Лейбниц. Анализ бесконечно малых - Jose Munoz Santonja
Книгу Лейбниц. Анализ бесконечно малых - Jose Munoz Santonja читаем онлайн бесплатно и без регистрации! Читать онлайн вы можете не только на компьютере, но и на андроид (Android), iPhone и iPad. Наслаждайтесь!
228 0 11:30, 26-05-2019Книга Лейбниц. Анализ бесконечно малых - Jose Munoz Santonja читать онлайн бесплатно без регистрации
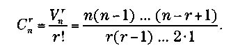
Vrn = n(n-1) • ... • (n-r+1),
где количество множителей равно r, начиная с n.
Наконец, в сочетаниях нас не интересует порядок, мы только хотим знать, сколько существует различных вариантов выбора подмножеств из множества заданных объектов. Допустим, у нас есть набор монет, в котором присутствует только одна монета каждого номинала от 1 евроцента до 2 евро. Если нам дадут три монеты, нас не будет интересовать порядок, в котором они у нас появятся; как известно, от перестановки слагаемых сумма не меняется.
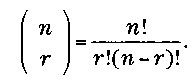
Чтобы найти количество сочетаний п объектов, взятых по г, мы пользуемся таким выражением:

Следующее выражение соответствует частному между факториалами, называемому числом сочетаний:

Итак, если бы мы хотели вычислить, сколько групп из 3 книг мы можем выбрать из возможных 15, нам пришлось бы вычислять число сочетаний 15 элементов взятых по 3, что дало бы:

Но комбинаторика почти с начала времен используется не только в математике, как можно было бы подумать, но и во многих других дисциплинах. Упоминания о перестановках встречаются в древних ассирийских текстах или в греческих источниках. В иудейских документах утверждается, что буквы алфавита расставлены мистическим образом и, если правильно скомбинировать символы и знаки, можно получить любое создание. В самом Талмуде говорится, что с помощью перестановки букв, которым приписывается числовое значение, можно воспроизвести структуру мира. Каббала, которая может быть рассмотрена как система взглядов, раскрывающая аспекты, связанные с человеком, причиной его существования, его предназначением в жизни и так далее, — это наука о числах. В ней раскрывается, помимо прочего, тайный смысл слов, для чего используются три метода: гематрия (наука о числовом значении букв), нотарикон (наука о первой, срединной и последней буквах слов) и темура (наука о перестановке и сочетании букв). Нечто подобное существует и в арабской культуре, где на основе 28 букв, составляющих алфавит, каждая из которых символизирует целое число, открывается бесконечное количество сочетаний.
ARS MAGNA
Целью Раймунда Луллия было найти методы для обращения в христианство евреев и арабов, поэтому он подробно изучал их основные воззрения. Следовательно, на его философию повлияли обе эти культуры. Не углубляясь в детальное изучение его работы, упомянем аспекты, связанные с вычислением, оказавшие влияние на Лейбница.
Ars magna («Великое искусство»), работа Луллия, опубликованная в 1308 году, преследует главную цель — познание Бога. Она основана на комбинаторной логике, и в ней сделана попытка найти все существующие в мире знания на основе нескольких понятий и принципов, которые, благодаря своим сочетаниям, могут охватить все науки. Ars magna тесно связана с логическим рассуждением, и в ней утверждается, что логика служит не только для того, чтобы установить справедливость умозаключений, но и для того, чтобы создавать новые умозаключения с помощью их сочетаний. В работе выделяется ряд принципов, абсолютных и относительных. Первые соответствуют свойствам Бога, в то время как вторые относятся к понятиям взаимодействия между объектами. Луллий связывает алфавит со свойствами Бога. Например, А соответствует самому Богу, следующие буквы — Его различным достоинствам...
| Доброта | В | Могущество | Е | Добродетель | Н |
| Величие | С | Мудрость | F | Истина | I |
| Вечность | D | Воля | G | Слава | J |
Если мы вычислим число сочетаний этих элементов, взятых по два, то получим сумму возможных суждений:

результаты представлены в следующей таблице.
| ВС | CD | DE | EF | FG | GH | HI | U |
| BD | СЕ | DF | EG | FH | GI | HJ | |
| BE | CF | DG | ЕН | FI | GJ | ||
| BF | CG | DH | EI | FJ | |||
| BG | СН | DI | EJ | ||||
| ВН | CI | DJ | |||||
| BI | CJ | ||||||
| BJ |
В качестве дополнения Луллий создал ряд из четырех аксиоматических фигур, смешав одни начала с другими. Ему нужно было механически осуществить то, что ему не позволяли сделать скудные математические познания. Одна из таких фигур соответствовала предыдущей таблице, другая — это круг (как на рисунке 1), поделенный на девять секторов, в которых находились абсолютные начала. На этом круге все достоинства равноудалены от центра, где находится Бог. Под каждой буквой располагается существительное и прилагательное, и каждый сектор связан с другими восьмью, указывая все возможные сочетания. Их можно перемешивать, при этом существительные превращаются в прилагательные и получается, например, великая доброта или доброе величие.
Прочитали книгу? Предлагаем вам поделится своим впечатлением! Ваш отзыв будет полезен читателям, которые еще только собираются познакомиться с произведением.
Уважаемые читатели, слушатели и просто посетители нашей библиотеки! Просим Вас придерживаться определенных правил при комментировании литературных произведений.
Просьба отказаться от дискриминационных высказываний. Мы защищаем право наших читателей свободно выражать свою точку зрения. Вместе с тем мы не терпим агрессии. На сайте запрещено оставлять комментарий, который содержит унизительные высказывания или призывы к насилию по отношению к отдельным лицам или группам людей на основании их расы, этнического происхождения, вероисповедания, недееспособности, пола, возраста, статуса ветерана, касты или сексуальной ориентации. Просьба отказаться от оскорблений, угроз и запугиваний. Просьба отказаться от нецензурной лексики. Просьба вести себя максимально корректно как по отношению к авторам, так и по отношению к другим читателям и их комментариям.
Надеемся на Ваше понимание и благоразумие. С уважением, администратор My-Books.me.
Оставить комментарий
-
Александра15 январь 09:37
Очень интересная книга! Особенно, если любишь психологию и хочешь понимать себя и других. Обязательно послушаю до конца. Спасибо....
Кригер Борис – Гнев
-
Галина25 май 13:02
Очень уважаю Артема Шейнина, книга замечательная, очень мне близкая по духу.Перечитываю уже второй раз, столько пережитого и не...
Мне повезло вернуться - Артем Шейнин
-
Екатерина11 январь 08:05
Доброе утро. Подскажите пожалуйста как сохранять книги, ставить закладки?...
Подонок - Анастасия Леманн