Искусственный интеллект. Этапы. Угрозы. Стратегии - Ник Бостром
Книгу Искусственный интеллект. Этапы. Угрозы. Стратегии - Ник Бостром читаем онлайн бесплатно и без регистрации! Читать онлайн вы можете не только на компьютере, но и на андроид (Android), iPhone и iPad. Наслаждайтесь!
327 0 21:16, 24-05-2019Книга Искусственный интеллект. Этапы. Угрозы. Стратегии - Ник Бостром читать онлайн бесплатно без регистрации
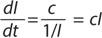
Чтобы проиллюстрировать это, рассмотрим первый сценарий, в котором сопротивляемость постоянна, вследствие чего возможности ИИ растут пропорционально приложенной к нему силе оптимизации. Предположим, что вся сила оптимизации генерируется самой системой и что все интеллектуальные возможности системы направлены на решение задачи совершенствования ее интеллекта, так что
система = I[239] Тогда мы имеем:

Решая это простое дифференциальное уравнение, получаем экспоненциальную функцию:
I = Aet/k
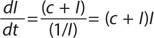
Но постоянство сопротивляемости — особый случай. Сопротивляемость вполне может снизиться в зоне человеческого интеллектуального уровня в силу одного или нескольких факторов, рассмотренных в предыдущем разделе, и оставаться низкой в точке перехода и некоторое время после нее (возможно, до тех пор, пока система в конечном счете не упрется в фундаментальные физические ограничения). Предположим, что приложенная к системе сила оптимизации остается примерно постоянной (то есть
проект +
мир ≈ с), пока система не получает возможность сама существенно менять свой дизайн, что приводит к удвоению ее возможностей через каждые 18 месяцев. (Это примерно соответствует историческим темпам совершенствования систем, если объединить закон Мура и прогресс в области создания ПО[240].) Такие темпы совершенствования, достигнутые за счет действия примерно постоянной силы оптимизации, приводят к тому, что сопротивляемость снижается обратно пропорционально силе системы:

Если сопротивляемость продолжает снижаться по такой гиперболе, то когда ИИ достигнет точки перехода, совокупная сила оптимизации, действующая на систему, удвоится. То есть:

Следующее удвоение произойдет через 7,5 месяца. В течение 17,9 месяца возможности системы вырастут в тысячу раз, превратив ее в быстрый сверхразум (см. рис. 9).

Рис. 9. Одна из простых моделей взрывного развития интеллекта
Эта конкретная траектория роста имеет точку положительной сингулярности в момент t = 18 месяцев. В реальности предположение, что сопротивляемость является константой, перестанет выполняться по мере приближения системы к физическим границам обработки информации, если не раньше.
Эти два сценария приведены лишь в качестве иллюстрации: в зависимости от формы кривой сопротивляемости возможно множество других траекторий. Суть проста: мощная обратная связь, возникающая в районе точки перехода, должна привести к более быстрому взлету, чем в ее отсутствие.
В предыдущем разделе мы видели, что есть факторы, способные привести к резкому снижению сопротивляемости. К таким факторам относятся, например, возможность быстрого расширения аппаратной основы, как только будет создано работающее интеллектуальное ПО; возможность алгоритмических улучшений; возможность сканирования дополнительных экземпляров мозга (при полной эмуляции головного мозга); возможность быстрого усвоения огромного объема контента за счет тщательного обследования интернета (в случае искусственного интеллекта)[241].
Впрочем, нужно сказать, что форму кривой сопротивляемости в каждой конкретной области характеризовать довольно сложно. В частности, неясно, насколько трудно будет повысить качество ПО имитационной модели человеческого мозга или ИИ. Нет также ясности и со степенью сложности расширения аппаратной базы подобных систем.
Хотя сегодня сравнительно легко увеличить вычислительную мощность, доступную небольшому проекту, — просто потратив на компьютеры в тысячу раз больше или подождав несколько лет падения цен на них, — вполне вероятно, что первый машинный интеллект, достигший человеческого уровня, будет создан в рамках крупного проекта с применением дорогих сверхмощных компьютеров, которые не слишком просто масштабировать, и что к этому времени перестанет действовать закон Мура. По этим причинам не следует исключать возможность медленного взлета, хотя вероятность быстрого или умеренного взлета представляется все-таки более высокой[242].
Прочитали книгу? Предлагаем вам поделится своим впечатлением! Ваш отзыв будет полезен читателям, которые еще только собираются познакомиться с произведением.
Уважаемые читатели, слушатели и просто посетители нашей библиотеки! Просим Вас придерживаться определенных правил при комментировании литературных произведений.
Просьба отказаться от дискриминационных высказываний. Мы защищаем право наших читателей свободно выражать свою точку зрения. Вместе с тем мы не терпим агрессии. На сайте запрещено оставлять комментарий, который содержит унизительные высказывания или призывы к насилию по отношению к отдельным лицам или группам людей на основании их расы, этнического происхождения, вероисповедания, недееспособности, пола, возраста, статуса ветерана, касты или сексуальной ориентации. Просьба отказаться от оскорблений, угроз и запугиваний. Просьба отказаться от нецензурной лексики. Просьба вести себя максимально корректно как по отношению к авторам, так и по отношению к другим читателям и их комментариям.
Надеемся на Ваше понимание и благоразумие. С уважением, администратор My-Books.me.
Оставить комментарий
-
Александра15 январь 09:37
Очень интересная книга! Особенно, если любишь психологию и хочешь понимать себя и других. Обязательно послушаю до конца. Спасибо....
Кригер Борис – Гнев
-
Галина25 май 13:02
Очень уважаю Артема Шейнина, книга замечательная, очень мне близкая по духу.Перечитываю уже второй раз, столько пережитого и не...
Мне повезло вернуться - Артем Шейнин
-
Екатерина11 январь 08:05
Доброе утро. Подскажите пожалуйста как сохранять книги, ставить закладки?...
Подонок - Анастасия Леманн