» » » Максвелловская научная революция - Ринат Нугаев

Максвелловская научная революция - Ринат Нугаев

Книгу Максвелловская научная революция - Ринат Нугаев читаем онлайн бесплатно и без регистрации! Читать онлайн вы можете не только на компьютере, но и на андроид (Android), iPhone и iPad. Наслаждайтесь!

155 0 10:13, 26-05-2019
Максвелловская научная революция - Ринат Нугаев
26 май 2019
Автор: Ринат Нугаев Жанр: Книги / Домашняя Год публикации: 2014 Возрастные ограничения: (18+) Внимание! Аудиокнига может содержать контент только для совершеннолетних.
0 0

Книга Максвелловская научная революция - Ринат Нугаев читать онлайн бесплатно без регистрации

Описанная автором в предыдущих публикациях методологическая модель смены теорий применяется к максвелловской научной революции. Показано, что генезис максвелловской электродинамики может рассматриваться как закономерный результат согласования «старых» исследовательских программ, относившихся к домаксвелловской физике: электродинамики Ампера-Вебера, волновой теории света Юнга-Френеля и программы Фарадея. «Нейтральным языком», сконструированным Максвеллом для объективного сравнения выводов теорий из встретившихся программ и установления связей между ними, послужила механика сплошных сред с ее набором разнообразных аналоговых моделей – от трубок с несжимаемой жидкостью до молекулярных вихрей. Итогом взаимодействия встретившихся программ, ставшим возможным после создания этого «языка», явилось создание иерархии гибридных объектов – от т.н. «тока смещения» до обычных гибридных теоретических схем. Последовавшее, вслед за конструированием тока смещения, взаимопроникновение домаксвелловских исследовательских программ положило начало последовательному объединению теоретических схем оптики, электричества и магнетизма. Программа Максвелла превзошла программу Ампера-Вебера потому, что ассимилировала ряд положений ее твердого ядра, сочетав их с рядом идей Фарадея и оптики Юнга и Френеля. Утверждается, что ключевым звеном рассматриваемой таким образом максвелловской стратегии синтеза теорий оптики, электричества и магнетизма послужили идеи кантовской эпистемологии. Это позволило Максвеллу создать свою оригинальную методологию объединения, разработать и запустить собственную метапрограмму синтеза континентальной и британской исследовательских традиций рассмотрения электромагнитных явлений. Характер кантианской философии позволил выдвинуть в качестве объединяющего начала идею, носившую, в отличие от программы Ампера-Вебера, не «деревянный» онтологический, а гибкий, кантианский, антинатурфилософский, подчеркнуто эпистемологический характер. Для Максвелла последним «первокирпичиком» физической реальности был не эфир, из которого надо было тщательно конструировать как поля, так и заряды, и не непосредственное «действие на расстоянии». И это действие, и «несжимаемая жидкость», и «вихри в эфире» для него были лишь модельными представлениями, в лучшем случае способными лишь «навести» (inductio) на правильные математические соотношения. Генезис максвелловской электродинамики был гармонично встроен ее создателем в общий процесс деонтологизации, начавшийся в Новое время с отказа от аристотелевской онтологии. Творческое использование максвелловской методологии позволило Герману Гельмгольцу и его ученику – Генриху Герцу – прийти к такой версии теории Максвелла, которая послужила эвристическим ориентиром для открытия радиоволн.
1 ... 17 18 19 20 21 22 23 24 25 ... 45
Перейти на страницу:

К этому следует добавить, что введенное Томсоном и Максвеллом исследование электростатики и магнитостатики при помощи гидродинамических моделей оказалось весьма плодотворным; в теории поля до сих пор используются термины «источники», «дивергенция», «ротор» (вихрь) и т.д.

