Насосы интуиции и другие инструменты мышления - Дэниел К. Деннетт
Книгу Насосы интуиции и другие инструменты мышления - Дэниел К. Деннетт читаем онлайн бесплатно и без регистрации! Читать онлайн вы можете не только на компьютере, но и на андроид (Android), iPhone и iPad. Наслаждайтесь!
502 0 09:01, 12-12-2019Книга Насосы интуиции и другие инструменты мышления - Дэниел К. Деннетт читать онлайн бесплатно без регистрации
упражнение 3
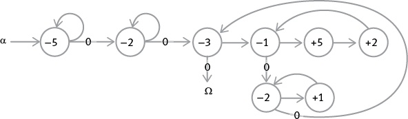
а. Нарисуйте граф потока (и напишите РПА-программу) для умножения содержимого регистра 1 на содержимое регистра 3, поместив ответ в регистр 5.

б. (По желанию) Используя копирование и перемещение, улучшите программу умножения, созданную в задаче а: когда она закончит работу, изначальное содержимое регистра 1 и регистра 3 восстановится, так что вы сможете легко проверить исходные данные и ответы на правильность по завершении программы.





в. (По желанию) Нарисуйте граф потока и напишите РПА-программу, которая изучает содержимое регистра 1 и регистра 3 (не разрушая их!) и записывает адрес (1 или 3) регистра с большим содержимым в регистр 2 или помещает 2 в регистр 2, если содержимое регистров 1 и 3 равно. (После выполнения этой программы содержимое регистра 1 и регистра 3 должно остаться неизменным, а регистр 2 должен показывать, равно ли их содержимое, а если нет, то в каком из регистров содержимое больше.)



упражнение 4 (по желанию)
Нарисуйте граф потока и напишите РПА-программу, которая превращает регистровую машину в простой карманный калькулятор, следующим образом:
а. Используйте регистр 2 для операции:
0 = ADD
1 = SUBTRACT
2 = MULTIPLY
3 = DIVIDE
б. Поместите числа, с которыми будут производиться манипуляции, в регистры 1 и 3.
(Таким образом, 3 0 6 будет означать 3 + 6; 5 1 3 будет означать 5–3; 4 2 5 будет означать 4 * 5; а 9 3 3 будет означать 9 ÷ 3.) Затем поместите результаты операции в регистры 4–7, используя регистр 4 для знака (где 0 означает +, а 1 означает –), регистр 5 для численного ответа, регистр 6 для возможного остатка в случае деления, а регистр 7 для сообщения об ошибке ввода (либо требовании делить на ноль, либо неопределенной операции в регистре 2).




I. Введение
Мысленные эксперименты об эксцентричном тюремщике и драгоценностях в урне взяты с переработками из Elbow Room (Dennett 1984a).
II. Дюжина универсальных инструментов мышления
1. Глава “Совершая ошибки” сначала была статьей “How to Make Mistakes” (Dennett 1995b).
2. Глава “На основе пародии” ранее не публиковалась.
3. Глава “Правила Рапопорта”. В печатном виде я впервые перечислил эти правила в своих рассуждениях о книге Докинза “Бог как иллюзия” в работе Free Inquiry (Dennett 2007a).
4. Глава “Закон Старджона”. Закон обсуждался в статье “Holding a Mirror up to Dupré” (Dennett 2004).
5. Глава “Бритва Оккама” ранее не публиковалась.
6. Глава “Метла Оккама”. На многих сайтах создание этого термина приписывается Сиднею Бреннеру. Судя по всему, он не публиковал ничего на эту тему.
7. Глава “Использование обывателей в качестве ложной аудитории” ранее не публиковалась.
8. Глава “Выпрыгивание” включает материал из статьи “I Could Not Have Done Otherwise – So What?” (Dennett 1984b).
9. Глава “Три вида гулдинга” основана на работах “Confusion over Evolution: An Exchange” (Dennett 1993) и “Shall We Tango? No, But Thanks for Asking” (Dennett 2011b).
10. Глава “Оператор «безусловно»” выросла из ремарок в работе “Get Real” (Dennett 1994a).
11. Глава “Риторические вопросы” ранее не публиковалась.
12. Глава “Что такое глубокость?” основана на материале из работы “With a Little Help from My Friends” (Dennett 2000).
III. Инструменты мышления о значении или содержании
13. Глава “Убийство на Трафальгарской площади” взята из работы “Three Kinds of Intentional Psychology” (Dennett 1981).
14. Глава “Старший брат из Кливленда” взята из работы “Brain Writing and Mind Reading” (Dennett 1975).
15. Глава “Мой папа – врач” взята из книги Content and Consciousness (Dennett 1969).
16. Глава “Манифестная и научная картина мира” содержит материал из работ “Expecting Ourselves to Expect” (Dennett 2013b); “Sakes and Dints” (Dennett 2012) и “Kinds of Things” (Dennett 2013c). Дискуссия о муравьедах и птицах взята из книги Elbow Room (Dennett 1984a).
Прочитали книгу? Предлагаем вам поделится своим впечатлением! Ваш отзыв будет полезен читателям, которые еще только собираются познакомиться с произведением.
Уважаемые читатели, слушатели и просто посетители нашей библиотеки! Просим Вас придерживаться определенных правил при комментировании литературных произведений.
Просьба отказаться от дискриминационных высказываний. Мы защищаем право наших читателей свободно выражать свою точку зрения. Вместе с тем мы не терпим агрессии. На сайте запрещено оставлять комментарий, который содержит унизительные высказывания или призывы к насилию по отношению к отдельным лицам или группам людей на основании их расы, этнического происхождения, вероисповедания, недееспособности, пола, возраста, статуса ветерана, касты или сексуальной ориентации. Просьба отказаться от оскорблений, угроз и запугиваний. Просьба отказаться от нецензурной лексики. Просьба вести себя максимально корректно как по отношению к авторам, так и по отношению к другим читателям и их комментариям.
Надеемся на Ваше понимание и благоразумие. С уважением, администратор My-Books.me.
Оставить комментарий
-
Александра15 январь 09:37
Очень интересная книга! Особенно, если любишь психологию и хочешь понимать себя и других. Обязательно послушаю до конца. Спасибо....
Кригер Борис – Гнев
-
Галина25 май 13:02
Очень уважаю Артема Шейнина, книга замечательная, очень мне близкая по духу.Перечитываю уже второй раз, столько пережитого и не...
Мне повезло вернуться - Артем Шейнин
-
Екатерина11 январь 08:05
Доброе утро. Подскажите пожалуйста как сохранять книги, ставить закладки?...
Подонок - Анастасия Леманн