» » » Темная сторона материи. Дирак. Антивещество - Хуан Антонио Кабальеро Карретеро

Темная сторона материи. Дирак. Антивещество - Хуан Антонио Кабальеро Карретеро

Книгу Темная сторона материи. Дирак. Антивещество - Хуан Антонио Кабальеро Карретеро читаем онлайн бесплатно и без регистрации! Читать онлайн вы можете не только на компьютере, но и на андроид (Android), iPhone и iPad. Наслаждайтесь!

156 0 11:08, 26-05-2019
Темная сторона материи. Дирак. Антивещество - Хуан Антонио Кабальеро Карретеро
26 май 2019
Автор: Хуан Антонио Кабальеро Карретеро Жанр: Книги / Домашняя Год публикации: 2018 Возрастные ограничения: (18+) Внимание! Аудиокнига может содержать контент только для совершеннолетних.
0 0

Книга Темная сторона материи. Дирак. Антивещество - Хуан Антонио Кабальеро Карретеро читать онлайн бесплатно без регистрации

Поль Дирак, как и Ричард Фейнман, — один из главных представителей «второго поколения» ученых, обратившихся к квантовой механике после первопроходческих работ Планка и Эйнштейна. Знаменитое уравнение, носящее имя Дирака и детально описывающее поведение некоторых частиц, в том числе электрона, впервые объединило теорию относительности и квантовую теорию. Уравнение Дирака доказало возможность существования «антиподов» известных на тот момент частиц — электрона, протона и других. Открытые новые частицы известны нам как антивещество. Молчаливый и замкнутый, скромный и всецело увлеченный своей работой, этот английский инженер стал ученым, который разработал одну из самых передовых теорий современной физики.
1 ... 14 15 16 17 18 19 20 21 22 ... 35
Перейти на страницу:


УРАВНЕНИЕ ДИРАКА

Журнал Proceedings of Royal Society 2 января 1928 года получил через Фаулера статью Дирака под названием «Квантовая теория электрона», где автор писал:

«В статье показано, что недостатки предыдущих теорий (уравнение КГ и теория спина Паули) связаны с их несовместимостью как с относительностью, так и с общей теорией преобразований квантовой механики. Похоже, что самый простой гамильтониан для точечного электрона, соблюдающий основополагающие принципы относительности и теории преобразований, позволяет объяснить все экспериментальные результаты без дополнительных допущений».

Приведенный выше абзац раскрывает ход рассуждений Дирака в процессе выстраивания релятивистского уравнения. С одной стороны, уравнение должно соблюдать основополагающие принципы квантовой теории в том виде, в котором они сформулированы в теории преобразований: «Изначальное состояние системы полностью определяет ее состояние в последующий момент». Это означает, что волновое уравнение должно было быть дифференциальным уравнением первого порядка по времени. Так волновая функция в любой момент четко определяет волновую функцию в последующий момент. Данная формулировка, согласующаяся с уравнением Шрёдингера, но уводящая в сторону от уравнения КГ, ведет к вероятностной плотности, определяемой положительным значением. Этот результат кроме того связан с другим важным аспектом теории преобразований Дирака: гамильтониан системы должен быть самосопряженным оператором (эрмитовым оператором). Такое свойство гарантирует, что собственные значения оператора, то есть значения полной энергии системы, будут действительными.

С другой стороны, Дираку следовало учитывать принцип относительности. Квантовое релятивистское уравнение должно было действовать для любой инерциальной системы отсчета. Но как этого добиться? Решение Дирака своей красотой и простотой подтверждает его огромный творческий гений. В рамках релятивистской теории время и пространственные координаты являются составляющими «четырехмерного вектора пространство — время». Дирак заключил из этого, что нет причин обращаться по-разному с двумя видами переменных в квантовом волновом уравнении. Наоборот, если волновое уравнение должно было быть, согласно квантовой теории, уравнением первого порядка по производной по времени, то релятивистская теория требовала введения пространственных переменных в виде их первых производных. Это симметричное обращение со временем и пространством согласовывалось с релятивистской формулировкой, но уводило от нерелятивистского уравнения Шрёдингера, в котором временные и пространственные переменные появлялись по-разному: производная первого порядка по времени и второго порядка по пространственным переменным. Дирак считал симметрию главным условием релятивистской теории, которая в свою очередь должна согласовываться с релятивистским выражением для энергии:

E = √(c2 р2 + m2с4) (свободная частица).