И в оставшихся разделах работы [I] Максвелл показывает, каким образом идея линий движения жидкости может быть применена для описания таких относительно простых разделов, как статическое электричество, постоянный магнетизм, магнетизм индукции и однородные гальванические токи. Там же вводится вторая максвелловская инновация, также основанная на идеях Фарадея – идея электротонического состояния. Максвелл связывал идею Фарадея об электротоническом состоянии с представлением о магнитном потоке и его инерционных свойствах. Он ввел «электротонический вектор» A как характеристику потенциальной возможности появления электродвижущей силы при изменении магнитного поля.

«Мы можем представить себе электротоническое состояние в какой-либо точке пространства как некоторый определенный по величине и направлению вектор и можем это электротоническое состояние выразить в данной точке пространства с помощью какого-либо механического вектора, например, скорости или силы, направление и величина которых соответствуют направлению и величине определенного нами электротонического состояния. Такое представление не связано ни с какой физической теорией, а является только своего рода искусственной иллюстрацией» (Максвелл, [1856], 1952, С. 83).

Таким образом, суть двух максвелловских инноваций, предлагаемых им в работе 1856 г. – конструирование, разработка «нейтрального языка» для описания и сравнения выводов из различных конкурирующих схем и теорий. Этот язык – отнюдь не «язык наблюдений» логического эмпиризма: Максвелл ясно отдает себе отчет в обстоятельстве, которое в философии науки XX в. получило название «теоретическая нагруженность языка наблюдения». Он хорошо понимает, что всякое наблюдение всегда несет «отпечатки» теоретического языка, при помощи которого оно описано. («Следы цемента», как позже назовет их Максвелл в статье «Гельмгольц»).

Поэтому для того, чтобы сравнить между собой и свести воедино, – в непротиворечивую теоретическую схему – результаты разных экспериментов, несущих следы разных теоретических языков, необходимо создать особый, искусственный теоретический язык, по возможности равноудаленный от всех сравниваемых теорий. И исследования в. Томсона (на которые в своих работах постоянно ссылается Максвелл) показали ему, каким этот язык должен быть. Его основа – терминология механики сплошных сред. Конечная цель Максвелла – спроецировать выводы всех конкурирующих теорий на эту область, «переписать» все известные законы на этом языке, сравнить их выводы между собой для того, чтобы избавиться от противоречий и обобщить, наконец, в самосогласованной системе уравнений.

Итог статьи [I] – демонстрация значимости для теории электромагнетизма операций div и rot, а также вывод следующих уравнений: div E =4πρ (закон Кулона), rot A = B (уравнение электротонического состояния);


Максвелловская научная революция

Таким образом, в работе [I] почти все уравнения Максвелла уже были написаны, но – без тока смещения. И действительно, весьма важным недостатком модели трубок несжимаемой жидкости было то, что они, за исключением простых отдельных случаев, были неспособны объяснить в общем виде связи и взаимодействия электрических полей, магнитных полей и электрических токов, а также продемонстрированную в Фарадеем в 1845 г. взаимосвязь магнитных и оптических явлений.

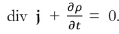
Ведь, как мы уже отмечали, целью всей своей программы Максвелл поставил устранение присущей электродинамике Ампера-Вебера «разобщенности покоящегося и движущегося зарядов». Была ли эта цель достигнута в 1856 г.? – Нет. Между плотностью тока j (движущимся электричеством) и плотностью заряда ρ (электрическим покоящимся) в описанной выше максвелловской схеме никаких связей нет. Они появятся позже, после введения «тока смещения» и соответствующего следствия – уравнения непрерывности:Максвелловская научная революция Пока же, выписывая вытекающее из вышеприведенных уравнение div j = 0, Максвелл замечает, что его исследование пока ограничивается только замкнутыми токами. Прежде чем изменять что-либо в полученной системе уравнений (М-1), надо было освободиться от принятых модельных представлений о природе токов. Принятая Максвеллом кантианская методология сделать это вполне позволяла.

