Насосы интуиции и другие инструменты мышления - Дэниел К. Деннетт
Книгу Насосы интуиции и другие инструменты мышления - Дэниел К. Деннетт читаем онлайн бесплатно и без регистрации! Читать онлайн вы можете не только на компьютере, но и на андроид (Android), iPhone и iPad. Наслаждайтесь!
502 0 09:01, 12-12-2019Книга Насосы интуиции и другие инструменты мышления - Дэниел К. Деннетт читать онлайн бесплатно без регистрации
Постигать новое непросто – для этого недостаточно быстро ознакомиться с идеей и тотчас расписаться в ее правильности. То, что кажется нам непостижимым, вполне может стать довольно очевидным, если мы поработаем подольше. Когда мы с уверенностью называем некоторые вещи поистине невозможными – самое большое простое число, плоский треугольник, сумма углов которого составляет более ста восьмидесяти градусов, или женатого холостяка, – дело не в том, что мы не можем их постичь, а в том, что мы постигли их компоненты так хорошо, что невозможность их соединения стала для нас очевидной.
Пока мы не сумели полностью постичь, как смысл существует в материальном мире, как зародилась и развивалась жизнь, как работает сознание и наделены ли мы свободой воли, но мы делаем успехи: вопросы, которые мы задаем и обдумываем сегодня, гораздо лучше вопросов прошлых лет. Ответы на них не за горами.
Что осталось за кадром
Некоторые читатели ранних версий этой книги удивились и расстроились, не обнаружив в ней ряда самых известных из моих насосов интуиции. На этих страницах не описано несколько десятков насосов, включая некоторые из моих любимых. В нескольких случаях это заслуживает объяснения.
Пожалуй, самым известным из моих насосов интуиции можно признать мысленный эксперимент “Где я?”», но именно из-за его известности я и не стал включать его в эту книгу. Он впервые был описан в книге “Мозговые штурмы” в 1978 г., а в 1981 г. был включен в книгу “Глаз разума”. Эти работы были переведены на десяток языков, а сам эксперимент входил во многие антологии. В фильме “Жертва мозга” (1988) содержится получасовая инсценировка эксперимента (и сам я играю тело будущего Деннета). Небольшая сценка также включена в документальный фильм BBC о сознании и мозге, выпущенный в 1981 г. В 1984 г. эксперимент также был инсценирован куклами яванского театра теней под управлением прославленного кукольника Линн Джеффрис в Гарвардском Loeb Theater. Google не оставляет сомнений, что найти описание этого эксперимента не представляет труда – вместе со множеством комментариев.
“Баллада о пиццерии Шейки” (см. Dennett 1982a) неплохо справляется с развенчанием некоторых представлений о “понимании de re и de dicto”, которые некогда господствовали среди философов, работающих над интенциональностью, но более не были знакомы никому. Если бы я включил ее в эту книгу, мне пришлось бы сначала расписать любопытную, но неверную логику мышления, чтобы затем искоренить ее при помощи моего насоса интуиции. Некоторые философы должны прекрасно в этом разбираться, но остальные могут без потерь оставаться в блаженном неведении.
В разделе об эволюции я неохотно оставил за кадром мой любимый новый насос интуиции “Дарвинистские пространства” Питера Годфри-Смита – лучшее, на мой взгляд, применение многомерного пространства в качестве инструмента мышления в философии, – потому что для его эффективной работы потребовалось бы слишком подробное описание эволюционной теории и биологических феноменов. Я объясняю его техническим языком для других философов биологии и привожу прекрасные примеры его использования в своей рецензии “Гомункулы у руля” (2010) на книгу Годфри-Смита “Популяционное мышление и естественный отбор” (2009). См. также ответ Годфри-Смита (2010).