САМОСОПРЯЖЕННЫЕ ОПЕРАТОРЫ (ЭРМИТОВЫ ОПЕРАТОРЫ) И МАТРИЦЫ ПАУЛИ

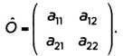
Самосопряженные операторы (эрмитовы операторы) важны для квантовой теории, поскольку присущее им собственное значение является действительным. В случае оператора Гамильтона «самосопряженность» гарантирует нам, что энергия системы, которую мы изучаем, будет действительной. Оператор называют самосопряженным, когда он совпадает со своим сопряженным. Возьмем общий случай квантового оператора, представленного в матричной форме матрицы 2x2:

Темная сторона материи. Дирак. Антивещество

Сопряженный оператор задан матрицей, выстроенной из изначальной матрицы, в которой изменяются строки и столбцы, и каждый элемент заменен комплексно-сопряженным ему элементом. Такая матрица называется сопряженной:

Темная сторона материи. Дирак. Антивещество

Если две матрицы согласуются друг с другом, то есть если Ó = Ö, говорят, что матрица Ó является эрмитово-сопряженной, и в этом случае можно доказать, что ее значения являются действительными. Три матрицы Паули, σxyz, являются эрмитово-сопряженными, и они «антикоммутативны» между собой, то есть соблюдают общие отношения, вытекающие из уравнения Дирака. Однако можно доказать, что любая матрица размера 2x2 может быть записана в виде линейной комбинации трех матриц Паули плюс единичная матрица. Это означает, что невозможно найти четвертую матрицу, которая антикоммутативна каждой из трех матриц Паули. Иными словами, уравнение Дирака требует, чтобы размер каждого из четырех матричных коэффициентов, подлежащих определению, был больше 2x2. Кроме того, матрицы Дирака удовлетворяют антикоммутационным соотношениям, и их след равен нулю.


В итоге его требования к новому квантовому релятивистскому уравнению электрона можно описать следующим образом.

1. Это должно быть дифференциальное уравнение первого порядка по времени, которое симметрично включает пространственные переменные, то есть с производными первого порядка.

2. Оператор Гамильтона должен быть самосопряженным — так, чтобы плотность вероятности определялась положительным значением и чтобы энергии были действительными.

3. Оно должно согласовываться с релятивистским выражением для энергии и быть релевантным для любой инерциальной системы отсчета.

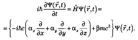
Таким образом, Дирак предложил следующее общее уравнение:

Темная сторона материи. Дирак. Антивещество

Заметим, что два вида переменных — пространство и время — включены одним способом. Кроме того, существует дополнительный член уравнения, ßmc2, связанный с собственной массой электрона, то есть с массой в системе, в которой он находится в состоянии покоя. Уравнение зависит от четырех неизвестных коэффициентов: αxyz,β. Таким образом, вопрос состоит в том, как их определить. Для этого Дирак должен был доказать совместимость своего уравнения с релятивистским выражением для энергии.

Он полностью осознавал «эквивалентность» квантовых операторов и соответствующих классических величин. Кстати, именно это соответствие позволило объяснить форму уравнения Шрёдингера и уравнения Клейна — Гордона. Используя аналогию между классическим и квантовым миром, квантовое уравнение, предложенное Дираком, вело к следующему классическому уравнению для энергии:

Е= с (αxpx + αyрy + αzpz) + ßmc2.

Как связать данное уравнение, линейное в трех составляющих кинетического момента со сложным релятивистским выражением энергии, в котором появляется квадратный корень? Дирак искал способ, позволивший бы ему записать в линейном виде релятивистское уравнение энергии, определив четыре неизвестных коэффициента. Первым большим шагом вперед в этом направлении было открытие того, что его квантовое уравнение может быть совместимым с релятивистским выражением для энергии, только когда введенные им коэффициенты не коммутируют между собой и, кроме того, если квадрат каждого оператора равен единице. Математически это выражается в следующей форме:

1 ... 14 15 16 17 18 19 20 21 22 ... 35
Перейти на страницу:
  1. Жалоба
Отзывы - 0

Прочитали книгу? Предлагаем вам поделится своим впечатлением! Ваш отзыв будет полезен читателям, которые еще только собираются познакомиться с произведением.


Уважаемые читатели, слушатели и просто посетители нашей библиотеки! Просим Вас придерживаться определенных правил при комментировании литературных произведений.

Просьба отказаться от дискриминационных высказываний. Мы защищаем право наших читателей свободно выражать свою точку зрения. Вместе с тем мы не терпим агрессии. На сайте запрещено оставлять комментарий, который содержит унизительные высказывания или призывы к насилию по отношению к отдельным лицам или группам людей на основании их расы, этнического происхождения, вероисповедания, недееспособности, пола, возраста, статуса ветерана, касты или сексуальной ориентации. Просьба отказаться от оскорблений, угроз и запугиваний. Просьба отказаться от нецензурной лексики. Просьба вести себя максимально корректно как по отношению к авторам, так и по отношению к другим читателям и их комментариям.

Надеемся на Ваше понимание и благоразумие. С уважением, администратор My-Books.me.


Новые отзывы

  1. Александра Александра15 январь 09:37 Очень интересная книга! Особенно, если любишь психологию и хочешь понимать себя и других. Обязательно послушаю до конца. Спасибо.... Кригер Борис – Гнев
  2. Галина Галина25 май 13:02 Очень уважаю Артема Шейнина, книга замечательная, очень мне близкая по духу.Перечитываю уже второй раз, столько пережитого и не... Мне повезло вернуться - Артем Шейнин
  3. Екатерина Екатерина11 январь 08:05 Доброе утро. Подскажите пожалуйста как сохранять книги, ставить закладки?... Подонок - Анастасия Леманн
Все комметарии
Новинки бесплатной онлайн библиотеки