Наука. Величайшие теории. №4. Кеплер. Движение планет. Танцы со звездами - Эдуардо Баттане Лопец
Книгу Наука. Величайшие теории. №4. Кеплер. Движение планет. Танцы со звездами - Эдуардо Баттане Лопец читаем онлайн бесплатно и без регистрации! Читать онлайн вы можете не только на компьютере, но и на андроид (Android), iPhone и iPad. Наслаждайтесь!
153 0 13:33, 25-05-2019Книга Наука. Величайшие теории. №4. Кеплер. Движение планет. Танцы со звездами - Эдуардо Баттане Лопец читать онлайн бесплатно без регистрации
Радиус Шварцшильда (гравитационный радиус) подобной черной дыры может составлять около 1010 м, в то время как радиус Солнца составляет порядка 7 108 м, то есть в черную дыру могут целиком уместиться некоторые звезды.
АККРЕЦИОННЫЙ ДИСК
Имеются все основания полагать, что черная дыра находится не только в центре Млечного Пути, но и в центре других галактик. Материя не поглощается ею сразу, а из-за эффекта сохранения кинетического момента скорость вращения по мере приближения к черной дыре растет – подобно тому, как вода все быстрее движется вокруг отверстия сливной трубы. Материя до поглощения черной дырой вращается вокруг нее, образуя аккреционный диск, который, предположительно, существует вокруг всех галактических черных дыр.
В аккреционном диске газ вращается вокруг черной дыры, расположенной в центре, однако, согласно третьему закону Кеплера, не все участки диска вращаются с одинаковой скоростью. Давайте мысленно разделим диск на тончайшие кольца. По третьему закону Кеплера, квадрат периода обращения этих колец пропорционален кубу расстояния до черной дыры, или же квадрат их угловой скорости w обратно пропорционален кубу расстояния r:
w²r³ = константа.
Угловая скорость колец неодинакова, слои, расположенные ближе к черной дыре, будут иметь большие скорости. Это обуславливает наличие внутреннего трения и нагревания, которые наиболее высоки по мере приближения к центру и ослабевают на внешних краях диска. Внутренние слои передают часть своего момента импульса наружу, при этом они приближаются к массивному центру и, в конце концов, падают на него. Фактически траектории отдельных частиц газа имеют вид спиралей, которые медленно закручиваются. Нагревание вследствие трения приводит к выбросу излучения, что и позволяет нам наблюдать черную дыру, вернее материю, которая вращается вокруг нее.
ЗВЕЗДНАЯ МАССА
Массу Солнца можно вычислить, наблюдая за любой планетой Солнечной системы и зная расстояние от нее до Солнца и период обращения планеты. Так же мы можем рассчитать массу Земли, зная расстояние от Земли до Луны и период обращения нашего спутника, – для этого необходимо всего лишь применить закон Кеплера в интерпретации Ньютона. При помощи этого же принципа и уже указанного закона Кеплера можно рассчитать звездную массу двойных звезд, и это вычисление является практически единственным непосредственным методом вычисления звездной массы. К счастью, частью двойной системы являются многие звезды, так что к настоящему времени наработана обширная статистическая база звездных масс. Масса звезды тесно связана с ее светимостью, или световым потоком, излучаемым в секунду времени. Соотношение массы и светимости имеет следующий вид:
L аМх ,
где L – светимость, М – масса, х – показатель степени, равный примерно 3 или чуть больше для звезд с очень большой массой.
Подобное соотношение справедливо не только для звезд, относящихся к звездам главной последовательности, которые состоят из идеального газа, 4Н -› Не.
Двойные звезды могут быть визуальными, спектральными и фотометрическими. В случае визуально-двойных звезд при длительном изучении, например в течение нескольких лет, можно наблюдать, как обе звезды вращаются вокруг общего центра масс, двигаясь при этом по эллиптической орбите. Спектрально-двойные и фотометрические двойные звезды обычно расположены настолько близко, что расчеты крайне затруднительны, так как мы можем наблюдать лишь одну звезду, хотя мы и знаем, что на самом деле их две. В этом случае периоды обращения, как правило, гораздо меньше, и их определение не требует много времени.
Спектрально-двойные звезды можно обнаружить с помощью спектральных наблюдений в течение нескольких ночей. Излучение одного компонента такой звездной системы с определенной периодичностью смещается то в красную, то в синюю часть спектра в зависимости от того, удаляется или приближается звезда. Если спектр второго компонента демонстрирует аналогичные смещения, но в противофазе, то можно утверждать, что перед нами двойная система. Подобное поведение вызвано эффектом Доплера и движением звезды по орбите и позволяет довольно точно определить период ее обращения.
В случае фотометрических двойных звезд мы наблюдаем изменение кривой силы света, то есть отношения светового потока ко времени, из-за того, что звезды затмевают друг друга. Для наблюдения этого явления необходимо, чтобы плоскость орбиты находилась на линии видимости.
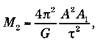
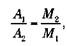
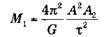
Информация, получаемая в ходе наблюдений за двойными системами, меняется в зависимости от типа наблюдения. Расчеты могут быть более или менее сложными, однако принцип остается неизменным. Не будем вдаваться в подробности формул определения массы и обратимся непосредственно к результатам. В случае визуально-двойных звезд мы наблюдаем эллипс обеих и можем рассчитать их массу:

где А1 – большая полуось звезды 1, А2 – большая полуось звезды 2, М1 и М2 – их массы, А = А1 + А2 – расстояние между звездами, τ – период обращения. Эти уравнения выводятся непосредственно из закона Кеплера. Таким образом:

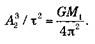
так как центр тяготения должен находиться ближе к более массивной звезде. Если 2 является планетой, М2 << M1 таким образом, число А1 ничтожно мало. Это означает, что А приблизительно равно A2 , и мы получаем закон Кеплера:

Это крайне важно для ситуаций, когда мы не видим звезды с большей массой, например в случае с черной дырой. Именно с помощью этого метода была вычислена масса черной дыры, находящейся в центре Млечного Пути.
В случае спектрально-двойных звезд можно рассчитать только массы, помноженные на наклон орбиты i, или угол между плоскостью орбиты и лучом зрения.
Если двойные звезды одновременно и спектральны, и фотометричны, могут быть получены особенно обширные данные. Возможно вычислить наклон орбиты, обе массы, а также расстояние между звездами и их радиусы.
Центр Солнца движется относительно центра тяжести Солнечной системы – барицентра. Это движение определяется двумя наиболее массивными планетами – Юпитером и Сатурном – и имеет вид почти круговых движений, согласованных с периодами обращения этих планет (около 12 и 29,5 года). Солнце удаляется от центра масс Солнечной системы на величину, приблизительно равную диаметру Солнца, и вращение происходит вокруг оси, которая, как кажется, расположена на поверхности планеты. Наблюдая за этим движением, можно сделать вывод о существовании Юпитера, хоть он и невидим.
Прочитали книгу? Предлагаем вам поделится своим впечатлением! Ваш отзыв будет полезен читателям, которые еще только собираются познакомиться с произведением.
Уважаемые читатели, слушатели и просто посетители нашей библиотеки! Просим Вас придерживаться определенных правил при комментировании литературных произведений.
Просьба отказаться от дискриминационных высказываний. Мы защищаем право наших читателей свободно выражать свою точку зрения. Вместе с тем мы не терпим агрессии. На сайте запрещено оставлять комментарий, который содержит унизительные высказывания или призывы к насилию по отношению к отдельным лицам или группам людей на основании их расы, этнического происхождения, вероисповедания, недееспособности, пола, возраста, статуса ветерана, касты или сексуальной ориентации. Просьба отказаться от оскорблений, угроз и запугиваний. Просьба отказаться от нецензурной лексики. Просьба вести себя максимально корректно как по отношению к авторам, так и по отношению к другим читателям и их комментариям.
Надеемся на Ваше понимание и благоразумие. С уважением, администратор My-Books.me.
Оставить комментарий
-
Александра15 январь 09:37
Очень интересная книга! Особенно, если любишь психологию и хочешь понимать себя и других. Обязательно послушаю до конца. Спасибо....
Кригер Борис – Гнев
-
Галина25 май 13:02
Очень уважаю Артема Шейнина, книга замечательная, очень мне близкая по духу.Перечитываю уже второй раз, столько пережитого и не...
Мне повезло вернуться - Артем Шейнин
-
Екатерина11 январь 08:05
Доброе утро. Подскажите пожалуйста как сохранять книги, ставить закладки?...
Подонок - Анастасия Леманн