Резюме ко второй главе

В работе Максвелла «О фарадеевых силовых линиях» (1856) были заложены основы всей исследовательской синтетической программы Максвелла. Принципиальная новизна максвелловского подхода к явлениям электричества и магнетизма, основанного на методе физических аналогий и в лучшую сторону отличающая его от уже разработанных к тому времени подходов, состояла отнюдь не в том, что он предлагал еще одну теоретическую «онтологию», отвергающую все предыдущие как основанные на ложных предпосылках и утверждающую, что «на самом деле» электричество и магнетизм – это поля, а не непосредственные взаимодействия зарядов, происходящие по прямым линиям. Фарадеевские идеи применялись им не для того, чтобы раскрыть сущность электричества и магнетизма, а для того, чтобы показать, в соответствии с уэвелловской методологией, каким образом скрупулезное применение идей и методов Фарадея «представляет на математическое рассмотрение» раскрытую им взаимосвязь существенно различных порядков явлений.

Первая инновация работы 1856 г. состояла в том, что Максвелл предложил рассматривать фарадеевские силовые линии, которые описывали направления электрических и магнитных сил, в качестве трубок с идеальной несжимаемой жидкостью, репрезентирующих теперь не только направления сил, но и их интенсивности, поскольку скорости течения жидкости обратно пропорциональны сечениям этих трубок.

Для сторонника философии Канта было принципиально важно, что эта несжимаемая жидкость практически никакого отношения к реальности не имеет. Максвелл ни в коем случае не собирался утверждать, что какие-либо свойства электромагнитных явлений репрезентируются свойствами несжимаемой жидкости. Не случайно ни в 1856 г., ни позже Максвелл никогда не заботился о том, чтобы построить единую непротиворечивую механическую модель электромагнитных явлений, а часто использовал одновременно несколько моделей, которые даже могли противоречить друг другу.

В работе 1856 г. Максвелл показал, каким образом идея линий движения жидкости может быть применена для описания таких относительно простых разделов, как статическое электричество, постоянный магнетизм, магнетизм индукции и однородные гальванические токи. Там же была введена вторая максвелловская инновация, также основанная на идеях Фарадея – идея «электротонического состояния».

1 ... 17 18 19 20 21 22 23 24 25 ... 45
Перейти на страницу:
  1. Жалоба
Отзывы - 0

Прочитали книгу? Предлагаем вам поделится своим впечатлением! Ваш отзыв будет полезен читателям, которые еще только собираются познакомиться с произведением.


Уважаемые читатели, слушатели и просто посетители нашей библиотеки! Просим Вас придерживаться определенных правил при комментировании литературных произведений.

Просьба отказаться от дискриминационных высказываний. Мы защищаем право наших читателей свободно выражать свою точку зрения. Вместе с тем мы не терпим агрессии. На сайте запрещено оставлять комментарий, который содержит унизительные высказывания или призывы к насилию по отношению к отдельным лицам или группам людей на основании их расы, этнического происхождения, вероисповедания, недееспособности, пола, возраста, статуса ветерана, касты или сексуальной ориентации. Просьба отказаться от оскорблений, угроз и запугиваний. Просьба отказаться от нецензурной лексики. Просьба вести себя максимально корректно как по отношению к авторам, так и по отношению к другим читателям и их комментариям.

Надеемся на Ваше понимание и благоразумие. С уважением, администратор My-Books.me.


Новые отзывы

  1. Александра Александра15 январь 09:37 Очень интересная книга! Особенно, если любишь психологию и хочешь понимать себя и других. Обязательно послушаю до конца. Спасибо.... Кригер Борис – Гнев
  2. Галина Галина25 май 13:02 Очень уважаю Артема Шейнина, книга замечательная, очень мне близкая по духу.Перечитываю уже второй раз, столько пережитого и не... Мне повезло вернуться - Артем Шейнин
  3. Екатерина Екатерина11 январь 08:05 Доброе утро. Подскажите пожалуйста как сохранять книги, ставить закладки?... Подонок - Анастасия Леманн
Все комметарии
Новинки бесплатной онлайн библиотеки