Наука. Величайшие теории. №4. Кеплер. Движение планет. Танцы со звездами - Эдуардо Баттане Лопец
Книгу Наука. Величайшие теории. №4. Кеплер. Движение планет. Танцы со звездами - Эдуардо Баттане Лопец читаем онлайн бесплатно и без регистрации! Читать онлайн вы можете не только на компьютере, но и на андроид (Android), iPhone и iPad. Наслаждайтесь!
153 0 13:33, 25-05-2019Книга Наука. Величайшие теории. №4. Кеплер. Движение планет. Танцы со звездами - Эдуардо Баттане Лопец читать онлайн бесплатно без регистрации
Хотя в материальном смысле жаловаться ученому было не на что, однако он страдал из-за отсутствия в городе подходящей научной и культурной среды. Кеплер не понимал местного диалекта, а горожане не знали латыни. В довершение ко всему Контрреформация добралась и до Сагана, и перед учеными встали те же трудности, что и в Граце, Линце и Праге.
Здесь мы на время отвлечемся от жизни Иоганна Кеплера и вернемся к его научным изысканиям.
ЗАКОНЫ КЕПЛЕРА В СОЛНЕЧНОЙ СИСТЕМЕ
Давайте рассмотрим влияние законов Кеплера на классическое толкование астрономических явлений и на недавние исследования в области астрофизики. Начнем с некоторых любопытных наблюдений. Орбита всех планет имеет эллиптическую форму, что отражено в таблице с данными об их эксцентриситете относительно Солнца (для Луны расчеты выполнены по отношению к Земле).
| Планета | Эксцентриситет |
| Меркурий | 0,206 |
| Венера | 0,007 |
| Земля | 0,017 |
| Марс | 0,093 |
| Юпитер | 0,048 |
| Сатурн | 0,056 |
| Уран | 0,047 |
| Нептун | 0,009 |
| Луна | 0,055 |
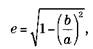
В таблицу не включен Плутон, однако его эксцентриситет также очень высок (0,25). Ввиду этого в течение сидерического года, длящегося 247,7 земного года, в определенные промежутки времени Плутон оказывается ближе к Солнцу, чем Нептун, например это наблюдалось в период с 1978 по 2000 год. Эксцентриситет, или е, рассчитывается по формуле

где а – это большая полуось, а b – малая полуось орбиты.
ДВИЖЕНИЯ ЛУНЫ
Орбита Луны обладает ярко выраженным эксцентриситетом, и скорость движения нашего спутника непостоянна. Это открытие было детально описано вавилонским астрономом Кидинну в IV веке до н. э. Расстояние от Земли до Луны варьируется от 406700 до 356400 км, а угловой радиус видимого диска Луны – от 29’22” до 33’31”. По этой причине скорость вращения нашего спутника также подвержена изменениям, что вызвало к жизни теорию движений Луны, на которой мы остановимся лишь вкратце.
Луна всегда обращена к Земле одной и той же стороной, поскольку период ее обращения вокруг Земли совпадает с периодом вращения вокруг собственной оси. Это явление справедливо для большинства спутников и обусловлено влиянием приливов, создающихся за счет разницы в гравитации. Другими словами, в зависимости от степени близости спутника планета притягивает его с большей или меньшей силой. В период, когда Луна находилась в менее твердом состоянии, чем сейчас, приливы вызывали большую скорость вращения на наиболее приближенных к Земле участках планеты, однако из-за трения вращение замедлялось, и влияние приливов должно было полностью исчезнуть в тот момент, когда Луна начнет обращать к Земле всегда одну и ту же сторону, то есть когда лунный день станет равен земному месяцу.
Сегодня из-за приливов океаны вращаются со скоростью, отличной от скорости движения материков, и это тормозит движение Земли. Каждые 500 лет день становится длиннее примерно на одну секунду. Хотя этот процесс проходит медленно, его необходимо учитывать при астрономических расчетах, претендующих на высокую точность.
Постепенное удлинение дня приводит к удалению от Луны в связи с эффектом сохранения кинетического момента системы Земля – Луна. Сегодня удаление составляет около 3,8 см в год.
Итак, согласно второму закону Кеплера скорость движения Луны, в отличие от скорости ее вращения, не является постоянной. Этим объясняются колебательные движения Луны, благодаря которым в определенные дни месяца мы можем увидеть небольшие участки по краям невидимой стороны Луны. То есть на самом деле мы можем наблюдать не 50, а 59 % ее поверхности.
СУТКИ НА МЕРКУРИИ
С Меркурием и его расположением по отношению к Солнцу происходит то же самое, что и с Луной по отношению к Земле. Период движения и скорость вращения планеты соотносятся не как 1:1, а как 3:2. Год на Меркурии равен 88 земным дням, что возможно рассчитать благодаря третьему закону Кеплера, а сутки – 58,65 земного дня. Из-за отливов коэффициент составляет 3/2. Год на Меркурии длится 1,5 суток, а его орбита характеризуется высоким эксцентриситетом (е = 0,206).

