Темная сторона материи. Дирак. Антивещество - Хуан Антонио Кабальеро Карретеро
Книгу Темная сторона материи. Дирак. Антивещество - Хуан Антонио Кабальеро Карретеро читаем онлайн бесплатно и без регистрации! Читать онлайн вы можете не только на компьютере, но и на андроид (Android), iPhone и iPad. Наслаждайтесь!
156 0 11:08, 26-05-2019Книга Темная сторона материи. Дирак. Антивещество - Хуан Антонио Кабальеро Карретеро читать онлайн бесплатно без регистрации
«Вашу статью я давно отослал. Не беспокойтесь, вы достаточно молоды и можете себе позволить некоторые глупости».
Спин является основным свойством, позволяющим понять поведение субатомного мира. У него нет эквивалента в классическом мире, это чисто квантовое явление. Следовательно, его нельзя интерпретировать как вращение электрона вокруг собственной оси в пространственных координатах; спин не зависит от уровней пространственной свободы; другими словами, он не зависит ни от координат, ни от моментов.
Уравнение Шрёдингера определяется исключительно в пространстве координат. Таким образом, волновая функция зависит только от пространственных и временных координат: Ψ(ṝ,t). Спин должен быть добавлен как новый уровень свободы. Он является единственным способом объяснить аномальный эффект Зеемана (расщепление спектральных линий) и результаты опыта Штерна — Герлаха, то есть разделение пучка на две симметричные части (см. рисунок).
К середине 1926 года большинство физиков считали, что наличие спина является прямым следствием приложения теории относительности к квантовому миру. Это объясняет, почему в уравнении Шрёдингера (которое соответствует классической теории) не содержится никакой информации о спине. Проблема, однако, была двоякой.
1. Как ввести спин в уравнение Шрёдингера?
2. Если существование спина вытекает из теории относительности, почему его нет в уравнении КГ, которое соответствует релятивистскому выражению энергии?
В мае 1927 года Паули нашел ответ на первый вопрос, развив свою теорию спина и включив его в уравнение Шрёдингера. Так родилось •«уравнение Паули». Но для того чтобы ответить на второй вопрос, надо было дождаться появления квантового релятивистского уравнения электрона — уравнения Дирака.

Опыт Штерна — Герлаха. Пучок выпускаемых из одного источника частиц разделяется на две отдельные части, проходя через неоднородное магнитное поле. Этот опыт подтвердил существование магнитного момента у частиц и доказал постулаты квантовой теории.
УРАВНЕНИЕ ПАУЛИ
Теория Паули известна сегодня как «нерелятивистская теория спина». Согласно Паули, спин электрона следует интерпретировать как его собственный кинетический момент. Поэтому он ввел три оператора для трех пространственных составляющих, соблюдающих общие отношения коммутативности квантовых операторов. Формулировка была аналогичной той, которая соответствовала операторам орбитального движения электрона. Паули также ввел в теорию Шрёдингера соответствующее спину квантовое число ms, которое может принимать только два значения. Паули предложил волновую функцию из двух составляющих, каждая из которых связана с возможным значением квантового числа ms. Таким образом, квантовые операторы спина должны описываться как матрицы 2x2. Паули вывел следующую формулу:
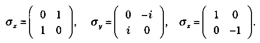
Si = ħ/2 σi
где показатель i относится к любой из трех составляющих х, у, z, а σi представляет собой «матрицы Паули»:
Два возможных значения числа
ms:±ħ/2.
Следующий этап после определения операторов спина был относительно простым для Паули. Электрон на орбите имеет орбитальный кинетический момент и также собственный момент импульса, связанный со спином. Этот момент импульса может приспосабливаться к любому внешнему магнитному полю. Паули приложил свою модель к атому водорода, установив, что наличие спина в гамильтониане приводит к взаимодействию с орбитальным кинетическим моментом электрона.
