» » » Лаборатория химических историй. От электрона до молекулярных машин - Михаил Левицкий

Лаборатория химических историй. От электрона до молекулярных машин - Михаил Левицкий

Книгу Лаборатория химических историй. От электрона до молекулярных машин - Михаил Левицкий читаем онлайн бесплатно и без регистрации! Читать онлайн вы можете не только на компьютере, но и на андроид (Android), iPhone и iPad. Наслаждайтесь!

288 0 17:02, 19-04-2022
Лаборатория химических историй. От электрона до молекулярных машин - Михаил Левицкий
19 апрель 2022
Автор: Михаил Левицкий Жанр: Книги / Домашняя Год публикации: 2022 Возрастные ограничения: (18+) Внимание! Аудиокнига может содержать контент только для совершеннолетних.
0 0

Книга Лаборатория химических историй. От электрона до молекулярных машин - Михаил Левицкий читать онлайн бесплатно без регистрации

Что происходит с молекулами в момент химических реакций и почему одни вещества становятся мягкими, а другие твердеют, одни приобретают упругость, а другие – хрупкость? Каким образом вязкая жидкая масса превращается в легкую приятную ткань и почему человек не может жить без полимеров? Какими были люди, совершившие величайшие открытия в химии, и какую роль сыграл элемент случайности в этих открытиях? Как выглядит лаборатория и так ли на самом деле скучна жизнь обычного лаборанта? Отвечая на эти и другие вопросы, Михаил Левицкий показывает, что химия – это весьма увлекательно!
1 2 3 4 5 6 7 8
Перейти на страницу:
Ознакомительный фрагмент


Лаборатория химических историй. От электрона до молекулярных машин

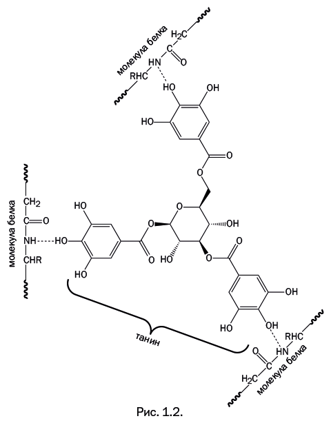
Особо значимым событием стало изобретение немецкого ученого Л. Ф. Кнаппа в 1853 г. В качестве дубителей он предложил соли хрома, которые для тех же целей широко применяют и в наши дни. Механизм дубления приблизительно такой же, что показан на рис. 1.2 с танином – в результате образуются поперечные сшивки между молекулами коллагена.

Отходы кожевенного производства тоже оказались полезны. При умеренном нагревании в водных растворах тройной жгут из полимерных цепей расплетается, образуется желе, сильно набухающее в воде, которое после высушивания становится стекловидной коричневой массой – это всем известный столярный клей. При аналогичной переработке отходов рыбного производства получают желатин, он состоит практически из тех же молекул коллагена. Его используют как пищевую добавку при изготовлении студней и желе. Кроме того, частицы светочувствительного бромида серебра, распределенные в желатине, представляют собой эмульсию, которую наносят на фотопленку и фотобумагу; набухая в воде, желатин позволяет проявителю и закрепителю проникать внутрь светочувствительного слоя. В биологических экспериментах желатин используют как среду для выращивания колоний различных бактерий. По мнению специалистов, желатин – лучший клей при изготовлении деревянных музыкальных инструментов.

Попутно отметим, что технологическая химия имеет свою специфику. Нельзя рассматривать кусочек натуральной кожи как реагент, который можно поместить в колбу и провести реакцию. В современных условиях взаимодействие синтетической и технологической химии складывается следующим образом: химики-синтетики берут в качестве реагента фрагмент молекулы белка, образующего коллаген, и проводят взаимодействие с различными веществами, которые предположительно могут оказаться дубителями – то есть осуществляют сшивание молекул. Часто удается выделить продукт взаимодействия в виде индивидуального соединения и изучить его строение. Иногда химикам удается получить нужный эффект от действия реагентов, которые ранее для этих целей не изучались. По результатам таких работ технологи начинают проводить испытания с образцами натуральной кожи. Результаты обычно представляют в виде таблиц, в которых указывается тип кожи, состав действующего реагента, температура, время выдержки (реагент должен проникнуть внутрь материала), испытания на влагостойкость, прочность и ряд других свойств. Это позволяет выбрать оптимальные реагенты и условия. Для объяснения полученных результатов используются схемы, которые предоставили химики-синтетики. Очень часто такое сотрудничество оказывается плодотворным.

В заключение вспомним, что и в наши дни натуральная кожа остается широко используемым материалом. Возможно, вскоре убой животных, шкуры которых используются для кожевенной промышленности, будет запрещен. Однако есть вероятность, что для изготовления кожаных изделий будут пригодны шкуры животных, выбывших из производства молочных продуктов. Несомненно одно: доведенные до совершенства современные технологии позволяют создавать кожаные изделия исключительной красоты и использовать замечательные возможности этого древнего и всегда популярного материала.

Лидер среди природных полимеров

Речь пойдет о целлюлозе. Лидером она названа потому, что это самый распространенный органический полимер на Земле. Кроме того, для него разработано очень много вариантов химической модификации.

