» » » Максвелловская научная революция - Ринат Нугаев

Максвелловская научная революция - Ринат Нугаев

Книгу Максвелловская научная революция - Ринат Нугаев читаем онлайн бесплатно и без регистрации! Читать онлайн вы можете не только на компьютере, но и на андроид (Android), iPhone и iPad. Наслаждайтесь!

155 0 10:13, 26-05-2019
Максвелловская научная революция - Ринат Нугаев
26 май 2019
Автор: Ринат Нугаев Жанр: Книги / Домашняя Год публикации: 2014 Возрастные ограничения: (18+) Внимание! Аудиокнига может содержать контент только для совершеннолетних.
0 0

Книга Максвелловская научная революция - Ринат Нугаев читать онлайн бесплатно без регистрации

Описанная автором в предыдущих публикациях методологическая модель смены теорий применяется к максвелловской научной революции. Показано, что генезис максвелловской электродинамики может рассматриваться как закономерный результат согласования «старых» исследовательских программ, относившихся к домаксвелловской физике: электродинамики Ампера-Вебера, волновой теории света Юнга-Френеля и программы Фарадея. «Нейтральным языком», сконструированным Максвеллом для объективного сравнения выводов теорий из встретившихся программ и установления связей между ними, послужила механика сплошных сред с ее набором разнообразных аналоговых моделей – от трубок с несжимаемой жидкостью до молекулярных вихрей. Итогом взаимодействия встретившихся программ, ставшим возможным после создания этого «языка», явилось создание иерархии гибридных объектов – от т.н. «тока смещения» до обычных гибридных теоретических схем. Последовавшее, вслед за конструированием тока смещения, взаимопроникновение домаксвелловских исследовательских программ положило начало последовательному объединению теоретических схем оптики, электричества и магнетизма. Программа Максвелла превзошла программу Ампера-Вебера потому, что ассимилировала ряд положений ее твердого ядра, сочетав их с рядом идей Фарадея и оптики Юнга и Френеля. Утверждается, что ключевым звеном рассматриваемой таким образом максвелловской стратегии синтеза теорий оптики, электричества и магнетизма послужили идеи кантовской эпистемологии. Это позволило Максвеллу создать свою оригинальную методологию объединения, разработать и запустить собственную метапрограмму синтеза континентальной и британской исследовательских традиций рассмотрения электромагнитных явлений. Характер кантианской философии позволил выдвинуть в качестве объединяющего начала идею, носившую, в отличие от программы Ампера-Вебера, не «деревянный» онтологический, а гибкий, кантианский, антинатурфилософский, подчеркнуто эпистемологический характер. Для Максвелла последним «первокирпичиком» физической реальности был не эфир, из которого надо было тщательно конструировать как поля, так и заряды, и не непосредственное «действие на расстоянии». И это действие, и «несжимаемая жидкость», и «вихри в эфире» для него были лишь модельными представлениями, в лучшем случае способными лишь «навести» (inductio) на правильные математические соотношения. Генезис максвелловской электродинамики был гармонично встроен ее создателем в общий процесс деонтологизации, начавшийся в Новое время с отказа от аристотелевской онтологии. Творческое использование максвелловской методологии позволило Герману Гельмгольцу и его ученику – Генриху Герцу – прийти к такой версии теории Максвелла, которая послужила эвристическим ориентиром для открытия радиоволн.
1 ... 21 22 23 24 25 26 27 28 29 ... 45
Перейти на страницу:

«Если мы сможем теперь объяснить состояние тела по отношению к окружающему веществу, когда говорится, что оно «заряжено» электричеством, и объяснить силы, действующие между наэлектризованными телами, то мы сможем тем самым установить связь между всеми феноменами электрической науки» (Maxwell, [1861], p. 13).

Далее, отмечает Максвелл, если существует разница в натяжениях между различными частями любого тела, то электричество протекает, или стремится протечь, от мест с большим натяжением к местам с меньшим натяжением. Если рассматриваемое тело – проводник, будет иметь место действительное прохождение электричества.

Но если перед нами изолятор, то, несмотря на то, что электричество течь по нему не может, электрические эффекты и их распространение все же могут иметь место. В данном отношении проводник может быть уподоблен пористой мембране, которая оказывает сопротивление прохождению жидкости через нее; в то время как диэлектрик аналогичен эластичной мембране, которая для жидкости непроницаема, но позволяет передавать давление из одной части в другую.

Действующая на диэлектрик электродвижущая сила поляризует его части подобно поляризации железных опилок под воздействием магнита, приводя к тому, что каждая железная частица становится обладательницей двух полюсов, направленных в противоположные стороны. Поэтому в диэлектрике под воздействием индукции электричество в каждой молекуле смещается таким образом, что одна сторона оказывается заряженной положительно, а другая – отрицательно. Тем не менее, электричество всецело остается в пределах молекулы, и не перетекает от одной молекулы к другой.

«В результате этого воздействия на весь диэлектрик возникает общее смещение электричества в определенном направлении. Это смещение не доходит до тока, поскольку, как только оно достигнет определенного значения, оно остается постоянным, но это – начало тока…» (Maxwell, [1861], p. 14).

В итоге если h – смещение, R – электродвижущая сила, а E – коэффициент, зависящий от природы диэлектрика, то R = – 4πE h. Величина электрического тока из-за смещения r будет определяться из выражения:


Максвелловская научная революция

Эти соотношения не зависят ни от какой теории внутреннего механизма диэлектриков; но когда мы найдем электродвижущую силу, образующую электрическое смещение в диэлектрике, и когда мы найдем диэлектрик, освобождающийся от его состояния электрического смещения с равной электродвижущей силой, тогда мы придем к сравнению этого явления с упругим телом, которое поддается давлению и возвращает первоначальную форму тогда, когда давление устранено (Maxwell, [1861], p. 14).