Теорию Паули ждал большой успех, поскольку она объясняла многие явления, среди которых — аномальный эффект Зеемана и опыт Штерна — Герлаха. Однако сам Паули осознавал слабые места своей теории. Он ввел спин в изначальное уравнение Шрёдингера как простую релятивистскую поправку. Кстати, теория Паули может воспроизвести лишь приближенное выражение (первого порядка) постоянной тонкой структуры Зоммерфельда. Кроме того, уравнение Паули противоречило принципу относительности. Он сам признавал, что «мы вправе требовать от окончательной теории, чтобы она была сформулирована в инвариантной релятивистской форме и позволяла делать расчеты более высокого порядка». Этой дорогой пошел Дирак: он хотел сформулировать уравнение, исходя из основополагающих принципов двух теорий — теории относительности и квантовой теории.
ВОЛЬФГАНГ Э. ПАУЛИ
Вольфганг Эрнст Паули (1900-1958) родился в Вене. В 1918 году он поступил в университет Мюнхена (Германия), где учился под руководством Зоммерфельда. Через два месяца после защиты диссертации Паули опубликовал монографию об общей теории относительности, которую сам Эйнштейн назвал прекрасной.
В 1921 году ученый перебрался в университет Геттингена, где ассистировал Борну. Там он познакомился с Гейзенбергом, с которым после этого у него возникли дружеские отношения на всю жизнь. Через год его пригласили на работу в Институт теоретической физики в Копенгагене, где Паули познакомился с Нильсом Бором. Между 1923 и 1928 годами он преподавал в университете Гамбурга. Именно в этот период были совершены его самые важные открытия в области квантовой теории. В 1924 году Паули ввел квантовое число, относящееся к спину, а в 1925-м опубликовал свою самую знаменитую статью о принципе запрета.
Квантовая физика и строгость
После появления первой работы Гейзенберга по квантовой механике Паули активно участвовал в выстраивании новой теории: он описал спектр атома водорода, развил собственную версию квантовой теории электромагнитного поля и ввел первое описание спина. В 1928 году его назначили профессором теоретической физики в Цюрихской высшей электротехнической школе (Швейцария), где после этого Паули провел всю оставшуюся жизнь (за исключением периода 1940-1945 годов, когда он эмигрировал в США и преподавал в Институте высших исследований Принстона). В 1930 году Паули выдвинул гипотезу существования новой частицы — нейтрино, — однако ее обнаружения пришлось ждать более 20 лет. Среди коллег Паули пользовался репутацией «очень критичного» ученого. Один из его типичных комментариев по поводу работ, которые он считал недостаточно обоснованными, был таким: «Это даже не дотягивает до ошибочного». Паули был одержим всем тем, что было связано с основами квантовой теории. Суровый критический взгляд, касающийся и его собственных трудов, а также глубочайшие познания в физике, наверное, помешали ему создать более оригинальные работы.
Прочитали книгу? Предлагаем вам поделится своим впечатлением! Ваш отзыв будет полезен читателям, которые еще только собираются познакомиться с произведением.
Уважаемые читатели, слушатели и просто посетители нашей библиотеки! Просим Вас придерживаться определенных правил при комментировании литературных произведений.
Просьба отказаться от дискриминационных высказываний. Мы защищаем право наших читателей свободно выражать свою точку зрения. Вместе с тем мы не терпим агрессии. На сайте запрещено оставлять комментарий, который содержит унизительные высказывания или призывы к насилию по отношению к отдельным лицам или группам людей на основании их расы, этнического происхождения, вероисповедания, недееспособности, пола, возраста, статуса ветерана, касты или сексуальной ориентации. Просьба отказаться от оскорблений, угроз и запугиваний. Просьба отказаться от нецензурной лексики. Просьба вести себя максимально корректно как по отношению к авторам, так и по отношению к другим читателям и их комментариям.
Надеемся на Ваше понимание и благоразумие. С уважением, администратор My-Books.me.
Оставить комментарий
-
Александра15 январь 09:37
Очень интересная книга! Особенно, если любишь психологию и хочешь понимать себя и других. Обязательно послушаю до конца. Спасибо....
Кригер Борис – Гнев
-
Галина25 май 13:02
Очень уважаю Артема Шейнина, книга замечательная, очень мне близкая по духу.Перечитываю уже второй раз, столько пережитого и не...
Мне повезло вернуться - Артем Шейнин
-
Екатерина11 январь 08:05
Доброе утро. Подскажите пожалуйста как сохранять книги, ставить закладки?...
Подонок - Анастасия Леманн