Журнал "Наука. Величайшие теории" №2. Самая притягательная сила природы. Ньютон. Закон всемирного тяготения - Антонио Дуран
Книгу Журнал "Наука. Величайшие теории" №2. Самая притягательная сила природы. Ньютон. Закон всемирного тяготения - Антонио Дуран читаем онлайн бесплатно и без регистрации! Читать онлайн вы можете не только на компьютере, но и на андроид (Android), iPhone и iPad. Наслаждайтесь!
161 0 13:03, 25-05-2019Книга Журнал "Наука. Величайшие теории" №2. Самая притягательная сила природы. Ньютон. Закон всемирного тяготения - Антонио Дуран читать онлайн бесплатно без регистрации

РИС.1
Понятие интеграла гораздо более объемное, чем понятие площади. В математике его можно использовать, чтобы рассчитывать объем, длину или центр тяжести, а в физике он соответствует понятию работы: работа, необходимая, чтобы переместить тело, на которое воздействует сила ƒ, между положениями a и b, равна символ интегралbaƒ(t)dt.
Интеграл также необходим для расчета расстояния, пройденного телом, если известен закон его движения (скорость).
Производную и интеграл связывает основная теорема анализа, согласно которой интегрирование обратно дифференцированию. Ньютон называл анализ расчетом флюксий, а мы знаем его как дифференциальное исчисление – это название предложил Лейбниц, второй изобретатель анализа бесконечно малых. Ньютон же считал интегральный анализ обратным анализу флюксий и никогда не стремился дать ему собственное наименование.
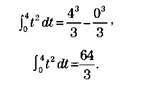
Давайте проанализируем простую физическую задачу: какое расстояние прошло тело за 4 секунды от начала движения, если к t секундам оно двигается со скоростью t² метров в секунду? Это соответствует функции v(t) = t² , которую мы уже рассматривали, и ответ равен символ интегралbat²dt. Как рассчитывается этот интеграл? Исходя из понимания интеграла как площади, его значение соответствует площади, ограниченной участком функции, имеющим параболическую форму. Точное определение интеграла – если не обращаться к геометрическому пониманию площади – сложный вопрос.
Если мы посмотрим на рисунок 1, то убедимся, что площадь состоит из вертикальных сегментов длины/(Ј), где число t принимает все значения между a и b. Рисунок предполагает, что площадь – это сумма этих сегментов. Далее, эти сегменты, будучи отрезками прямой линии, имеют ширину 0, из-за чего кажется, что их сумма не сможет образовать никакой площади. И снова мы сталкиваемся с бесконечно малым значением ширины этих сегментов, которые требуется сложить. В записи, предложенной Лейбницем, появляется понимание площади, ограниченной кривой, как суммы бесконечно малых: в соответствии с рисунком 1 каждый сегмент графика имеет высоту ƒ(t) и, по Лейбницу, бесконечно малую ширину, которую мы записываем как dt. Площадь этих сегментов равна произведению основания на высоту, то есть ƒ{t)dt, а общая площадь, которую мы хотим вычислить, будет суммой произведений: символ интегралƒ(t)dt. Какое значение следовало придать этой сумме, Лейбниц и Ньютон – основатели анализа бесконечно малых – так и не объяснили.
Как мы уже говорили, анализ бесконечно малых связывает производную и интеграл, а согласно основной теореме анализа производные и интегралы являются обратными величинами. Точнее говоря, если мы хотим рассчитать интеграл символ интегралbaƒ(t)dt, то в соответствии с основной теоремой анализа достаточно вычислить функцию F такую, что F'(t) = ƒ(t) для каждого числа t между a и b; тогда символ интегралbaƒ(t)dt = F(b) – F(a). (Также нужно учесть дополнительное условие – неразрывность функции ƒ.)
Рассмотрим пример: основная теорема анализа делает вычисление символ интегралbat²dt довольно простым. Понятие интеграла крайне гибко, так как в зависимости от своей интерпретации он служит для расчета площади, ограниченной параболой или спиралью Архимеда, либо, как мы видели, расстояния, пройденного телом, которое двигается со скоростью v(t)=t² .
Используя основную теорему анализа бесконечно малых, достаточно найти функцию F, производная которой будет равна t². Общая форма производной функции вида ƒ(t)=t' равна ƒ(t)-ntn-1. Отсюда получается, что производная функции

