Математика любви. Закономерности, доказательства и поиск идеального решения - Ханна Фрай
Книгу Математика любви. Закономерности, доказательства и поиск идеального решения - Ханна Фрай читаем онлайн бесплатно и без регистрации! Читать онлайн вы можете не только на компьютере, но и на андроид (Android), iPhone и iPad. Наслаждайтесь!
225 0 11:09, 13-05-2019Книга Математика любви. Закономерности, доказательства и поиск идеального решения - Ханна Фрай читать онлайн бесплатно без регистрации
Подобная методика используется для прогнозирования и остановки эпидемий, избавляя медиков от необходимости проводить сложное и дорогое выявление всей сети заболевших. А кроме того, такие расчеты, как мне кажется, рассказывают нам что-то очень важное о том, как просто устроена обширная сеть, которая соединяет всех нас.
Так что в следующий раз, занося новый трофей в свой донжуанский список, подумайте об огромной разветвленной сети, частью которой вы становитесь. Математики не в состоянии помочь вам повысить качество секса, но мы пытаемся – и нам это удается – сократить число инфекционных заболеваний, которые вы можете подхватить.
И разве это само по себе уже не секси?
Когда речь идет о любви, долгосрочные решения – рискованное дело. Рано или поздно все мы решаем, наконец, сказать “прощай” беззаботной холостяцкой жизни и остепениться. Грехи юности, если таковые были, пора оставить в прошлом, пришло время для партнерства на всю жизнь. Но как понять, что мы действительно нашли свою вторую половинку? Любой человек с математическим складом ума скажет вам, что это сложный и тонкий выбор: то ли терпеливо ждать подходящего человека, то ли поторопиться, чтобы не упустить свой шанс, пока не расхватали всех подходящих кандидатов. Спросите у любого, кто попал в ловушку “парадокса доступных холостяков”.
Если же вы решите никогда не заводить семью, то может случиться так, что в конце жизни вам останется лишь сидеть в одиночестве и перебирать по пальцам тех, с кем вы когда-то встречались, прикидывая, каким прекрасным спутником жизни мог бы стать тот или иной из них. По всей видимости, к тому моменту все это копание в прошлом будет уже совершенно бесплодным, но если бы вы занялись подобными размышлениями раньше, то значительно облегчили бы себе выбор спутника жизни.
Подходящие именно для вас “половинки” существуют, и они ждут, чтобы вы их нашли. То есть имеется некий список, пусть и воображаемый. Но остается большой вопрос: как выбрать из этого воображаемого списка лучшего кандидата для долгой совместной жизни, если вы не знаете, что вас ждет впереди?
Давайте на минуту предположим, что правила игры очень просты: после того, как вы сделали выбор, вы уже не можете заглянуть вперед и увидеть там новых возможных кандидатов. И наоборот: если вы кого-то отвергли, вы уже не можете спустя некоторое время передумать и вернуться к этому кандидату. Во всяком случае, мой опыт говорит, что люди весьма негативно реагируют, когда через несколько лет им вдруг звонит человек, который их когда-то отверг, и звонит только потому, что за это время не нашел никого получше.
Если поставить себе такие ограничения, то область математики, которая называется “теория оптимальной остановки случайного процесса”, может предложить наилучшую стратегию поиска того самого “кандидата номер один”, несравненного Прекрасного принца (или Принцессы). Ход рассуждений тут самый простой и логичный: пока вы молоды, играйте в свое удовольствие, не рассматривая никого в качестве спутника жизни, пока окончательно не освоитесь на этой “игровой площадке”. Когда этот этап (назовем его “фазой отвержения”) будет пройден, выбирайте первого, кто ответит на ваши чувства и кто при этом будет лучше, чем любой из ваших предыдущих партнеров.