Ниже приводится длительность года и суток на Меркурии. Стрелка указывает на один из меридианов. Стоит обратить внимание на то, что этот меридиан направлен от Солнца полтора дня, к Солнцу – три дня.
Движения планеты также очень сильно выражены. В перигелии на экваторе скорость движения так высока, что сутки вполне могут стать короче года.
Вследствие этого Солнце на Меркурии восходит на востоке и движется на запад, как и на Земле, однако в полдень останавливается и начинает обратное движение на восток, затем снова останавливается и уже окончательно направляется на запад.
Меркурий поворачивается к Солнцу не всегда одной и той же стороной. В течение одного года освещена одна половина планеты, а на следующий год – ее вторая половина. Сутки длятся так долго, а расстояние от Солнца такое маленькое, что освещенная половина раскаляется, в то время как затененная – покрывается льдом. Отсутствие атмосферы не позволяет компенсировать разницу температур, и на обеих половинах планеты сохраняется экстремальное состояние. На приведенной схеме можно увидеть длительность суток и года на Меркурии.
СОЛНЦЕ
Согласно второму закону Кеплера, скорость движения Земли вокруг Солнца непостоянна. При наблюдении с Земли можно прийти к выводу о том, что угловая скорость вращения светила изменяется.
Солнечные часы не совпадают с обычными или атомными часами. Чтобы объяснить это несоответствие, давайте представим себе, что существует еще одно Солнце, которое пересекает наш небосвод с постоянной скоростью. Настоящее Солнце иногда обгоняет, а иногда отстает от воображаемого, но к концу года они подходят одновременно. Таким образом, мы можем говорить о Среднем Солнечном Времени (ССВ) и Истинном Солнечном Времени (ИСВ).
Разница между ними называется уравнением времени:
УВ = ССВ – ИСВ.
Значение уравнения времени можно узнать в специализированных астрономических изданиях или вычислить, например с помощью астрономических программ.

Уравнение времени, связанное с неравномерным движением Земли вокруг Солнца, следующим из второго закона Кеплера.
Прочитали книгу? Предлагаем вам поделится своим впечатлением! Ваш отзыв будет полезен читателям, которые еще только собираются познакомиться с произведением.
Уважаемые читатели, слушатели и просто посетители нашей библиотеки! Просим Вас придерживаться определенных правил при комментировании литературных произведений.
Просьба отказаться от дискриминационных высказываний. Мы защищаем право наших читателей свободно выражать свою точку зрения. Вместе с тем мы не терпим агрессии. На сайте запрещено оставлять комментарий, который содержит унизительные высказывания или призывы к насилию по отношению к отдельным лицам или группам людей на основании их расы, этнического происхождения, вероисповедания, недееспособности, пола, возраста, статуса ветерана, касты или сексуальной ориентации. Просьба отказаться от оскорблений, угроз и запугиваний. Просьба отказаться от нецензурной лексики. Просьба вести себя максимально корректно как по отношению к авторам, так и по отношению к другим читателям и их комментариям.
Надеемся на Ваше понимание и благоразумие. С уважением, администратор My-Books.me.
Оставить комментарий
-
Александра15 январь 09:37
Очень интересная книга! Особенно, если любишь психологию и хочешь понимать себя и других. Обязательно послушаю до конца. Спасибо....
Кригер Борис – Гнев
-
Галина25 май 13:02
Очень уважаю Артема Шейнина, книга замечательная, очень мне близкая по духу.Перечитываю уже второй раз, столько пережитого и не...
Мне повезло вернуться - Артем Шейнин
-
Екатерина11 январь 08:05
Доброе утро. Подскажите пожалуйста как сохранять книги, ставить закладки?...
Подонок - Анастасия Леманн