равна t² , так как F'(t)=ntn-1 =3 * t²/3=t². Таким образом:
Как мы уже говорили, расстояние, пройденное за четыре секунды телом, движущимся в течение t секунд со скоростью t² м/с, дает интеграл символ интегралbat²dt ; таким образом, достаточно подставить в предыдущую формулу а = 0 и b = 4, чтобы получить
ОТЦЫ АНАЛИЗА
До последней трети XVII века в математическом европейском мире существовал ряд методов для решения абсолютно разных задач: нахождение касательных к кривым, расчет площадей, объемов и центров тяжести, задачи максимальных и минимальных значений и т.д., которые представляют собой зачаточный этап современного анализа. Однако специфика методов, разработанных в каждом конкретном случае для решения определенных задач, не позволяет говорить об общей теории.
ПРОИЗВОДНАЯ КАК КАСАТЕЛЬНАЯ К КРИВОЙ
Прямая (секущая) и кривая могут пересекаться в нескольких точках. Математически интересный случай – когда прямая касается кривой только в одной точке Р. Эта секущая будет называться касательной, а Р – точкой касания. Для случая с кривой у = ƒ (х) определим две точки α и α + h (h – произвольное значение), как показано на рисунке. Когда функция принимает значение ƒ (α), кривая пересекается двумя прямыми: секущей (S) и касательной (7). Секущая снова пересекает кривую в точке Q, которая соответствует значению ƒ (α + h).

Рассмотрим теперь углы: α, образованный секущей с осью ординат; и β, образованный касательной с той же осью. По мере того как а уменьшается и приближается к β, прямая S все больше приближается к Т. Этот процесс эквивалентен процессу уменьшения разницы между α и α + h, из-за чего по мере того, как h стремится к 0, наклон прямой S все больше приближается к наклону прямой Т. В пределе этого сближения наклон обеих прямых будет одинаковым и связанным с производной f в точке α. Так доказывается, что значение производной функции в точке – то же, что наклон касательной к этой функции в указанной точке. Математически это выглядит так:
Прочитали книгу? Предлагаем вам поделится своим впечатлением! Ваш отзыв будет полезен читателям, которые еще только собираются познакомиться с произведением.
Уважаемые читатели, слушатели и просто посетители нашей библиотеки! Просим Вас придерживаться определенных правил при комментировании литературных произведений.
Просьба отказаться от дискриминационных высказываний. Мы защищаем право наших читателей свободно выражать свою точку зрения. Вместе с тем мы не терпим агрессии. На сайте запрещено оставлять комментарий, который содержит унизительные высказывания или призывы к насилию по отношению к отдельным лицам или группам людей на основании их расы, этнического происхождения, вероисповедания, недееспособности, пола, возраста, статуса ветерана, касты или сексуальной ориентации. Просьба отказаться от оскорблений, угроз и запугиваний. Просьба отказаться от нецензурной лексики. Просьба вести себя максимально корректно как по отношению к авторам, так и по отношению к другим читателям и их комментариям.
Надеемся на Ваше понимание и благоразумие. С уважением, администратор My-Books.me.
Оставить комментарий
-
Александра15 январь 09:37
Очень интересная книга! Особенно, если любишь психологию и хочешь понимать себя и других. Обязательно послушаю до конца. Спасибо....
Кригер Борис – Гнев
-
Галина25 май 13:02
Очень уважаю Артема Шейнина, книга замечательная, очень мне близкая по духу.Перечитываю уже второй раз, столько пережитого и не...
Мне повезло вернуться - Артем Шейнин
-
Екатерина11 январь 08:05
Доброе утро. Подскажите пожалуйста как сохранять книги, ставить закладки?...
Подонок - Анастасия Леманн