Планк. Квантовая теория - Alberto Tomas Perez Izquierdo
Книгу Планк. Квантовая теория - Alberto Tomas Perez Izquierdo читаем онлайн бесплатно и без регистрации! Читать онлайн вы можете не только на компьютере, но и на андроид (Android), iPhone и iPad. Наслаждайтесь!
200 0 11:30, 26-05-2019Книга Планк. Квантовая теория - Alberto Tomas Perez Izquierdo читать онлайн бесплатно без регистрации
Макс Планк стоит в ряду величайших физиков благодаря своим заслугам по введению понятия кванта энергии и связанной с именем ученого постоянной. Но проблема излучения черного тела, которая привела его к квантам, была одной из целого ряда вопросов, с которыми ученый столкнулся за свою карьеру исследователя. Он совершил множество открытий в области термодинамики и считается одним из ее основателей. Также он проявлял большой интерес к специальной теории относительности и вместе со своими современниками внес вклад в ее развитие и консолидацию. Следствием его работы над излучением черного тела стала система «естественных единиц измерения» — планковских единиц, приобретших сегодня такую важность и актуальность, о которых и не думал их создатель. Только за этот вклад в науку Планк достоин занимать почетное место в ряду великих физиков.
Макс Планк вместе с Паулем Друде руководил изданием журнала Annalen der Physik, когда в 1905 году в нем были напечатаны две основополагающие статьи по теории относительности.
Первая из них вышла в июне под заголовком «К электродинамике движущихся тел». Вторая статья имела название «Зависит ли масса тела от содержащейся в нем энергии?», она умещалась на двух неполных страницах, и в ней выводилось знаменитое уравнение Е = mc². Обе статьи были подписаны именем Альберта Эйнштейна.
Как рассказывает сестра Эйнштейна, Майя, он с нетерпением ждал реакции на свою статью, но в следующих номерах не появилось никаких комментариев, даже критических. Чуть позже Альберт получил письмо из Берлина. Отправитель, Макс Планк, просил сделать уточнения по некоторым пунктам статьи. Письмо наполнило Эйнштейна ликованием — оно означало, что его работа не только не осталась незамеченной, но и получила отзыв одного из величайших физиков эпохи.
Встреча Планка и Эйнштейна состоялась осенью 1905 года на физическом коллоквиуме в Берлинском университете, и началась долгая дружба ученых. Тогда же, в Берлине, им удалось в деталях обсудить работу Эйнштейна и связанные с ней вопросы. Одним из постулатов новой теории был принцип относительности, согласно которому все физические процессы протекают одинаково для двух наблюдателей при относительном движении, поэтому Планк начал использовать термин Relativtheorie (относительная теория). Позже на одной из лекций Планка возник термин Relativitatstheorie (теория относительности). Пауль Эренфест использовал это название в своей статье в 1907 году, и постепенно термин закрепился. Показательно, что имя Планка связано с появлением двух важнейших понятий физики XX века — относительности и кванта.
Интерес Планка к относительности был связан с его поиском абсолюта. В автобиографии ученого мы читаем:
«В начале этой автобиографии я подчеркнул, что самой прекрасной научной задачей мне всегда представлялись поиски абсолютного. Может показаться, что это противоречит моему интересу к теории относительности. Однако такое суждение основано на принципиальной ошибке, так как само относительное предполагает существование чего-то абсолютного, оно только тогда имеет смысл, когда ему противостоит нечто абсолютное. Часто произносимая фраза «Все относительно» также вводит в заблуждение, потому что она бессмысленна. Таким образом, в основе так называемой теории относительности заложено нечто абсолютное; таковым является определение меры пространственно-временного континуума, и как раз особенно привлекательная задача состоит в том, чтобы разыскать то абсолютное, что придает относительному его подлинный смысл».
Этими словами Планк хотел подчеркнуть, что в центре теории, предложенной Эйнштейном, имеется константа, универсальный инвариант, абсолют: скорость света, которая всегда одинакова для всех наблюдателей вне зависимости от их относительного движения.
Вклад Планка в релятивизм
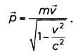
Один текст, написанный Планком в 1906 году, превратил его в первого физика, создавшего статью о теории относительности после самого Эйнштейна. В этой и последующих статьях Планк вывел релятивистское выражение импульса р частицы при известной массе покоя m и скорости v;

Чем больше разница между скоростью объекта v и скоростью света с, тем больше это выражение приближается к аналогичному выражению в классической механике, р = mv. То есть объектам с небольшой скоростью классическая механика предоставляет прекрасную возможность приближения к физической реальности. Планк также вывел, как меняются импульс и энергия частицы при изменении соответствующей системы, и сформулировал принцип наименьшего действия в релятивистской версии. Это принцип классической механики: согласно ему, из всех траекторий, которые может описать частица для перемещения между двумя точками, реальной является та, что делает наименьшей функцию, называемую действием. Планк доказал, что этот принцип применим и для релятивистской механики.