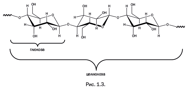
Предметы из целлюлозы постоянно окружают нас в повседневной жизни: 40–60 % древесины состоит из целлюлозы, в хлопковой вате ее содержание – 96–98 %, а ворсинки тополиного пуха – это практически чистая целлюлоза. Линейная полимерная молекула целлюлозы собрана из циклических молекул глюкозы (рис. 1.3), молекулярная масса – от 400 000 до 2 млн, а сама молекула напоминает бусы.


Лаборатория химических историй. От электрона до молекулярных машин

Факт содержания глюкозы в структуре целлюлозы невольно подводит к вопросу: можно ли использовать ее в пищевых целях, поскольку глюкоза – ценный питательный продукт? Вероятно, среди первобытных людей тоже встречались экспериментаторы. Наблюдая, с каким удовольствием пощипывали травоядные животные траву, люди тоже пробовали есть ее, но быстро убеждались, что это не утоляет голод. Все дело в том, что в организме травоядных присутствует фермент (биологический катализатор), который способен расщеплять целлюлозу. В организме человека он отсутствует. И в конце концов люди нашли растения, содержащие глюкозу, крахмал и другие соединения, пригодные в качестве пищевых продуктов, а также научились правильно использовать свойства целлюлозы. Линейное строение ее молекул способствует образованию волокон, которые достаточно прочны. Например, благодаря этим волокнам деревья с тонкими высокими стволами могут противостоять непогоде.

Наиболее распространенное применение волокнистой целлюлозы – изготовление хлопчатобумажных тканей. Хлопковые волокна в силу своих природных свойств идеально подходят для прядения нитей, но хлопок – это культура, которую довольно трудно выращивать: он растет лишь в определенной климатической зоне. Можно ли использовать целлюлозу древесины, чтобы делать из нее волокна и ткани?

Для вытягивания нитей полимер обычно нагревают до размягчения, а затем полученный расплав продавливают сквозь пластину с маленькими отверстиями – фильеру. На выходе из фильеры полимер застывает в виде нитей. Для этого полиэтилен достаточно нагреть до 180–200 оС, а поликапролактам, из которого получают капроновые волокна, нужно нагревать до 250–300 оС. Однако для целлюлозы такой способ неприменим. Известно, что древесина при нагревании не размягчается и не становится текучей – она просто начинает обугливаться. Выражаясь научным языком, температура размягчения целлюлозы выше температуры ее термического разложения.

Есть другой способ получения волокна из полимеров. Отличительная особенность линейных полимеров – способность растворяться в органических растворителях. Таким образом, полимер необходимо растворить, а полученный раствор продавить через фильеру в ванну с осадителем. Осадитель – это жидкость, которая легко смешивается с растворителем, но не растворяет сам полимер. В итоге на выходе из фильеры получаются нити. А далее исследователи столкнулись с очень сложной задачей. Как следует из показанной формулы (рис. 1.4), целлюлоза имеет линейное строение, но в то же время она не растворяется ни в одном из известных растворителей. Причина этого станет понятной, если посмотреть на строение полимерного звена целлюлозы. Каждый циклический фрагмент содержит три гидроксильные группы -ОН. Полярные группы всегда в той или иной степени взаимодействуют, и в данном случае между этими полярными гидроксильными группами соседних полимерных цепей возникает так называемая водородная связь, которая представляет собой электростатическое взаимодействие частичного отрицательного заряда на атоме О и положительного – на атоме Н. На рис. 1.4 эти связи показаны штриховыми линиями.

1 2 3 4 5 6 7 8
Перейти на страницу:
  1. Жалоба
Отзывы - 0

Прочитали книгу? Предлагаем вам поделится своим впечатлением! Ваш отзыв будет полезен читателям, которые еще только собираются познакомиться с произведением.


Уважаемые читатели, слушатели и просто посетители нашей библиотеки! Просим Вас придерживаться определенных правил при комментировании литературных произведений.

Просьба отказаться от дискриминационных высказываний. Мы защищаем право наших читателей свободно выражать свою точку зрения. Вместе с тем мы не терпим агрессии. На сайте запрещено оставлять комментарий, который содержит унизительные высказывания или призывы к насилию по отношению к отдельным лицам или группам людей на основании их расы, этнического происхождения, вероисповедания, недееспособности, пола, возраста, статуса ветерана, касты или сексуальной ориентации. Просьба отказаться от оскорблений, угроз и запугиваний. Просьба отказаться от нецензурной лексики. Просьба вести себя максимально корректно как по отношению к авторам, так и по отношению к другим читателям и их комментариям.

Надеемся на Ваше понимание и благоразумие. С уважением, администратор My-Books.me.


Новые отзывы

  1. Александра Александра15 январь 09:37 Очень интересная книга! Особенно, если любишь психологию и хочешь понимать себя и других. Обязательно послушаю до конца. Спасибо.... Кригер Борис – Гнев
  2. Галина Галина25 май 13:02 Очень уважаю Артема Шейнина, книга замечательная, очень мне близкая по духу.Перечитываю уже второй раз, столько пережитого и не... Мне повезло вернуться - Артем Шейнин
  3. Екатерина Екатерина11 январь 08:05 Доброе утро. Подскажите пожалуйста как сохранять книги, ставить закладки?... Подонок - Анастасия Леманн
Все комметарии
Новинки бесплатной онлайн библиотеки