» » » Лаборатория химических историй. От электрона до молекулярных машин - Михаил Левицкий

Лаборатория химических историй. От электрона до молекулярных машин - Михаил Левицкий

Книгу Лаборатория химических историй. От электрона до молекулярных машин - Михаил Левицкий читаем онлайн бесплатно и без регистрации! Читать онлайн вы можете не только на компьютере, но и на андроид (Android), iPhone и iPad. Наслаждайтесь!

305 0 17:02, 19-04-2022
Лаборатория химических историй. От электрона до молекулярных машин - Михаил Левицкий
19 апрель 2022
Автор: Михаил Левицкий Жанр: Книги / Домашняя Год публикации: 2022 Возрастные ограничения: (18+) Внимание! Аудиокнига может содержать контент только для совершеннолетних.
0 0

Книга Лаборатория химических историй. От электрона до молекулярных машин - Михаил Левицкий читать онлайн бесплатно без регистрации

Что происходит с молекулами в момент химических реакций и почему одни вещества становятся мягкими, а другие твердеют, одни приобретают упругость, а другие – хрупкость? Каким образом вязкая жидкая масса превращается в легкую приятную ткань и почему человек не может жить без полимеров? Какими были люди, совершившие величайшие открытия в химии, и какую роль сыграл элемент случайности в этих открытиях? Как выглядит лаборатория и так ли на самом деле скучна жизнь обычного лаборанта? Отвечая на эти и другие вопросы, Михаил Левицкий показывает, что химия – это весьма увлекательно!
1 2 3 4 5 6 7 8
Перейти на страницу:
Ознакомительный фрагмент

Можно регулировать свойства нейлона – как и других полиамидов. В этих полимерах присутствует заметное количество областей, где участки полимерных молекул расположены упорядоченно, они образуют включения кристаллической фазы, причем одна и та же макромолекула может проходить через кристаллические и аморфные области (рис. 1.17).


Лаборатория химических историй. От электрона до молекулярных машин

Между участками полимерных молекул в кристаллической фазе существуют особые «взаимоотношения». Карбонильные группы в одной молекуле и аминогруппы в соседней молекуле взаимодействуют, образуя так называемые водородные связи >С=О…Н – N<. О подобных связях между НО-группами в целлюлозе рассказывается в разделе «Лидер среди природных полимеров». Именно водородные связи формируют в полиамидах кристаллическую структуру.


Лаборатория химических историй. От электрона до молекулярных машин

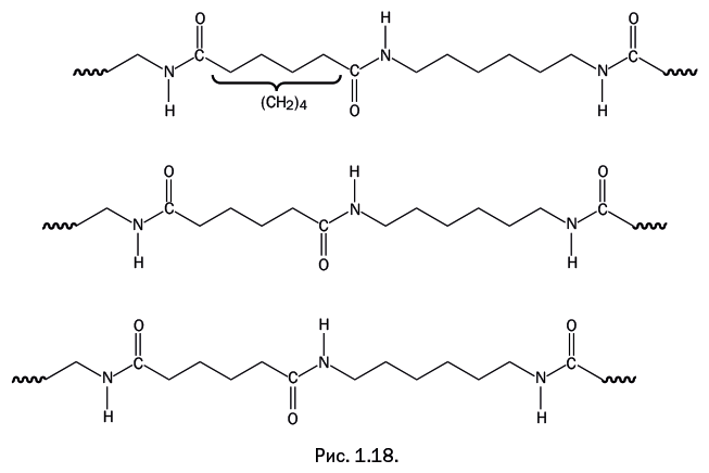
Если между двумя карбонильными группами четное количество атомов углерода – точнее, метиленовых групп -СН2– (на рис. 1.18 показаны четыре такие группы), то амино– и карбонильные группы в соседних цепях располагаются столь удачно, что каждая из них легко дотягивается до соседней, образуя водородную связь. В результате возникает плотная сетка, и температура плавления кристаллических областей достигает 260 оС.


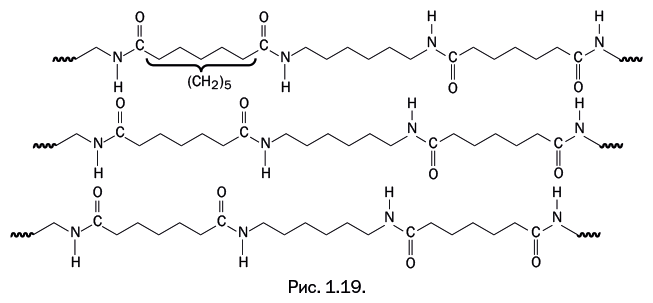
Если в цепочку, связывающую карбонильные группы, добавить еще одну метиленовую группу (рис. 1.19, пять метиленовых групп), то взаиморасположение карбонильных и аминогрупп в соседних цепях оказывается менее удачным: часть из них не «дотягивается до соседей», сетка водородных связей становится более редкой, и температура плавления кристаллических областей снижается.


Лаборатория химических историй. От электрона до молекулярных машин

Добавление еще одной метиленовой группы вновь обусловливает «удачное» расположение >С=О и Н – N< – групп, и температура плавления повышается. Это отчетливо видно на графике, иллюстрирующем зависимость температуры плавления кристаллических областей в полиамидах от расстояния между карбонильными группами: полимеры с четным количеством метиленовых групп плавятся при более высоких температурах (рис. 1.20).


Лаборатория химических историй. От электрона до молекулярных машин

Кристаллическая фаза повышает прочность и понижает пластичность. Таким образом, изменяя состав исходных соединений, можно регулировать свойства полиамидов.

