Простая одержимость. Бернхард Риман и величайшая нерешенная проблема в математике - Джон Дербишир
Книгу Простая одержимость. Бернхард Риман и величайшая нерешенная проблема в математике - Джон Дербишир читаем онлайн бесплатно и без регистрации! Читать онлайн вы можете не только на компьютере, но и на андроид (Android), iPhone и iPad. Наслаждайтесь!
231 0 08:43, 26-05-2019Книга Простая одержимость. Бернхард Риман и величайшая нерешенная проблема в математике - Джон Дербишир читать онлайн бесплатно без регистрации

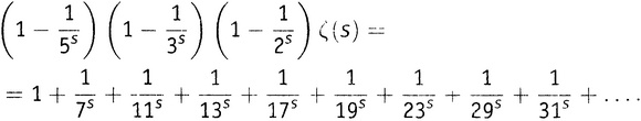
Из бесконечной суммы исчезли все члены, содержащие числа, кратные тройке! Первое выжившее число — это теперь 5.
Умножив теперь обе части полученной формулы на
, будем иметь

А теперь, вычитая это равенство из предыдущего и рассматривая на этот раз
как неделимую конструкцию, видим, что в левую часть одного выражения она входит с множителем 1, а в левую часть другого — с множителем
. Вычитание дает

Все слагаемые с числами, кратными 5, исчезли при вычитании, и первое выжившее число в правой части — это 7.
Замечаете сходство с решетом Эратосфена? Но вы должны заметить и отличие. При работе с исходным решетом мы оставляли сами простые числа в неприкосновенности, удаляя только их кратные — числа, полученные из них умножением на 2, 3, 4, …. Здесь же при вычитании мы устраняем из правой части как само простое число, так и все его кратные.
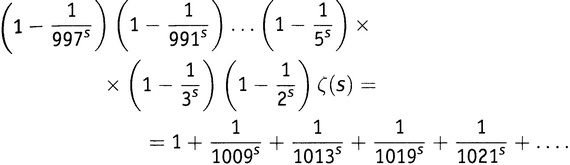
Если продолжать описанную процедуру до достаточно большого простого числа, скажем, до 997, мы получим

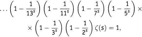
Теперь заметим, что если s — любое число, большее единицы, то правая часть этой формулы совсем ненамного больше чем просто 1. Например, при s = 3 правая часть этой формулы равна 1,00000006731036081534… Поэтому выглядит довольно правдоподобным предположение, что если продолжать указанный процесс до бесконечности, то для любого числа s большего 1 получится следующий результат (7.1):

где в левой части содержится ровно одно выражение в скобках для каждого простого числа, причем эти скобки продолжаются налево без конца. Теперь поделим обе части полученного выражения последовательно на каждую из этих скобок (7.2):
IV.
Это — Золотой Ключ. Чтобы он предстал перед нами во всей красе, давайте немного его почистим. Дроби с дробными знаменателями нравятся мне ничуть не больше, чем вам, а кроме того, есть еще полезные математические приемы, которые позволят нам сэкономить на наборе формул.
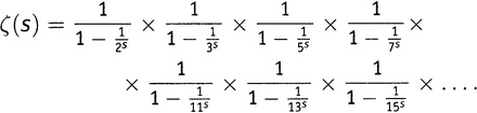
Прежде всего вспомним 5-е правило действий со степенями: оно говорит, что a−N есть 1/aN и a−1 есть 1/a. Поэтому выражение (7.2) можно записать поаккуратнее:
Есть даже еще лучший способ. Вспомним про обозначение ∑, введенное в главе 5.viii. Когда мы складываем компанию слагаемых единообразной структуры, их сумму можно записать коротко, используя знак ∑; у этого имеется эквивалент для умножения, когда сомножители имеют единообразную структуру: тогда используется знак ∏. Это заглавная греческая буква «пи», используемая в этом качестве из-за слова «product» (произведение). Используя знак ∏, выражение (7.2) можно переписать таким образом:

Читается это так: «Дзета от s равна взятому по всем простым числам произведению от величины, обратной единице минус p в степени минус s». Подразумевается, что маленькое p под знаком ∏ означает «по всем простым».[55] Вспоминая определение функции ζ(s) в виде бесконечной суммы, можно подставить эту сумму в левую часть и получить
Золотой Ключ (7.3):
Прочитали книгу? Предлагаем вам поделится своим впечатлением! Ваш отзыв будет полезен читателям, которые еще только собираются познакомиться с произведением.
Уважаемые читатели, слушатели и просто посетители нашей библиотеки! Просим Вас придерживаться определенных правил при комментировании литературных произведений.
Просьба отказаться от дискриминационных высказываний. Мы защищаем право наших читателей свободно выражать свою точку зрения. Вместе с тем мы не терпим агрессии. На сайте запрещено оставлять комментарий, который содержит унизительные высказывания или призывы к насилию по отношению к отдельным лицам или группам людей на основании их расы, этнического происхождения, вероисповедания, недееспособности, пола, возраста, статуса ветерана, касты или сексуальной ориентации. Просьба отказаться от оскорблений, угроз и запугиваний. Просьба отказаться от нецензурной лексики. Просьба вести себя максимально корректно как по отношению к авторам, так и по отношению к другим читателям и их комментариям.
Надеемся на Ваше понимание и благоразумие. С уважением, администратор My-Books.me.
Оставить комментарий
-
Александра15 январь 09:37
Очень интересная книга! Особенно, если любишь психологию и хочешь понимать себя и других. Обязательно послушаю до конца. Спасибо....
Кригер Борис – Гнев
-
Галина25 май 13:02
Очень уважаю Артема Шейнина, книга замечательная, очень мне близкая по духу.Перечитываю уже второй раз, столько пережитого и не...
Мне повезло вернуться - Артем Шейнин
-
Екатерина11 январь 08:05
Доброе утро. Подскажите пожалуйста как сохранять книги, ставить закладки?...
Подонок - Анастасия Леманн