Психология личности - Артур Реан
Книгу Психология личности - Артур Реан читаем онлайн бесплатно и без регистрации! Читать онлайн вы можете не только на компьютере, но и на андроид (Android), iPhone и iPad. Наслаждайтесь!
498 0 21:44, 14-05-2019Книга Психология личности - Артур Реан читать онлайн бесплатно без регистрации
Мы полагаем, что было бы целесообразно различать ординарную и парадоксальную социализацию агрессии. Ординарная социализация агрессии – это непосредственное усвоение навыков агрессивного поведения и развитие агрессивной готовности личности в результате либо прямого деятельного опыта, либо опыта наблюдения агрессии. Заметим попутно: имеется множество экспериментальных данных, из которых следует, что научение посредством наблюдения оказывает на личность даже большее влияние, чем непосредственный деятельный опыт. При парадоксальной социализации агрессии развитие агрессивной готовности личности происходит вне зависимости от наличия непосредственного опыта агрессивного взаимодействия или опыта наблюдения агрессии. Агрессивность как устойчивая личностная характеристика формируется в данном случае вследствие наличия у индивида значительного социального опыта подавления возможностей реализации его актуальных личностных потребностей. Причем имеется в виду, что это подавление осуществляется вне агрессивного контекста, без проявления физической или вербальной агрессии или же враждебности (в значении этого термина по A. Buss). Напротив, блокирование актуальных личностных потребностей чаще всего реализуется в данном опыте социального взаимодействия с «заботой» о личности, в «ее интересах», что имеет место, например, при социализации личности в рамках воспитательной стратегии, описываемой как гиперопека. Таким образом, парадоксальную социализацию агрессии можно рассматривать как фобически-агрессивный след депривационного социального опыта. Косвенным эмпирическим подтверждением предлагаемого подхода являются полученные нами (Реан А. А., 1994), парадоксальные, с традиционных позиций, данные о наличии вполне определенной связи прямого порядка между такими личностными образованиями, как застенчивость и спонтанная агрессивность.
Семья является важнейшим институтом социализации личности. Именно в семье человек получает первый опыт социального взаимодействия. На протяжении какого-то времени семья вообще является для ребенка единственным местом получения такого опыта. Затем в жизнь человека включаются социальные институты, такие как детский сад, школа, улица. Однако и в это время семья остается одним из важнейших, а иногда и наиболее важным фактором социализации личности. Семью можно рассматривать в качестве модели и формы базового жизненного тренинга личности. Социализация в семье происходит как в результате целенаправленного процесса воспитания, так и по механизму социального научения. В свою очередь, сам процесс социального научения также идет по двум основным направлениям. С одной стороны, социальный опыт накапливается в процессе непосредственного взаимодействия ребенка с родителями, братьями и сестрами, а с другой – социализация осуществляется за счет наблюдения особенностей социального взаимодействия других членов семьи между собой. Кроме того, социализация в семье может осуществляться также посредством особенного механизма социального научения, который получил название «викарное научение». Викарное научение связано с усвоением социального опыта за счет наблюдения научения других.
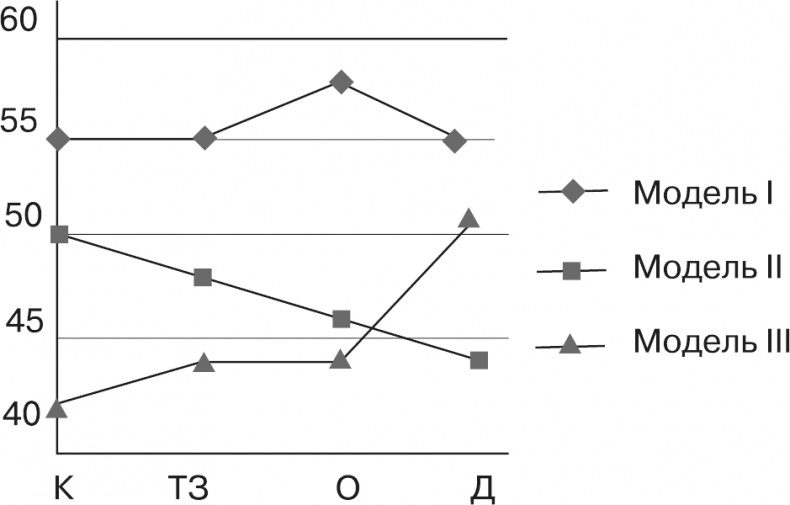
Изучению влияния стиля родительского поведения на социальное развитие детей посвящено множество исследований. Рассмотрим результаты одного из них (Д. Баумринд). В процессе исследования было выделено три группы детей. Первую группу составили дети, у которых отмечался высокий уровень независимости, зрелости, уверенности в себе, активности, сдержанности, любознательности, дружелюбия и умения разбираться в окружающей обстановке (модель I). Вторую группу образовали дети, недостаточно уверенные в себе, замкнутые и недоверчивые (модель II). Третью группу составили дети, которые менее всего были уверены в себе, не проявляли любознательности, не умели сдерживать себя (модель III).
