Простая одержимость. Бернхард Риман и величайшая нерешенная проблема в математике - Джон Дербишир
Книгу Простая одержимость. Бернхард Риман и величайшая нерешенная проблема в математике - Джон Дербишир читаем онлайн бесплатно и без регистрации! Читать онлайн вы можете не только на компьютере, но и на андроид (Android), iPhone и iPad. Наслаждайтесь!
231 0 08:43, 26-05-2019Книга Простая одержимость. Бернхард Риман и величайшая нерешенная проблема в математике - Джон Дербишир читать онлайн бесплатно без регистрации

И сумма в левой части, и произведение в правой части простираются до бесконечности. Это, кстати, дает еще одно доказательство того факта, что простые числа никогда не кончаются. Если бы они вдруг кончились, то произведение в правой части содержало бы конечное число множителей, и тем самым мы его немедленно вычислили бы как какое-то число при абсолютно любом аргументе s.[56] При s = 1, однако, левая часть представляет собой гармонический ряд из главы 1, сложение членов которого «уводит нас в бесконечность». Поскольку бесконечность в левой части не может равняться конечному числу в правой, количество простых чисел с необходимостью бесконечно.
V.
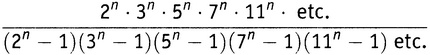
Что же такого — как вы, должно быть, недоумеваете — замечательного, такого неординарного и вызывающего имеется в выражении (7.3), что оно удостоилось столь высокопарного имени?
Окончательно это прояснится только в одной из последующих глав, когда мы на самом деле повернем Золотой Ключ. На данный же момент главное, что должно производить впечатление (на математиков оно, во всяком случае, производит большое впечатление), — это что в левой части выражения (7.3) мы имеем бесконечную сумму, пробегающую все положительные целые числа 1, 2, 3, 5, 6, …, а в правой его части — бесконечное произведение, пробегающее все простые числа 2, 3, 5, 7, 11, 13, ….
Выражение (7.3) — Золотой Ключ — на самом деле называется «эйлерова формула произведения».[57] Она впервые увидела свет, хотя и в несколько иной обработке, в статье Variae observationes circa series infinorum, написанной Леонардом Эйлером и опубликованной Санкт-Петербургской академией в 1737 году. (Заглавие переводится как «Различные наблюдения о бесконечных рядах». Прочитайте еще раз оригинальное латинское название и убедитесь в справедливости моего тезиса из главы 4.viii о легкости, с которой читается Эйлерова латынь.) Точная формулировка утверждения о Золотом Ключе в той работе такова.
Theorema 8
Si ex serie numerorum primorum sequens formetur expressio
erit eius valor aequalis summae huius seriei

Латынь означает: «Если из последовательности простых чисел образовать следующее выражение…, то его значение будет равно сумме ряда…» Опять же, если вы знакомы с десятком основных латинских окончаний (-orum — родительный падеж; -etur — пассивный залог сослагательного наклонения настоящего времени и т.п.), то эйлерова латынь вас не отпугнет.
Делая наброски идей, из которых выросла данная книга, я сначала полез в математические тексты у себя на книжной полке, чтобы найти доказательство Золотого Ключа, подходящее для читателей, не являющихся специалистами. Я остановился на одном, показавшемся мне подходящим, и включил его в книгу. На более поздней стадии работы над книгой мне подумалось, что стоит, пожалуй, проявить авторское тщание, и я отправился в научную библиотеку (в данном случае — замечательное отделение по наукам, промышленности и бизнесу Нью-Йоркской публичной библиотеки в центре Манхэттена) и отыскал оригинальную статью в собрании трудов Эйлера. Данное им доказательство Золотого Ключа занимает десяток строк и куда проще и изящнее, чем доказательство, которое я извлек из своих учебников. Поэтому я заменил первоначально выбранное доказательство эйлеровым. Доказательство, приведенное в разделе iii этой главы, по сути и есть эйлерово доказательство. Я знаю, что это писательский штамп, но он от этого не перестает быть верным: нет ничего лучше, чем обратиться к первоисточнику.
VI.
После того как мы увидели, что же собой представляет Золотой Ключ, пришло время готовиться к тому, чтобы его повернуть. Для этого понадобится вспомнить некоторое количество математики, включая кусочек дифференциального и интегрального исчислений. В оставшейся части данной главы я приведу все, что нужно знать из дифференциального и интегрального исчисления, чтобы понять Гипотезу Римана и оценить ее значение. А затем, обратив необходимость в удобство, я воспользуюсь этими сведениями, чтобы представить улучшенный вариант ТРПЧ — вариант, имеющий более непосредственное отношение к работе Римана.
Обучение дифференциальному и интегральному исчислению традиционно начинается с графика. График, с которого мы начнем, — тот же, что и изображение логарифмической функции в главе 5.iii; теперь он воспроизведен на рисунке 7.1. Представьте себе, что вы — очень маленький (бесконечно малый, если получится представить) гомункулус, взбирающийся вверх по графику логарифмической функции слева направо. Если вы начали свое путешествие из какой-го точки, находящейся недалеко от нуля, то сначала путь вашего восхождения очень крутой и вам требуется скалолазное снаряжение. Но по мере продвижения ландшафт становится более пологим. К тому времени, как вы достигнете аргументов в районе 10, вы можете распрямиться и просто шагать, как на прогулке.
Рисунок 7.1. Функция ln x.
Степень крутизны кривой изменяется от точки к точке. Но в каждой точке наклон кривой имеет определенное численное значение — точно так же, как ваша машина, когда вы разгоняетесь, имеет определенную скорость в каждый данный момент времени — скорость, которую вы фиксируете, бросая взгляд на спидометр. Через мгновение она может слегка измениться, но в каждый определенный момент времени она имеет некоторое определенное значение. Точно так же для любого аргумента в своей области определения (которую составляют все числа, большие нуля) логарифмическая функция имеет некоторый определенный наклон.
Прочитали книгу? Предлагаем вам поделится своим впечатлением! Ваш отзыв будет полезен читателям, которые еще только собираются познакомиться с произведением.
Уважаемые читатели, слушатели и просто посетители нашей библиотеки! Просим Вас придерживаться определенных правил при комментировании литературных произведений.
Просьба отказаться от дискриминационных высказываний. Мы защищаем право наших читателей свободно выражать свою точку зрения. Вместе с тем мы не терпим агрессии. На сайте запрещено оставлять комментарий, который содержит унизительные высказывания или призывы к насилию по отношению к отдельным лицам или группам людей на основании их расы, этнического происхождения, вероисповедания, недееспособности, пола, возраста, статуса ветерана, касты или сексуальной ориентации. Просьба отказаться от оскорблений, угроз и запугиваний. Просьба отказаться от нецензурной лексики. Просьба вести себя максимально корректно как по отношению к авторам, так и по отношению к другим читателям и их комментариям.
Надеемся на Ваше понимание и благоразумие. С уважением, администратор My-Books.me.
Оставить комментарий
-
Александра15 январь 09:37
Очень интересная книга! Особенно, если любишь психологию и хочешь понимать себя и других. Обязательно послушаю до конца. Спасибо....
Кригер Борис – Гнев
-
Галина25 май 13:02
Очень уважаю Артема Шейнина, книга замечательная, очень мне близкая по духу.Перечитываю уже второй раз, столько пережитого и не...
Мне повезло вернуться - Артем Шейнин
-
Екатерина11 январь 08:05
Доброе утро. Подскажите пожалуйста как сохранять книги, ставить закладки?...
Подонок - Анастасия Леманн