Насосы интуиции и другие инструменты мышления - Дэниел К. Деннетт
Книгу Насосы интуиции и другие инструменты мышления - Дэниел К. Деннетт читаем онлайн бесплатно и без регистрации! Читать онлайн вы можете не только на компьютере, но и на андроид (Android), iPhone и iPad. Наслаждайтесь!
502 0 09:01, 12-12-2019Книга Насосы интуиции и другие инструменты мышления - Дэниел К. Деннетт читать онлайн бесплатно без регистрации
программа 2: MOVE [4,5]

Вот граф потока:

Обратите внимание, что первый цикл этой программы очищает регистр 5, так что, каким бы ни было его содержимое в самом начале, оно никак не повлияет на то, что окажется в регистре 5 ко второму циклу (циклу сложения, в ходе которого содержимое регистра 4 прибавляется к 0 в регистре 5). Этот начальный шаг называется обнулением регистра и представляет собой весьма употребительную стандартную операцию. Вы постоянно будете использовать ее, чтобы готовить регистры к использованию.
Третья простая программа копирует содержимое одного регистра в другой регистр, оставляя изначальное содержимое нетронутым. Изучите граф потока, а затем саму программу:

программа 3: COPY [1,3]

Это явно не самый очевидный способ копирования, поскольку мы осуществляем операцию, сначала перемещая содержимое регистра 1 в регистр 3, затем делая копию в регистре 4 и, наконец, перемещая эту копию обратно в регистр 1. Но это работает. Всегда. Каким бы ни было содержимое регистров 1, 3 и 4 в самом начале, когда программа остановится, содержимое регистра 1 останется на месте, а копия этого содержимого – в регистре 3.
Если принцип работы этой программы вам не очевиден, возьмите несколько чашек, чтобы сделать регистры (подпишите номер каждой чашки, ее адрес), и горстку монеток (или бобов) и “вручную смоделируйте” весь процесс. Положите по несколько монеток в каждый из регистров и обратите внимание, сколько именно монеток вы положили в регистр 1 и регистр 3. Если вы будете в точности следовать программе, когда вы закончите, количество монеток в регистре 1 будет таким же, каким оно было изначально, и такое же количество монеток будет лежать в регистре 3. Очень важно, чтобы вы усвоили базовый принцип работы регистровой машины и вам не пришлось больше ломать над ним голову, поскольку мы собираемся использовать этот новый навык в дальнейшем. Выделите несколько минут и станьте регистровой машиной (как актер может стать Гамлетом).
Я замечаю, что некоторые мои студенты совершают простую ошибку: им кажется, что при декрементировании регистра монетку, которую они только вынули из регистра n, нужно положить в какой-нибудь другой регистр. Нет. Декрементированные монетки просто возвращаются в общую кучу, в ваш “бесконечный” запас монеток для использования в этих простых операциях сложения и вычитания.
Научившись перемещать, копировать и обнулять содержимое регистров, мы можем улучшить нашу программу сложения. Программа 1 помещает верный ответ на задачу на сложение в регистр 2, но в процессе уничтожает изначальное содержимое регистров 1 и 2. Возможно, нам нужна более сложная программа сложения, которая сохраняет эти значения для последующего использования, помещая ответ в другой регистр. Попробуем прибавить содержимое регистра 1 к содержимому регистра 2, поместить ответ в регистр 3 и оставить содержимое регистров 1 и 2 нетронутым.
Вот граф потока, показывающий, как этого добиться:

Проанализируем циклы, чтобы понять, что делает каждый из них. Сначала мы обнуляем регистр ответа, регистр 3, а затем обнуляем дополнительный регистр (регистр 4), который станет временным хранилищем, или буфером. После этого мы копируем содержимое регистра 1 в регистры 3 и 4 и перемещаем это содержимое обратно из буфера в регистр 1, восстанавливая его (и в процессе обнуляя регистр 4, чтобы снова использовать его в качестве буфера). Затем мы повторяем эту операцию с регистром 2, фактически прибавляя содержимое регистра 2 к содержимому, которое мы уже переместили в регистр 3. Когда программа останавливается, буфер 4 снова оказывается пуст, ответ находится в регистре 3, а два числа, которые мы складывали, – на своих изначальных местах, в регистрах 1 и 2.
Вот написанная на РПА 13-шаговая программа, которая переводит всю информацию с графа потока на язык, понятный блоку обработки данных:
программа 4: ADD [1,2,3] без разрушения

