Журнал "Наука. Величайшие теории" №2. Самая притягательная сила природы. Ньютон. Закон всемирного тяготения - Антонио Дуран
Книгу Журнал "Наука. Величайшие теории" №2. Самая притягательная сила природы. Ньютон. Закон всемирного тяготения - Антонио Дуран читаем онлайн бесплатно и без регистрации! Читать онлайн вы можете не только на компьютере, но и на андроид (Android), iPhone и iPad. Наслаждайтесь!
161 0 13:03, 25-05-2019Книга Журнал "Наука. Величайшие теории" №2. Самая притягательная сила природы. Ньютон. Закон всемирного тяготения - Антонио Дуран читать онлайн бесплатно без регистрации
«Некий друг, живущий среди нас, исключительно талантливый в этих вопросах, прислал мне позавчера несколько писем, в которых он описывает метод […] в высшей степени всеобщий; я пришлю вам одно из них вместе с моим следующим письмом, уверен, вы получите от прочтения невыразимое удовольствие».
Одиннадцать дней спустя Ньютон дал согласие на то, чтобы Барроу выслал Коллинзу копию «Анализа», хотя и настаивал на сохранении своей анонимности и последующем возвращении книги. Обратите внимание, что Барроу в своем письме ниже говорит о «прочтении», а не «снятии копии» – намек на то, что отправленное предназначается только для глаз Коллинза:
«Высылаю вам обещанные письма моего друга, изучение которых принесет вам истинное наслаждение, как я на то надеюсь. Прошу вас вернуть их, когда вы их прочтете и когда вам будет это удобно; об этом попросил меня мой друг после того, как я уговорил его позволить мне показать его работу. Поэтому умоляю вас сообщить мне как можно быстрее, как только вы их получите, что они у вас, так как я волнуюсь об их сохранности; я отправил вам письма почтой, чтобы они попали к вам как можно скорее».
Коллинз изучил «Анализ» и поделился с Барроу своим восторгом, и только после этого Ньютон позволил раскрыть свое имя. Вскоре Коллинз вернул «Анализ» Ньютону через Барроу, но сначала собственноручно переписал его. Эту копию, вместе с письмами Барроу, нашел английский математик Уильям Джонс среди документов Коллинза, попавших к нему в 1708 году. Находка натолкнула его на мысль предложить Ньютону издать «Анализ», который в конце концов увидел свет в 1711 году. Эти же письма, когда разгорелся спор Ньютона с Лейбницем о первенстве в открытии анализа, послужили доказательствами, подтверждающими приоритет Ньютона. До конца 1669 года Коллинз и Барроу просили у Ньютона разрешения опубликовать «Анализ», но так и не добились положительного ответа. Как написал Ричард Уэстфол, намекая на спор с Лейбницем, «мнительность Ньютона сеяла семена ожесточенных конфликтов».
Его неуступчивость была тем сильнее, чем более ученый осознавал логические пробелы внутри самого метода: понятие флюксии и правила ее определения, как и дифференциал Лейбница или многочисленные искусные манипуляции с бесконечно малыми предшественников, основывались на так называемых бесконечных количествах. Это были бесконечно малые величины, стремящиеся к нулю, что позволяло при необходимости их не учитывать; однако, поскольку они все же не равнялись нулю, они могли выступать делителем. Было очевидно, что речь идет о крайне неоднозначном математическом понятии, но как Ньютон ни старался избежать его использования, это ему не удалось.
В другой своей работе об анализе, «О квадратуре кривых» (De quadratura curvarum), опубликованной в 1704 году в качестве приложения к «Оптике», Ньютон рассказывает об исчезающем увеличении, близком к математической идее предела, который в XIX веке будут использовать Бернард Больцано и французский математик Огюстен Луи Коши в качестве обоснования современного анализа бесконечно малых.
Ньютон осознавал слабость теории и противился каким- либо публикациям, хотя среди его друзей ходили несколько рукописных копий его работ. Страх ученого повлиял и на его ключевой труд «Математические начала…». В них Ньютон использовал геометрический язык греков, сложный, но более точный с позиций логики. В любом случае, небольшие отрывки, посвященные анализу, содержатся в «Математических началах натуральной философии».
БЕСКОНЕЧНО МАЛЫЕ ВЕЛИЧИНЫ
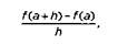
Бесконечность, сущность метода анализа бесконечно малых, маскируется в делении нуля на ноль, которое появляется каждый раз, когда мы хотим вычислить производную. Как говорилось ранее, частное

необходимое при определении производной, нас интересует только в том случае, когда h = 0. Эти величины, близкие к нулю, но не равные ему, математики XVII века называли бесконечно малыми величинами.
