Насосы интуиции и другие инструменты мышления - Дэниел К. Деннетт
Книгу Насосы интуиции и другие инструменты мышления - Дэниел К. Деннетт читаем онлайн бесплатно и без регистрации! Читать онлайн вы можете не только на компьютере, но и на андроид (Android), iPhone и iPad. Наслаждайтесь!
502 0 09:01, 12-12-2019Книга Насосы интуиции и другие инструменты мышления - Дэниел К. Деннетт читать онлайн бесплатно без регистрации
Блестящую идею создания регистровой машины на заре компьютерной эры предложил логик Хао Ван (1957), между прочим, студент Курта Гёделя и философ. Это изящный инструмент мышления, который вам стоит иметь в своем наборе. Он далеко не так известен, как должен бы[28]. Регистровая машина – это идеализированный, воображаемый компьютер (который вполне можно сконструировать), состоящий из некоторого (конечного) числа регистров и блока обработки данных.
Регистры – это ячейки памяти, каждая из которых имеет уникальный адрес (регистр 1, регистр 2, регистр 3 и так далее) и может содержать одно целое число (0, 1, 2, 3…). Каждый регистр можно представить в виде большого ящика, содержащего произвольное количество бобов, от 0 до …, вне зависимости от размеров ящика. Обычно мы считаем, что в ящике может содержаться любое целое число, поэтому ящики, само собой, должны быть бесконечно большими. Для наших целей подойдут и просто очень большие ящики.
Блок обработки данных имеет всего три простых компетенции, три “инструкции”, которым он может “следовать” пошагово, выполняя одну зараз. Любая последовательность этих инструкций представляет собой программу, и каждой инструкции присвоен номер, чтобы ее идентифицировать. Инструкции таковы:
Конец работы. Машина может остановиться или выключиться.
Инкремент регистра n (прибавить 1 к содержимому регистра n; положить один боб в ящик n) и переход на следующий шаг, шаг m.
Декремент регистра n (отнять 1 от содержимого регистра n; вынуть один боб из ящика n) и переход на следующий шаг, шаг m.
Инструкция “декремент” работает точно так же, как инструкция “инкремент”, но между ними есть одно принципиально важное различие: что делать, если в регистре n содержится число 0? Машина не может отнять 1 от этого содержимого (в регистрах не могут содержаться отрицательные числа; боб из пустого ящика не вынуть), поэтому, оказавшись в безвыходном положении, машина должна сделать “переход”. Иными словами, она должна обратиться к другому фрагменту программы, чтобы получить следующую инструкцию. В связи с этим каждая инструкция “декремент” должна определять, к какому фрагменту программы обращаться, если в текущий момент в регистре содержится 0. Таким образом, полное определение инструкции “декремент” звучит так:
Декремент регистра n (отнять 1 от содержимого регистра n), если это возможно, и переход на шаг m ИЛИ, если декрементировать регистр n невозможно, переход на шаг p.
Теперь снабдим все возможности регистровой машины короткими названиями: Кон, Инк и Деп (декремент-или-переход).
На первый взгляд может показаться, что такая простая машина не способна ни на что особенно интересное, ведь она умеет лишь класть боб в ящик или вынимать боб из ящика (если там есть боб – и переходить к другой инструкции, если его нет). Но на самом деле она может производить такие же вычисления, которые умеет производить любой другой компьютер.
