Педагоги шутят тоже... Только строже - Борис Горобец
Книгу Педагоги шутят тоже... Только строже - Борис Горобец читаем онлайн бесплатно и без регистрации! Читать онлайн вы можете не только на компьютере, но и на андроид (Android), iPhone и iPad. Наслаждайтесь!
214 0 08:24, 12-05-2019Книга Педагоги шутят тоже... Только строже - Борис Горобец читать онлайн бесплатно без регистрации
— Вот как ты думаешь, какова вероятность, что мы, дойдя до Красной площади, встретим… динозавра?
— Ноль, конечно, отвечает первокурсник.
— А вот и нет, — говорит второкурсник, — ½, что встретим, и ½, что не встретим, а полная вероятность должна быть равна 1.
* * *
Следующий эпизод имел место на математико-механическом факультете Ленинградского университета в конце 1960-х гг.
Два преподавателя, один из которых имел искусственный глаз, а другой — протез ноги, принимали экзамен. Преподавателю без ноги понадобилось выйти, и второй преподаватель, желая пошутить, сказал: «Ну, ты давай быстро, одна нога здесь, другая — там». На что тут же последовал ответ: «Ладно, а ты тут смотри в оба».
(Юля, ИМ)
* * *
В группе учился парень-заика. Заикался не очень сильно, но когда надо было для дела, подыгрывал. Парнишка был с чувством юмора. Очередной экзамен по высшей математике. Экзамен принимает камикадзе математики женского пола — просто так не проскочишь. Заходит парень в аудиторию, отдает зачетку, берет билет и вынимает из сумки батон хлеба, какую-то консерву и нож. Кладет это все перед удивленной женщиной.
— Это что? — удивленно спрашивает она.
Парень начинает говорить, очень сильно заикаясь:
— Б-б-б-б-б-и-л-л-лет с-с-с-с-с-слож-ж-ж-ж-ж-ж-н-н-н-ный. П-п-п-п-п-по-к-к-к-ка з-з-з-з-з-законч-ч-ч-ч-чу от-т-т-твеч-ч-ч-чать, Вы п-п-п-п-рог-г-г-г-г-г-г-голод-д-д-дает-т-тесь.
Тетенька долго смеялась и поставила парню «хор».
(Саша, ИН)
* * *
На мехмате деканом сейчас отбывает Олег Лупанов. Ведет дискретную математику с матлогикой. Он маленького роста, около 1 м 50 см. И вот после пары народ пулей летит в лифт и его моментально заполняет. А в углу лифта, закрытый широкими спинами студентов, стоит декан Лупанов. И вот кто-то подбегает к набитому лифту и кричит:
— Ну подвиньтесь! Там ведь в углу пустое место!
Все улыбаются. А из того угла раздается голос:
— Я не пустое место! Я ваш декан!
(Н. Сергунов, ИН)
* * *
Один педантичный профессор имел обыкновение говорить: «…полином 4-й степени ах4 + bx3 + сх2 + dx + е, где е — не обязано быть основанием натуральных логарифмов, но может им быть».
(Цит. по кн.: [Федин, 2010. С. 17]
* * *
В Российском университете дружбы народов студентка на экзамене получила в решении своей задачи ln0 = е. Преподаватель говорит: «Ошибка. Логарифм нуля не определен».
Но студентка, достав калькулятор и набрав там In 0, показывает ему ответ на экране: Е[21].
* * *
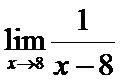
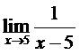
На экзамене в одном из университетов США преподавательница предлагает студенту найти предел функции
Студент молчит. Тогда она мягко подсказывает (из соображений «политкорректности» укорять студентов в США запрещено под угрозой увольнения):
— Смотрите, это ведь так просто:
. А теперь решите аналогичный пример:
.Сможете?
— Я, кажется, понял, в чем тут дело, — радостно восклицает студент и пишет:


(Пересказ по кн.: [Федин и др., 2010. С. 45])
На экзамене студент, дифференцируя функцию двух переменных, повторяет несколько раз термин «круглоед». Преподавательница недоуменно спрашивает:
— А это еще что такое?
— А это из Ваших лекций, — уверенно отвечает студент. — Это есть у меня в конспекте.
