Теория ограничений Голдратта. Системный подход к непрерывному совершенствованию - Уильям Детмер
Книгу Теория ограничений Голдратта. Системный подход к непрерывному совершенствованию - Уильям Детмер читаем онлайн бесплатно и без регистрации! Читать онлайн вы можете не только на компьютере, но и на андроид (Android), iPhone и iPad. Наслаждайтесь!
221 0 11:15, 21-05-2019Книга Теория ограничений Голдратта. Системный подход к непрерывному совершенствованию - Уильям Детмер читать онлайн бесплатно без регистрации
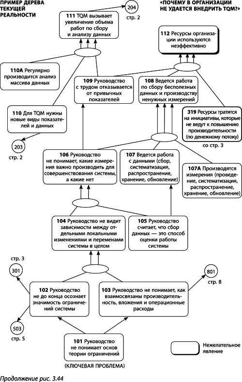
● сотрудники полагают, что TQM вызовет увеличение объемов бумажной работы (204);
● считается, что ощутимых и масштабных результатов придется ждать долго (213);
● многие сотрудники противятся переменам, необходимым для успешной работы TQM (607);
● не достигается цель организации (611);
● совершенствуя качество, организация тратит больше, чем получает (711);
● руководство не демонстрирует приверженности принципам TQM (702);
● одни и те же проблемы возникают вновь и вновь (704);
● сотрудники разочаровываются в TQM как в подходе (811);
● сотрудники поддерживают принципы TQM только на словах (810);
● для многих личные планы важнее интересов организации (903).













Как встающие перед нами вопросы, так и предлагаемые решения трудно поделить на хорошие и плохие. Остерегайтесь решений, предполагающих, что в выигрыше окажется только одна из сторон. Как правило, существование двух противоборствующих мнений обусловлено тем, что ни один из противников не располагает полной информацией.

Скрытые конфликты являются источником большинства беспокоящих нас вопросов. Именно скрытость конфликтов сводит на нет все попытки изменить существующую ситуацию, поэтому поиск и разрешение внутренних конфликтов, основы всех бед, – не пустая трата времени.
Существующий внутренний конфликт обычно малозаметен, а его истинные причины туманны. Встречаются сложные случаи, когда противостояние скрыто очень глубоко и никем не осознается.
Итак, как же понять, что в нашем деле есть скрытый конфликт? Как выявить противостояние, мешающее быстро и эффективно решить проблему? Голдратт предложил оригинальный способ поиска и разрешения конфликтов, при котором удается учесть интересы всех сторон. Речь идет о диаграмме разрешения конфликтов (ДРК).
Иногда ДРК называют диаграммой «Грозовая туча», так как она помогает развеять конфликт так же, как рассеивают тучи над большими городами в дни проведения торжеств. Это логическое построение помогает находить необходимые условия или составные части внутреннего конфликта, вырабатывать методы разрешения существующего противостояния. В диаграмму включаются: первостепенная задача системы, необходимые условия, при которых задача может быть решена, а также методы обеспечения условий, необходимых для выполнения задачи (рис. 4.1). ДРК позволяет обнаружить исходные ошибочные предположения, лежащие в основе конфликта, которые необходимо оспорить. ДРК является механизмом генерации идей – предложений, которые впоследствии могут стать решением сложнейшей проблемы.

Диаграмма разрешения конфликтов создается, чтобы:
● удостовериться в существовании конфликта;
● найти скрытый конфликт, лежащий в основе ключевой проблемы;
● разрешить существующий конфликт;
Прочитали книгу? Предлагаем вам поделится своим впечатлением! Ваш отзыв будет полезен читателям, которые еще только собираются познакомиться с произведением.
Уважаемые читатели, слушатели и просто посетители нашей библиотеки! Просим Вас придерживаться определенных правил при комментировании литературных произведений.
Просьба отказаться от дискриминационных высказываний. Мы защищаем право наших читателей свободно выражать свою точку зрения. Вместе с тем мы не терпим агрессии. На сайте запрещено оставлять комментарий, который содержит унизительные высказывания или призывы к насилию по отношению к отдельным лицам или группам людей на основании их расы, этнического происхождения, вероисповедания, недееспособности, пола, возраста, статуса ветерана, касты или сексуальной ориентации. Просьба отказаться от оскорблений, угроз и запугиваний. Просьба отказаться от нецензурной лексики. Просьба вести себя максимально корректно как по отношению к авторам, так и по отношению к другим читателям и их комментариям.
Надеемся на Ваше понимание и благоразумие. С уважением, администратор My-Books.me.
Оставить комментарий
-
Александра15 январь 09:37
Очень интересная книга! Особенно, если любишь психологию и хочешь понимать себя и других. Обязательно послушаю до конца. Спасибо....
Кригер Борис – Гнев
-
Галина25 май 13:02
Очень уважаю Артема Шейнина, книга замечательная, очень мне близкая по духу.Перечитываю уже второй раз, столько пережитого и не...
Мне повезло вернуться - Артем Шейнин
-
Екатерина11 январь 08:05
Доброе утро. Подскажите пожалуйста как сохранять книги, ставить закладки?...
Подонок - Анастасия Леманн