих элементов в одном кристалле кремния. Переход от современных устройств к ячейкам памяти, где носителями информации служат отдельные молекулы, позволит увеличить плотность записи информации в десятки раз. Решение было найдено при использовании катенаноподобных структур, точнее ротаксанов. Напомним, что ротаксаны – конструкции, когда на молекулу-гантель насажена кольцевая молекула, причем объемные заглушки на концах гантели не позволяют кольцевой молекуле соскользнуть с оси, – относят к классу катенанов.
В качестве основы была выбрана цепочка полиэфира, в структуру которого были встроены два фрагмента дифенила – С6Н4–С6Н4–, рядом с одним из них находятся две аминогруппы NH, а рядом с другим – два атома О (рис. 1.59, молекула А). Второй компонент представляет собой цикл, собранный из четырех молекул пиридина и двух бензольных колец (рис. 1.59, молекула Б). Самое важное, что циклическая молекула представляет собой четырехзарядный катион (положительный заряд на атомах N).
Прочитали книгу? Предлагаем вам поделится своим впечатлением! Ваш отзыв будет полезен читателям, которые еще только собираются познакомиться с произведением.
Уважаемые читатели, слушатели и просто посетители нашей библиотеки! Просим Вас придерживаться определенных правил при комментировании литературных произведений.
Просьба отказаться от дискриминационных высказываний. Мы защищаем право наших читателей свободно выражать свою точку зрения. Вместе с тем мы не терпим агрессии. На сайте запрещено оставлять комментарий, который содержит унизительные высказывания или призывы к насилию по отношению к отдельным лицам или группам людей на основании их расы, этнического происхождения, вероисповедания, недееспособности, пола, возраста, статуса ветерана, касты или сексуальной ориентации. Просьба отказаться от оскорблений, угроз и запугиваний. Просьба отказаться от нецензурной лексики. Просьба вести себя максимально корректно как по отношению к авторам, так и по отношению к другим читателям и их комментариям.
Надеемся на Ваше понимание и благоразумие. С уважением, администратор My-Books.me.
Оставить комментарий
-
Александра15 январь 09:37
Очень интересная книга! Особенно, если любишь психологию и хочешь понимать себя и других. Обязательно послушаю до конца. Спасибо....
Кригер Борис – Гнев
-
Галина25 май 13:02
Очень уважаю Артема Шейнина, книга замечательная, очень мне близкая по духу.Перечитываю уже второй раз, столько пережитого и не...
Мне повезло вернуться - Артем Шейнин
-
Екатерина11 январь 08:05
Доброе утро. Подскажите пожалуйста как сохранять книги, ставить закладки?...
Подонок - Анастасия Леманн