Как обойти патент

Необычайный коммерческий успех нейлона привлек внимание других стран – в первую очередь Германии, где химия была высокоразвитой. Патент на производство нейлона принадлежал американской фирме DuPont, и потому производство этого полимера другой фирмой и тем более в другой стране требовало соответствующих выплат владельцам патента. Германия же очень быстро, буквально в тот же год, когда в США в продаже появились нейлоновые чулки, нашла оригинальное решение. Немецкий химик П. Шлак предложил иной способ получения полиамида, имеющего точно такой же состав, как у нейлона. Исходным соединением был циклический амид капроновой кислоты, называемый капролактамом. Поясним название. Капроновая кислота С5Н11С(=О)ОН получила свое название потому, что содержится в жире козьего молока (лат. capra – коза) и в свободном состоянии имеет характерный «козлиный» запах. Как и любая карбоновая кислота, она может образовывать амид, то есть группировку – С(=О) – NH-. Если амид замкнут в цикл, его называют лактамом. Капролактам и раскрытие его цикла с образованием полиамида, получившего название «капрон», показаны на рис. 1.21. В Германии этот полимер называют «перлон».


Лаборатория химических историй. От электрона до молекулярных машин
Лаборатория химических историй. От электрона до молекулярных машин

Состав капрона (количество всех атомов в элементарном звене полимера) действительно совпадает с составом нейлона, но главное заключается в другом. Если бы Германия предложила иной способ получения нейлона с тем же строением, то запатентовать такой полиамид вряд ли получилось бы. Важно, что строение – то есть порядок расположения атомов – различно. Сравните строение цепи нейлона и капрона (рис. 1.22).

В нейлоне путь от одной группы NH до такой же ближайшей группы проходит исключительно по цепочке из – CH2-групп, а при движении между этими группами в капроне неизбежно «встретится» группа C=O. Иными словами, получается, что фрагменты диамина и дикарбоновой кислоты соединены в нейлоне по принципу «голова к голове» и «хвост к хвосту», а в капроне – «голова к хвосту» (рис. 1.30). Именно это различие в строении позволило Германии организовать независимое производство практически такого же полиамида. Области применения нейлона и капрона совпадают, однако капрон размягчается при более низкой температуре и потому более удобен в переработке.

Самый прочный полиамид

В середине 1960-х гг. фирма DuPont вновь сумела всколыхнуть полимерную химию. Решая задачу разработки волокна с повышенной прочностью, которое могло бы вытеснить стальной корд в автомобильных шинах, химик-исследователь Стефани Кволек заменила в структуре нейлона цепочки из метиленовых групп – СН2– бензольными ядрами, и полученный ароматический полиамид получил название «кевлар» (рис. 1.23).


Лаборатория химических историй. От электрона до молекулярных машин

Кевлар устойчив к воздействию химических веществ, не горит, не размягчается при нагревании и начинает разлагаться только при температуре 430–480 оC. Прядение волокон производят из раствора (обычно в серной кислоте). Волокно из кевлара в семь раз прочнее стального волокна, причем с понижением температуры его прочность увеличивается. Такие волокна добавляют в оптоволоконный кабель, поскольку нить предотвращает его растяжения и разрывы по всей длине кабеля. Ткань из кевлара невозможно порвать, порезать или растянуть, из нее делают перчатки и защитные вставки в спортивную одежду для мотоспорта или сноубординга. Самый известный способ применения – изготовление бронежилетов, и, разумеется, кевлар применяют в той области, для которой он и создавался, – им заменяют тяжелый стальной корд в автомобильных шинах (кордом называют прочные нити, которые встроены в полимерный материал шины для увеличения прочности).


Конец ознакомительного фрагмента Купить полную версию книги
1 2 3 4 5 6 7 8
Перейти на страницу:
  1. Жалоба
Отзывы - 0

Прочитали книгу? Предлагаем вам поделится своим впечатлением! Ваш отзыв будет полезен читателям, которые еще только собираются познакомиться с произведением.


Уважаемые читатели, слушатели и просто посетители нашей библиотеки! Просим Вас придерживаться определенных правил при комментировании литературных произведений.

Просьба отказаться от дискриминационных высказываний. Мы защищаем право наших читателей свободно выражать свою точку зрения. Вместе с тем мы не терпим агрессии. На сайте запрещено оставлять комментарий, который содержит унизительные высказывания или призывы к насилию по отношению к отдельным лицам или группам людей на основании их расы, этнического происхождения, вероисповедания, недееспособности, пола, возраста, статуса ветерана, касты или сексуальной ориентации. Просьба отказаться от оскорблений, угроз и запугиваний. Просьба отказаться от нецензурной лексики. Просьба вести себя максимально корректно как по отношению к авторам, так и по отношению к другим читателям и их комментариям.

Надеемся на Ваше понимание и благоразумие. С уважением, администратор My-Books.me.


Новые отзывы

  1. Александра Александра15 январь 09:37 Очень интересная книга! Особенно, если любишь психологию и хочешь понимать себя и других. Обязательно послушаю до конца. Спасибо.... Кригер Борис – Гнев
  2. Галина Галина25 май 13:02 Очень уважаю Артема Шейнина, книга замечательная, очень мне близкая по духу.Перечитываю уже второй раз, столько пережитого и не... Мне повезло вернуться - Артем Шейнин
  3. Екатерина Екатерина11 январь 08:05 Доброе утро. Подскажите пожалуйста как сохранять книги, ставить закладки?... Подонок - Анастасия Леманн
Все комметарии
Новинки бесплатной онлайн библиотеки