Покажите!
После разбора выясняется, что первая лекция по частным производным была студентом пропущена, а потом списана у отличницы из их группы. У нее в рукописи пояснялось, что для отличия от полной производной, обозначаемой через d прямое, частную производную принято обозначать через круглое д. В записи у студентки промежуток перед д был невелик, и вот у переписчика получился круглоед.
(Пересказ по кн.: [Федин и др., 2010. С. 24])
— Я сдаю жилплощадь по цене 10 центов или 0,1 долл. за 1 кв. метр на человека — объявила хозяйка обратившемуся к ней клиенту математику.
— <…> Прекрасно! Но я хотел бы поселиться здесь вместе со своей женой.
— В таком случае ставка возводится в квадрат. И Вы должны будете платить не 10, а 100 центов за 1 кв. метр, т. е. 1 долл.
— Но позвольте, — возразил математик, — в таком случае я буду платить (0,1)2= 0,01 долл. за 1 кв. метр, т. е. один цент!
Кто из них прав?
(Пересказ по кн.: [Жуков и др., 2005])
Слово «эллипс» с тремя ошибками
Несмотря на то что в начале темы о кривых второго порядка я всегда подчеркиваю, как надо правильно писать слово эллипс, многие, сдавая домашние задания, пишут его с одним л: элипс. Но бывают и случаи, правда, редко, когда пишут с двумя ошибками: элепс. А однажды мальчик из Якутии умудрился написать это слово аж с тремя ошибками: елепс.
(Рассказ Б. Г.)
С. Н. Федин сообщает о других забавных ошибках. «Один студент назвал параболоид эпилептическим (вместо эллиптического), гиперболоид однополым, (вместо однополостного). Другой студент назвал гиперболоид второго типа двухлопастным (вместо двухполостного). Дисперсию одна студентка поименовала депрессией».
[Федин и др., 2010. С. 46–47, 56]
В той же книге С. Н. Федина (2009, С. 55) упоминается еще одна из словотворных нелепостей: «интеграл Люмбаго». Так его поименовала студентка матфака педагогического университета. Она имела в виду интеграл Лебега, который упоминался у них в курсе матанализа. Больше он ей в жизни не встречался, но, видимо, встречался медицинский термин люмбаго, означающий невралгию (прострел).
А я из нелепых искажений терминов математического анализа, переводимых студентами в термины медицинского анализа, вспоминаю, как одна из моих студенток назвала гармонический ряд гормональным.
Прочитали книгу? Предлагаем вам поделится своим впечатлением! Ваш отзыв будет полезен читателям, которые еще только собираются познакомиться с произведением.
Уважаемые читатели, слушатели и просто посетители нашей библиотеки! Просим Вас придерживаться определенных правил при комментировании литературных произведений.
Просьба отказаться от дискриминационных высказываний. Мы защищаем право наших читателей свободно выражать свою точку зрения. Вместе с тем мы не терпим агрессии. На сайте запрещено оставлять комментарий, который содержит унизительные высказывания или призывы к насилию по отношению к отдельным лицам или группам людей на основании их расы, этнического происхождения, вероисповедания, недееспособности, пола, возраста, статуса ветерана, касты или сексуальной ориентации. Просьба отказаться от оскорблений, угроз и запугиваний. Просьба отказаться от нецензурной лексики. Просьба вести себя максимально корректно как по отношению к авторам, так и по отношению к другим читателям и их комментариям.
Надеемся на Ваше понимание и благоразумие. С уважением, администратор My-Books.me.
Оставить комментарий
-
Александра15 январь 09:37
Очень интересная книга! Особенно, если любишь психологию и хочешь понимать себя и других. Обязательно послушаю до конца. Спасибо....
Кригер Борис – Гнев
-
Галина25 май 13:02
Очень уважаю Артема Шейнина, книга замечательная, очень мне близкая по духу.Перечитываю уже второй раз, столько пережитого и не...
Мне повезло вернуться - Артем Шейнин
-
Екатерина11 январь 08:05
Доброе утро. Подскажите пожалуйста как сохранять книги, ставить закладки?...
Подонок - Анастасия Леманн