Семинары Планка по теории относительности познакомили с этой дисциплиной его ассистента, Макса фон Лауэ, который также начал работать над разными проблемами относительности и стал одним из основных экспертов своего времени по этой теме. Фон Лауэ написал первый учебник, целиком посвященный специальной теории относительности. Весной 1909 года Планк отправился в Соединенные Штаты, где в Нью- Йорке, в Колумбийском университете, прочитал цикл научных лекций, которые были собраны в книгу «Теоретическая физика: Восемь лекций...». В одной из этих лекций он представил фундаментальные понятия теории относительности и, таким образом, стал первым ученым, начавшим ее распространение.
Во время путешествия Планк был поражен антиалкогольной политикой, царящей в американском обществе, — на нее уже обращал внимание Больцман во время своей поездки в Калифорнийский университет в Беркли в 1906 году. В небольшой книжке «Путешествие одного немецкого профессора в Эльдорадо» Больцман легко и с юмором рассказывает о пребывании в этой стране, демонстрируя замечательные литературные способности. Он описывает проблемы с желудком, которые возникли, по мнению ученого, из-за того, что он вынужден был пить воду во время еды. Больцман пишет, что попытался узнать у американского коллеги, где можно купить вино, но эффект был таким, будто ученого интересовал как минимум дом свиданий, и добавляет:
«Он озабоченно осмотрелся, чтобы нас никто не слышал, внимательно смерил меня взглядом, чтобы проверить, спрашиваю ли я его всерьез, и, наконец, дал мне адрес прекрасного магазина в Окленде, где продавалось калифорнийское вино».
Больцман получил свое вино, но вынужден был пить его тайком после еды. По всей видимости, желудок ученого был ему благодарен. Планк вспоминал о своем путешествии: «За время моего пребывания я не выпил ни капли вина или пива, даже близко не подходил к ликерам, вследствие этого я чувствовал себя необыкновенно хорошо».
В первые годы активной исследовательской деятельности Планк много занимался термодинамикой, применяя второе начало к растворам, газовым смесям, фазовым переходам. Он получил довольно объемную серию результатов, но не знал, что за тысячи километров от Германии великий американский физик Джозайя Уиллард Гиббс уже выявил те же данные в более общей форме. Гиббс опередил не только Планка, но и Эйнштейна с его первыми статьями 1903 года о статистических основах термодинамики. Однако Планк работал с термодинамикой всю свою жизнь, и ему принадлежит одна из формулировок второго начала термодинамики, которая обычно фигурирует в учебниках (о ней мы говорили в первой главе).
Прочитали книгу? Предлагаем вам поделится своим впечатлением! Ваш отзыв будет полезен читателям, которые еще только собираются познакомиться с произведением.
Уважаемые читатели, слушатели и просто посетители нашей библиотеки! Просим Вас придерживаться определенных правил при комментировании литературных произведений.
Просьба отказаться от дискриминационных высказываний. Мы защищаем право наших читателей свободно выражать свою точку зрения. Вместе с тем мы не терпим агрессии. На сайте запрещено оставлять комментарий, который содержит унизительные высказывания или призывы к насилию по отношению к отдельным лицам или группам людей на основании их расы, этнического происхождения, вероисповедания, недееспособности, пола, возраста, статуса ветерана, касты или сексуальной ориентации. Просьба отказаться от оскорблений, угроз и запугиваний. Просьба отказаться от нецензурной лексики. Просьба вести себя максимально корректно как по отношению к авторам, так и по отношению к другим читателям и их комментариям.
Надеемся на Ваше понимание и благоразумие. С уважением, администратор My-Books.me.
Оставить комментарий
-
Александра15 январь 09:37
Очень интересная книга! Особенно, если любишь психологию и хочешь понимать себя и других. Обязательно послушаю до конца. Спасибо....
Кригер Борис – Гнев
-
Галина25 май 13:02
Очень уважаю Артема Шейнина, книга замечательная, очень мне близкая по духу.Перечитываю уже второй раз, столько пережитого и не...
Мне повезло вернуться - Артем Шейнин
-
Екатерина11 январь 08:05
Доброе утро. Подскажите пожалуйста как сохранять книги, ставить закладки?...
Подонок - Анастасия Леманн