Были рассмотрены четыре параметра поведения родителей по отношению к ребенку: контроль, требование зрелости, общение, доброжелательность. Контроль, то есть попытка влиять на деятельность ребенка. При этом определялась степень подчиненности ребенка требованиям родителей. Требование зрелости: оказание родителями давления на ребенка с целью заставить его действовать на пределе своих умственных возможностей, высоком социальном и эмоциональном уровне. Общение: использование родителями убеждения, для того чтобы добиться от ребенка уступки, выяснение его мнения или отношения к чему-либо. Доброжелательность: насколько родители проявляют заинтересованность в ребенке (похвала, радость от его успехов), теплоту, любовь, заботу, сострадание по отношению к нему.
Какими же оказались особенности стилей взаимодействия родителей с детьми в семьях, где дети демонстрировали разные модели поведения? Результаты исследования приведены на рис. 2.1.

Рис. 2.1. Типы взаимодействия родителей в соответствии с моделью поведения детей
Модель поведения I. Родители, дети которых соответствовали модели поведения I, набрали наибольшее количество очков по всем четырем признакам. Они относились к своим детям нежно, с теплотой и пониманием, доброжелательно, много с ними общались, контролировали детей, требовали осознанного поведения. Прислушиваясь к мнению детей, уважая их независимость, родители в своих действиях не исходили только лишь из желаний детей, а придерживались своих правил, прямо и ясно объясняя мотивы собственных требований. Родительский контроль сочетался с безусловной поддержкой желания ребенка быть самостоятельным и независимым. Эта модель была названа моделью авторитетного родительского контроля.
Модель поведения II. Родители, дети которых следовали модели поведения II, имели более низкие оценки по выделенным параметрам. Они больше полагались на строгость и наказания, относились к детям с меньшей теплотой, меньшим сочувствием и пониманием, редко общались с ними. Они жестко контролировали своих детей, легко применяли свою власть, не побуждали детей выражать свое собственное мнение. Эта модель была названа властной.
Модель поведения III. Родители, дети которых следовали модели поведения III, были снисходительными, нетребовательными, неорганизованными, имели плохо налаженный быт. Они не поощряли детей, относительно редко и вяло делали замечания, не обращали внимания на воспитание независимости ребенка и его уверенности в себе. Эта модель была названа снисходительной.
Любая деформация семьи приводит к негативным последствиям в развитии личности ребенка. Можно выделить два типа деформации семьи: структурную и психологическую. Структурная деформация семьи есть не что иное, как нарушение ее структурной целостности, что в настоящее время связывается с отсутствием одного из родителей (ранее о такой деформации говорили и при отсутствии в семье бабушек и дедушек). Психологическая деформация семьи связана с нарушением системы межличностных отношений в ней, а также с принятием и реализацией в семье системы негативных ценностей, асоциальных установок и т. п.
Прочитали книгу? Предлагаем вам поделится своим впечатлением! Ваш отзыв будет полезен читателям, которые еще только собираются познакомиться с произведением.
Уважаемые читатели, слушатели и просто посетители нашей библиотеки! Просим Вас придерживаться определенных правил при комментировании литературных произведений.
Просьба отказаться от дискриминационных высказываний. Мы защищаем право наших читателей свободно выражать свою точку зрения. Вместе с тем мы не терпим агрессии. На сайте запрещено оставлять комментарий, который содержит унизительные высказывания или призывы к насилию по отношению к отдельным лицам или группам людей на основании их расы, этнического происхождения, вероисповедания, недееспособности, пола, возраста, статуса ветерана, касты или сексуальной ориентации. Просьба отказаться от оскорблений, угроз и запугиваний. Просьба отказаться от нецензурной лексики. Просьба вести себя максимально корректно как по отношению к авторам, так и по отношению к другим читателям и их комментариям.
Надеемся на Ваше понимание и благоразумие. С уважением, администратор My-Books.me.
Оставить комментарий
-
Александра15 январь 09:37
Очень интересная книга! Особенно, если любишь психологию и хочешь понимать себя и других. Обязательно послушаю до конца. Спасибо....
Кригер Борис – Гнев
-
Галина25 май 13:02
Очень уважаю Артема Шейнина, книга замечательная, очень мне близкая по духу.Перечитываю уже второй раз, столько пережитого и не...
Мне повезло вернуться - Артем Шейнин
-
Екатерина11 январь 08:05
Доброе утро. Подскажите пожалуйста как сохранять книги, ставить закладки?...
Подонок - Анастасия Леманн