Начнем с простого сложения. Допустим, вы хотите, чтобы регистровая машина прибавила содержимое одного регистра (скажем, регистра 1) к содержимому другого регистра (регистра 2). Таким образом, если в регистре 1 содержится [3], а в регистре 2 содержится [4], мы хотим, чтобы в итоге программа сделала так, чтобы содержимое регистра 2 стало равняться [7], потому что 3 + 4 = 7. Вот программа, которая справится с этой задачей, написанная на простом языке РПА (регистровое программирование на ассемблере):
программа 1: ADD [1,2]

Первые две инструкции образуют простой цикл, в рамках которого регистр 1 декрементируется, а регистр 2 инкрементируется снова и снова, пока регистр 1 не опустеет. Это “заметит” блок обработки данных, который в результате сделает переход на шаг 3, останавливающий программу. Блок обработки данных не может сказать, каково содержимое регистра, если только это содержимое не 0. Если снова представить ящики с бобами, можно сказать, что блок обработки данных слеп и не видит, что находится в регистре, пока он не опустеет, потому что отсутствие содержимого он может определить на ощупь. Несмотря на то что, в принципе, он не может сказать, каково содержимое регистров, если задать ему программу 1, он всегда будет прибавлять содержимое регистра 1 (какое бы число ни содержалось в регистре 1) к содержимому регистра 2 (какое бы число ни содержалось в регистре 2), а затем останавливаться. (Вы понимаете, почему так должно происходить всегда? Разберите несколько примеров, чтобы удостовериться.) Вот любопытный способ на это взглянуть: регистровая машина мастерски умеет складывать числа, не зная, какие именно числа она складывает (а также что такое числа и что такое сложение)!
упражнение 1
а. Сколько шагов потребуется регистровой машине, чтобы сложить 2 + 5 и получить 7, выполняя программу 1 (считая Кон отдельным шагом)?
б. Сколько шагов потребуется машине, чтобы сложить 5 + 2?
(Какой из этого можно сделать вывод?)[29]
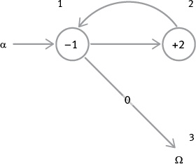
Этот процесс можно изобразить наглядно, построив так называемый граф потока. Каждый кружок обозначает инструкцию. Число в кружке обозначает адрес регистра, с которым необходимо произвести манипуляции (а не содержимое регистра), “+” обозначает инструкцию Инк, а “–” – инструкцию Деп. Программа всегда начинается с α, альфы, и завершается, когда достигает Ω, омеги. Стрелки показывают переход к следующей инструкции. Обратите внимание, что каждая инструкция Деп имеет две исходящих стрелки, одну для направления, в котором двигаться, если декрементировать содержимое регистра возможно, а другую – если невозможно, потому что содержимое регистра 0 (переход на ноль).

Теперь давайте напишем программу, которая просто перемещает содержимое одного регистра в другой регистр:
Прочитали книгу? Предлагаем вам поделится своим впечатлением! Ваш отзыв будет полезен читателям, которые еще только собираются познакомиться с произведением.
Уважаемые читатели, слушатели и просто посетители нашей библиотеки! Просим Вас придерживаться определенных правил при комментировании литературных произведений.
Просьба отказаться от дискриминационных высказываний. Мы защищаем право наших читателей свободно выражать свою точку зрения. Вместе с тем мы не терпим агрессии. На сайте запрещено оставлять комментарий, который содержит унизительные высказывания или призывы к насилию по отношению к отдельным лицам или группам людей на основании их расы, этнического происхождения, вероисповедания, недееспособности, пола, возраста, статуса ветерана, касты или сексуальной ориентации. Просьба отказаться от оскорблений, угроз и запугиваний. Просьба отказаться от нецензурной лексики. Просьба вести себя максимально корректно как по отношению к авторам, так и по отношению к другим читателям и их комментариям.
Надеемся на Ваше понимание и благоразумие. С уважением, администратор My-Books.me.
Оставить комментарий
-
Александра15 январь 09:37
Очень интересная книга! Особенно, если любишь психологию и хочешь понимать себя и других. Обязательно послушаю до конца. Спасибо....
Кригер Борис – Гнев
-
Галина25 май 13:02
Очень уважаю Артема Шейнина, книга замечательная, очень мне близкая по духу.Перечитываю уже второй раз, столько пережитого и не...
Мне повезло вернуться - Артем Шейнин
-
Екатерина11 январь 08:05
Доброе утро. Подскажите пожалуйста как сохранять книги, ставить закладки?...
Подонок - Анастасия Леманн