Для дальнейшего изложения существенно следующее замечание Максвелла, сделанное им в процессе развертывания теории молекулярных вихрей.

«В последующем я рассмотрел отношение между смещением и той силой, которая его производит, в предположении, что ячейки являются сферическими. Действительная форма ячеек возможно [!] не настолько значительно отличается от сферической для того, чтобы привести к большим отличиям в численном результате» (Maxwell, [1861], p. 14).

Этот результат был необходим Максвеллу «для получения соотношения между статической и динамической мерами электричества, и показал, при помощи сравнения электромагнитных экспериментов М. М. Кольрауша и Вебера со скоростью света, найденной М. Физо, что эластичность магнитной среды в воздухе – та же самая, что эластичность светоносной среды, если только эти две сосуществующие, одинаково протяженные и одинаково эластичные среды не одна и та же среда» (Maxwell, [1861], p. 14).

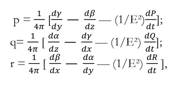
Введение тока смещения потребовало изменения системы уравнений, полученных Максвеллом ранее, что и выразилось в доказательстве следующей теоремы (proposition XIV): скорректировать уравнения для электрических токов [уравнения (9) в обозначениях Максвелла] с учетом эластичности среды. Продифференцировав приведенное выше выражение для электродвижущей силы смещения по t, получим выражениеМаксвелловская научная революцияпоказывающее, что когда электродвижущая сила изменяется, электрическое смещение также изменяется. Но изменение смещения эквивалентно току, и этот ток должен быть добавлен в правую часть полученного ранее закона Ампера. В итоге три (x,y,z) компоненты вектора тока будут выглядеть следующим образом:


Максвелловская научная революция

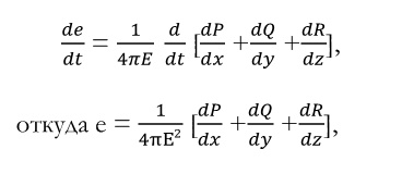
где p, q, r – это компоненты вектора электрического тока в направлениях x,y,z; α, β, γ – компоненты вектора магнитного поля, а P, Q, R – компоненты электродвижущей силы. Тогда, если e – количество свободного электричества в единице объема, то уравнение непрерывности будет выглядеть следующим образом:


Максвелловская научная революция

Продифференцировав полученное выше выражение для p,q,r по x,y,z и подставив результаты в уравнение непрерывности, получим:


Максвелловская научная революция

Последняя формула нужна Максвеллу для того, чтобы доказать следующую теорему (proposition XV): найти силу, действующую между двумя наэлектризованными телами. Используя выражения для энергии, возникающей в среде в результате смещения, а также соответствующие выражения для электрического напряжения, Максвелл получаетМаксвелловская научная революцият. е. искомая сила есть отталкивание, изменяющееся обратно пропорционально квадрату расстояния между двумя наэлектризованными телами.

Таким образом, распространение теории молекулярных вихрей на явления электростатики оказалось возможным именно из-за учета упругости вихрей, которые делают магнито-электрическую субстанцию способной поддерживать волны упругости.

Определенная ранее в теореме XIII величина E оказывается коэффициентом, на который должно быть умножено выраженное в магнитных единицах количество электричества для того, чтобы получить число, выражающее то же самое количество электричества, но в электростатических единицах. Вебер и Кольрауш нашли, что E = 310 740 000 000.

Все это необходимо Максвеллу для того, чтобы доказать теорему XVI: найти скорость распространения поперечных колебаний через упругую среду, из которой состоят ячейки, в предположении, что ее упругость целиком обусловлена силами, действующими между парами материальных точек.

1 ... 21 22 23 24 25 26 27 28 29 ... 45
Перейти на страницу:
  1. Жалоба
Отзывы - 0

Прочитали книгу? Предлагаем вам поделится своим впечатлением! Ваш отзыв будет полезен читателям, которые еще только собираются познакомиться с произведением.


Уважаемые читатели, слушатели и просто посетители нашей библиотеки! Просим Вас придерживаться определенных правил при комментировании литературных произведений.

Просьба отказаться от дискриминационных высказываний. Мы защищаем право наших читателей свободно выражать свою точку зрения. Вместе с тем мы не терпим агрессии. На сайте запрещено оставлять комментарий, который содержит унизительные высказывания или призывы к насилию по отношению к отдельным лицам или группам людей на основании их расы, этнического происхождения, вероисповедания, недееспособности, пола, возраста, статуса ветерана, касты или сексуальной ориентации. Просьба отказаться от оскорблений, угроз и запугиваний. Просьба отказаться от нецензурной лексики. Просьба вести себя максимально корректно как по отношению к авторам, так и по отношению к другим читателям и их комментариям.

Надеемся на Ваше понимание и благоразумие. С уважением, администратор My-Books.me.


Новые отзывы

  1. Александра Александра15 январь 09:37 Очень интересная книга! Особенно, если любишь психологию и хочешь понимать себя и других. Обязательно послушаю до конца. Спасибо.... Кригер Борис – Гнев
  2. Галина Галина25 май 13:02 Очень уважаю Артема Шейнина, книга замечательная, очень мне близкая по духу.Перечитываю уже второй раз, столько пережитого и не... Мне повезло вернуться - Артем Шейнин
  3. Екатерина Екатерина11 январь 08:05 Доброе утро. Подскажите пожалуйста как сохранять книги, ставить закладки?... Подонок - Анастасия Леманн
Все комметарии
Новинки бесплатной онлайн библиотеки