Я не буду советовать вам вручную смоделировать эту программу, используя чашки и монетки. Жизнь коротка, поэтому, когда вы усвоите все базовые процессы, вам можно будет пользоваться вспомогательным устройством RodRego, регистровой машиной, которую можно скачать по ссылке http://sites.tufts.edu/rodrego/.
Есть версии RodRego для Windows и для Mac. Мы разработали этот инструмент мышления более двадцати лет назад в Мастерской учебных программ, и с тех пор сотни студентов и других заинтересованных людей воспользовались им, чтобы поднатореть в программировании регистровых машин. Вводя программы на РПА, вы можете наблюдать за их исполнением, выбирая режим с цифрами или бобами в регистрах. На той же странице представлена анимированная PowerPoint-презентация, в которой показан путь блока обработки данных по графу потока при совершении, к примеру, операции сложения. Эта анимация позволяет увидеть, как инструкции РПА соотносятся с кружками графа потока.

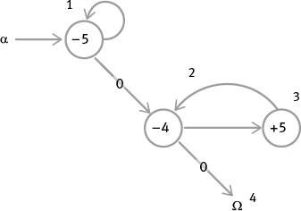
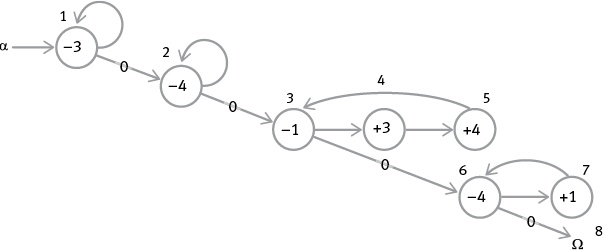
Теперь обратимся к вычитанию. Вот первый фрагмент графа потока для вычитания содержимого регистра 2 из содержимого регистра 1 и помещения ответа в регистр 4. Можете сказать, что с ним не так?

Такая программа сработает, только если содержимое регистра 1 больше содержимого регистра 2. Но что если это не так? Регистр 1 “обнулится” на середине цикла вычитания, когда вычитание еще не будет закончено. И что тогда? Мы не можем просто велеть компьютеру завершить выполнение программы, поскольку ответ в регистре 4 окажется неверным (0). Мы не можем использовать это обнуление, чтобы начать новый процесс, который сначала возвращается на половину цикла и отменяет временное декрементирование регистра 2. На этом этапе содержимое регистра 2 (а не регистра 1) даст нам верный ответ, если мы интерпретируем его в качестве отрицательного числа, так что вы можете просто переместить это содержимое в регистр 4 (который уже обнулен) и где-нибудь обозначить, что число в ответе отрицательное. Логично зарезервировать для этой задачи отдельный регистр – скажем, регистр 3. В самом начале его необходимо обнулить вместе с регистром 4, а затем поставить в регистре 3 “метку”, определяющую, положительное число в ответе или отрицательное, при условии что 0 означает +, а 1 означает –. Ниже представлен граф потока с комментариями, объясняющими, что происходит на каждом шаге цикла. (Вы можете добавлять такие комментарии в свои программы РПА, ограничивая их знаками #. Они предназначены для вас и других людей; RodRego их просто проигнорирует.)
Прочитали книгу? Предлагаем вам поделится своим впечатлением! Ваш отзыв будет полезен читателям, которые еще только собираются познакомиться с произведением.
Уважаемые читатели, слушатели и просто посетители нашей библиотеки! Просим Вас придерживаться определенных правил при комментировании литературных произведений.
Просьба отказаться от дискриминационных высказываний. Мы защищаем право наших читателей свободно выражать свою точку зрения. Вместе с тем мы не терпим агрессии. На сайте запрещено оставлять комментарий, который содержит унизительные высказывания или призывы к насилию по отношению к отдельным лицам или группам людей на основании их расы, этнического происхождения, вероисповедания, недееспособности, пола, возраста, статуса ветерана, касты или сексуальной ориентации. Просьба отказаться от оскорблений, угроз и запугиваний. Просьба отказаться от нецензурной лексики. Просьба вести себя максимально корректно как по отношению к авторам, так и по отношению к другим читателям и их комментариям.
Надеемся на Ваше понимание и благоразумие. С уважением, администратор My-Books.me.
Оставить комментарий
-
Александра15 январь 09:37
Очень интересная книга! Особенно, если любишь психологию и хочешь понимать себя и других. Обязательно послушаю до конца. Спасибо....
Кригер Борис – Гнев
-
Галина25 май 13:02
Очень уважаю Артема Шейнина, книга замечательная, очень мне близкая по духу.Перечитываю уже второй раз, столько пережитого и не...
Мне повезло вернуться - Артем Шейнин
-
Екатерина11 январь 08:05
Доброе утро. Подскажите пожалуйста как сохранять книги, ставить закладки?...
Подонок - Анастасия Леманн