Кому нужна математика? Понятная книга о том, как устроен цифровой мир - Андрей Райгородский
Книгу Кому нужна математика? Понятная книга о том, как устроен цифровой мир - Андрей Райгородский читаем онлайн бесплатно и без регистрации! Читать онлайн вы можете не только на компьютере, но и на андроид (Android), iPhone и iPad. Наслаждайтесь!
234 0 08:43, 26-05-2019Книга Кому нужна математика? Понятная книга о том, как устроен цифровой мир - Андрей Райгородский читать онлайн бесплатно без регистрации
Случай 1. Все три канала связи доступны. Соответствующая вероятность равна

Вероятности перемножаются потому, что каналы независимы друг от друга. Допустим, у нас тысяча мини-сетей и p = 0,6. Тогда примерно в 600 из них будет доступен канал 1–2. Поскольку доступность канала 1–2 никак не влияет на канал 1–3, из нашей 1000 сетей оба канала 1–2 и 1–3 будут доступны в среднем 600 × 0,6 = 360 случаев. Чтобы вычислить среднее количество сетей, в которых доступны все три канала, надо взять долю 0,6 от 360, получаем 360 × 0,6 = 216. В результате вероятность доступности всех трех каналов равна

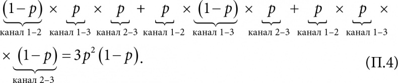
Случай 2. Два канала связи доступны и один недоступен. Недоступным может быть любой из трех каналов связи, поэтому случай 2 можно получить тремя разными способами. В результате соответствующая вероятность равна

Общая вероятность сохранения связи в сети теперь равна
(П.3) + (П.4) = p³ + 3p² (1 − p) = 3p² −2p³.
Потеря связи хотя бы с одним из компьютеров тоже происходит в двух случаях, которые мы назовем случай 3 и случай 4.
Случай 3. Два канала связи недоступны и один доступен. Заметьте, что этот случай совершенно аналогичен случаю 2, только р и (1 − p) поменялись местами. Соответствующая вероятность равна
3 (p − 1)² p. (П.5)
Случай 4. Все три канала связи недоступны. Этот случай опять же аналогичен случаю 1, если поменять местами р и (1 − p). Соответствующая вероятность равна
(1 − p)³. (П.6)
Вероятность, что хотя бы один компьютер окажется отрезанным от сети, равна
(П.5) + (П.6) = 3(1 − p)² − 2(1 − p)³. (П.7)
Естественно, если просуммировать все вероятности, то получится единица. Это очень красиво следует из бинома Ньютона третьей степени:
(П.3) + (П.4) + (П.5) + (П.6) = p³ + 3p² (1 − p) + 3(p − 1)² p + (1 − p)³ = (p + (1 − p))³ = 1³ = 1
Если провести еще немножко алгебраических манипуляций, то можно переписать вероятность (П.7) по-другому:
3(1 − p)² − 2(1 − p)³ = (1 − p)² (3 − 2(1 − p)) = (1 − p)² (1 + 2p) = (1 − p) ((1 − p) (1 + 2p)) = (1 − p) (1 + p − 2p²)
Легко проверить, что если p > ½, то вторая скобка меньше единицы. Получается, что если p > ½, то вероятность потери связи в мини-сети меньше, чем вероятность потери связи в отдельно взятом канале, которая равна (1 − p).
Кроме того, выражение (П.7) всегда меньше, чем 3 (1 − p)². Поэтому если вероятность неисправности канала (1 − p) уменьшается, то вероятность потери связи в сети уменьшается еще быстрее. Когда вероятность (1 − p) очень мала, то термином −2 (1 − p)³ можно пренебречь. Тогда вероятность потери связи в сети приблизительно равна 3 (1 − p)². Если (1 − p) = 0,01 (то есть 1 %), то эта формула верна до третьего знака после запятой, что мы и видим в последней строчке табл. 4.1.
2. Теорема Эрдеша – Реньи о фазовом переходе
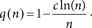
Теорема (Эрдеша – Реньи). Допустим, граф состоит из п вершин. Предположим, что ребра независимы друг от друга и любые две вершины соединены ребром с вероятностью р(п). Обозначим вероятность помехи через q(n) = 1 − p(n) и предположим, что

(i) Если c > 1, то вероятность связности стремится к единице при п, стремящемся к бесконечности, причем скорость стремления к единице тем выше, чем больше число с. Например, при c ≥ 3 скорость стремления к единице не ниже, чем у выражения 1 − 1/n, как в разделе «Результат Эрдеша – Реньи» в главе 4.
(ii) Если c < 1, то вероятность связности стремится к нулю при п, стремящемся к бесконечности, причем скорость стремления к нулю тем выше, чем меньше число с.
(iii) При c = 1 вероятность связности стремится не к нулю и не к единице, а к числу e−1 ≈ 0,3679, где e = 2,71828… – основание натурального логарифма.
3. Идея доказательства результата Эрдеша – Реньи
Допустим, граф состоит из n вершин. Предположим, что ребра независимы друг от друга и любые две вершины соединены ребром с вероятностью р(п). Обозначим вероятность помехи через q(n) = 1 − p(n). Рассмотрим одну вершину. Вероятность того, что она не соединена ребром ни с одной из оставшихся n − 1 вершин, равна
(q(n))n−1.
Поскольку всего вершин п, то в среднем число вершин, которые не соединены ребрами ни с одной другой вершиной, составит
n(q(n))n−1.
Возьмем, как и прежде,

Прочитали книгу? Предлагаем вам поделится своим впечатлением! Ваш отзыв будет полезен читателям, которые еще только собираются познакомиться с произведением.
Уважаемые читатели, слушатели и просто посетители нашей библиотеки! Просим Вас придерживаться определенных правил при комментировании литературных произведений.
Просьба отказаться от дискриминационных высказываний. Мы защищаем право наших читателей свободно выражать свою точку зрения. Вместе с тем мы не терпим агрессии. На сайте запрещено оставлять комментарий, который содержит унизительные высказывания или призывы к насилию по отношению к отдельным лицам или группам людей на основании их расы, этнического происхождения, вероисповедания, недееспособности, пола, возраста, статуса ветерана, касты или сексуальной ориентации. Просьба отказаться от оскорблений, угроз и запугиваний. Просьба отказаться от нецензурной лексики. Просьба вести себя максимально корректно как по отношению к авторам, так и по отношению к другим читателям и их комментариям.
Надеемся на Ваше понимание и благоразумие. С уважением, администратор My-Books.me.
Оставить комментарий
-
Александра15 январь 09:37
Очень интересная книга! Особенно, если любишь психологию и хочешь понимать себя и других. Обязательно послушаю до конца. Спасибо....
Кригер Борис – Гнев
-
Галина25 май 13:02
Очень уважаю Артема Шейнина, книга замечательная, очень мне близкая по духу.Перечитываю уже второй раз, столько пережитого и не...
Мне повезло вернуться - Артем Шейнин
-
Екатерина11 январь 08:05
Доброе утро. Подскажите пожалуйста как сохранять книги, ставить закладки?...
Подонок - Анастасия Леманн