Напомним, что бесконечно малые появляются также в интеграле, в форме сегментов нулевой ширины, сумма которых, однако, чудесным образом формирует площадь. В чем смысл этой суммы? Ни Ньютон, ни Лейбниц этого не объяснили. Первоначальный анализ бесконечно малых, который эти ученые создали, а другие математики XVIII века позднее усовершенствовали, можно описать как искусство оперировать бесконечно малыми величинами. Парадокс в том, что никто из этих математических гениев так и не определил, хотя бы с минимальной точностью, что это за величины.
ЛУКАСОВСКАЯ КАФЕДРА
Научная карьера Ньютона в Тринити-колледже Кембриджского университета была поистине фантастической: уже в 1669 году, спустя восемь лет после приезда, он был назначен лукасовским профессором.
Лукасовская кафедра была создана в Кембридже в середине 1660-1670-х годов в соответствии с завещанием Генри Лукаса и просуществовала до наших дней (до 2009 года ее возглавлял один из самых видных представителей науки, Стивен Хокинг). Стипендия, которую завещал Лукас, превращала эту академическую должность в одну из самых престижных. Как мы уже сказали, лукасовская кафедра была в то время единственной из восьми, которая специализировалась на математике и натурфилософии: профессор должен был читать лекции по геометрии, астрономии, географии, оптике, математическим дисциплинам и каждый год передавать в университетскую библиотеку тексты минимум десяти своих докладов. За невыполнение этого условия на профессора налагался штраф, но, кажется, Ньютон, редко следовавший этому правилу, никогда взысканию не подвергался. Как утверждал один его современник, «немногие ходили слушать лекции Ньютона, еще меньше было тех, кто их понимал; в отсутствии слушателей он часто вещал в пустых стенах».
ОТСТАВКА БАРРОУ
Некоторые источники говорят, что Барроу (на иллюстрации) подал в отставку, поскольку был в восторге от необыкновенных способностей Ньютона. Впрочем, эту историю, как и многие другие, повествующие о гениальности ученого, распространял и сам Ньютон: он сказал аббату Конти – человеку, с которым сдружился на почве конфликта с Лейбницем, – о своем первенстве в открытии анализа бесконечно малых, отметив, что он в шести строках уместил решение задачи, в то время как Барроу после долгих попыток предложил более сложное и длинное решение. Тогда Барроу и объявил о своем уходе с кафедры, якобы заявив, что Ньютон – более компетентный и более способный ученый. Без сомнения, отставка Барроу имела другую причину. Глава кафедры был больше теологом, чем математиком, и хотел посвятить себя своему призванию; кроме того, он стремился к должности, имевшей большее политическое влияние. И действительно, на следующий год после своей отставки Барроу был назначен королевским духовником, а спустя два года – главой Тринити-колледжа, и эта должность, в соответствии с уставом кафедры, была несовместима с должностью ее профессора. В любом случае, Барроу покинул свой пост.
Прочитали книгу? Предлагаем вам поделится своим впечатлением! Ваш отзыв будет полезен читателям, которые еще только собираются познакомиться с произведением.
Уважаемые читатели, слушатели и просто посетители нашей библиотеки! Просим Вас придерживаться определенных правил при комментировании литературных произведений.
Просьба отказаться от дискриминационных высказываний. Мы защищаем право наших читателей свободно выражать свою точку зрения. Вместе с тем мы не терпим агрессии. На сайте запрещено оставлять комментарий, который содержит унизительные высказывания или призывы к насилию по отношению к отдельным лицам или группам людей на основании их расы, этнического происхождения, вероисповедания, недееспособности, пола, возраста, статуса ветерана, касты или сексуальной ориентации. Просьба отказаться от оскорблений, угроз и запугиваний. Просьба отказаться от нецензурной лексики. Просьба вести себя максимально корректно как по отношению к авторам, так и по отношению к другим читателям и их комментариям.
Надеемся на Ваше понимание и благоразумие. С уважением, администратор My-Books.me.
Оставить комментарий
-
Александра15 январь 09:37
Очень интересная книга! Особенно, если любишь психологию и хочешь понимать себя и других. Обязательно послушаю до конца. Спасибо....
Кригер Борис – Гнев
-
Галина25 май 13:02
Очень уважаю Артема Шейнина, книга замечательная, очень мне близкая по духу.Перечитываю уже второй раз, столько пережитого и не...
Мне повезло вернуться - Артем Шейнин
-
Екатерина11 январь 08:05
Доброе утро. Подскажите пожалуйста как сохранять книги, ставить закладки?...
Подонок - Анастасия Леманн