В моем эссе “Куайнирование квалиа” (1988a) я описываю целых четырнадцать насосов интуиции, призванных прояснить и затем опровергнуть безнадежно запутанную философскую концепцию квалиа. В эту книгу вошел лишь один из них, “Проклятие цветной капусты”. Он помогает мне ввести понятие и познакомить читателей с серьезной проблемой квалиа. Я рекомендую прочитать “Куайнирование квалиа” всем тем, кто по-прежнему считает концепцию квалиа (как ее называют философы) состоятельной. Эссе не раз включалось в разные антологии и доступно в интернете на нескольких языках. В моей книге “Сладкие сны” (2005b) содержатся другие аргументы и насосы интуиции по теме. Среди других насосов интуиции о сознании можно выделить “амнестический кураре” в эссе “Почему нельзя создать компьютер, чувствующий боль” (Dennett 1978c), “Болотная Мэри и робот Мэри” в эссе “Что знает робот Мэри” (Dennett 2007d), а также “оруэлловскую и сталинскую” модели сознания в книге “Объясненное сознание” (Dennett 1991a). Все они требуют более тщательной подготовки мизансцены, чем я мог себе позволить, ибо мне не хотелось, чтобы эта книга не стала слишком длинной.
Я также не включил сюда насосы интуиции для мышления о религии, которые предложил в эссе “Рассеивая чары” (Dennett 2006a), и мой пример с Суперменом, подправляющим сланцы Бёрджесс, приведенный в книге “Наука и религия. Совместимы ли они?” (Dennett, Plantinga 2011).
Решения задач о регистровых машинах
упражнение 1
программа 1:

а. Сколько шагов потребуется регистровой машине, чтобы сложить 2 + 5 и получить 7, выполняя программу 1 (считая Кон отдельным шагом)?
Ответ: шесть шагов. Три декремента, два инкремента, одно окончание программы (последний декремент – переход на ноль).
б. Сколько шагов потребуется машине, чтобы сложить 5 + 2?
Ответ: двенадцать шагов. Шесть декрементов, пять инкрементов и одно окончание программы.
1(Какой из этого можно сделать вывод?)
Ответ: порядок содержимого может иметь большое значение, так что вам может показаться необходимым ввести правило всегда помещать меньшее число в регистр 1, но, если для этого вам сначала придется сравнивать два числа, чтобы выяснить, какое из них меньше, в итоге вам потребуется больше шагов, чем для сложения!
упражнение 2
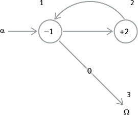
а. Напишите РПА-программу для этого графа потока. (Обратите внимание: поскольку программа разветвляется, вы можете пронумеровать шаги несколькими способами. Неважно, какой из них вы выберете: главное, чтобы на верные следующие шаги указывали команды безусловного перехода.)


б. Что происходит, когда программа пытается вычесть 3 из 3 или 4 из 4?
Программа останавливается с нулем в регистре 4.
в. Какая возможная ошибка предотвращается обнулением регистра 3 перед попыткой вычитания на шаге 3 вместо шага 4?
Если на старте и в регистре 1, и в регистре 2 были нули, в конце программа могла выдать абсурдный ответ (либо – 0, либо число, отличное от 0 и 1, в регистре знака).
Прочитали книгу? Предлагаем вам поделится своим впечатлением! Ваш отзыв будет полезен читателям, которые еще только собираются познакомиться с произведением.
Уважаемые читатели, слушатели и просто посетители нашей библиотеки! Просим Вас придерживаться определенных правил при комментировании литературных произведений.
Просьба отказаться от дискриминационных высказываний. Мы защищаем право наших читателей свободно выражать свою точку зрения. Вместе с тем мы не терпим агрессии. На сайте запрещено оставлять комментарий, который содержит унизительные высказывания или призывы к насилию по отношению к отдельным лицам или группам людей на основании их расы, этнического происхождения, вероисповедания, недееспособности, пола, возраста, статуса ветерана, касты или сексуальной ориентации. Просьба отказаться от оскорблений, угроз и запугиваний. Просьба отказаться от нецензурной лексики. Просьба вести себя максимально корректно как по отношению к авторам, так и по отношению к другим читателям и их комментариям.
Надеемся на Ваше понимание и благоразумие. С уважением, администратор My-Books.me.
Оставить комментарий
-
Александра15 январь 09:37
Очень интересная книга! Особенно, если любишь психологию и хочешь понимать себя и других. Обязательно послушаю до конца. Спасибо....
Кригер Борис – Гнев
-
Галина25 май 13:02
Очень уважаю Артема Шейнина, книга замечательная, очень мне близкая по духу.Перечитываю уже второй раз, столько пережитого и не...
Мне повезло вернуться - Артем Шейнин
-
Екатерина11 январь 08:05
Доброе утро. Подскажите пожалуйста как сохранять книги, ставить закладки?...
Подонок - Анастасия Леманн