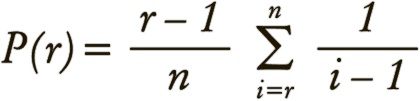
Однако теория оптимальной остановки идет дальше. Оказывается, что вероятность того, что вы остановитесь, остепенитесь и останетесь с лучшим из возможных партнером (эта вероятность обозначена в уравнении буквой P), зависит от числа ваших потенциальных спутников жизни (n) и от того, скольким из них вы уже отказали (r), и эта зависимость описывается довольно элегантной формулой:

Эта формула, на вид вполне невинная, в состоянии объяснить, сколько претендентов вы должны отвергнуть, прежде чем ваши шансы обрести идеального партнера станут максимальными. Например, если вам на роду написаны десять партнеров за всю жизнь, то наибольшая вероятность найти вашего Единственного и Неповторимого возникает после того, как вы отвергли первых четырех поклонников (и эта вероятность составляет 39,87 %). Если вам суждено встретиться с двадцатью потенциальными спутниками, вы должны отказать первым восьми (и в 38,42 % случаев следующим будет мистер или мисс Совершенство).
И, наконец, если ваша судьба – бесконечное число партнеров, вы должны отклонить первые 37 % – и тогда ваши шансы на успех будут чуть больше, чем один к трем[9]. Я математик, и поэтому, конечно, человек предвзятый, но, признаюсь, от этого результата у меня буквально срывает крышу.
Если вы отвергнете эту стратегию и решите просто остановиться на случайно выбранном партнере из своего списка, то шанс, что это окажется ваша истинная любовь, составляет 1/n, то есть 5 % (в случае, если вам за всю жизнь предназначено вступить в отношения с двадцатью партнерами). Однако, просто отвергнув 37 % из своих двадцати партнеров, вы можете коренным образом изменить судьбу, увеличив свои шансы до впечатляющих 38,42 %!
Хорошо-хорошо, пока меня окончательно не занесло: конечно, вы могли заметить, что если попытаться приложить этот план к настоящим человеческим отношениям, в нем обнаружатся определенные изъяны. Если вы не член английской королевской семьи XVI века, то ваши потенциальные женихи или невесты не будут заранее выстраиваться в длинную очередь. Кроме того, нет ни малейшей возможности узнать, со сколькими людьми вы могли бы завязать отношения в течение всей своей жизни. И если вас зовут не Хью Хефнер, вы, вероятно, не планируете иметь бесконечно большое число сексуальных партнеров.
К счастью, есть и другой вариант этой задачи, который гораздо больше подходит для простых смертных, таких, как вы и я, и позволяет получить столь же впечатляющий результат. В этом варианте вам совершенно не обязательно гадать, сколько партнеров вы могли бы встретить за всю свою жизнь – достаточно знать, как долго вы планируете вести свободный образ жизни, прежде чем решите остепениться. Расчеты в этом случае намного сложнее[10], хотя в конце вновь всплывает тот же результат – 37 %. Только на этот раз он относится не к количеству претендентов, а ко времени.
Допустим, вы начали бегать на свидания в пятнадцать лет и в идеале хотели бы остепениться и завести семью к сорока. Назовем эти двадцать пять лет “окном свиданий”. В течение первых 37 % этого срока (то есть примерно пока вам не стукнет двадцать четыре) вы должны отказывать всем, кто предлагает вам любовь до гроба. Используйте это время, чтобы понять, что к чему и, главное, разобраться, чего, в сущности, вы хотите от будущего спутника жизни. Когда этот этап закончится, выбирайте первого, кто окажется лучше всех предыдущих.
Прочитали книгу? Предлагаем вам поделится своим впечатлением! Ваш отзыв будет полезен читателям, которые еще только собираются познакомиться с произведением.
Уважаемые читатели, слушатели и просто посетители нашей библиотеки! Просим Вас придерживаться определенных правил при комментировании литературных произведений.
Просьба отказаться от дискриминационных высказываний. Мы защищаем право наших читателей свободно выражать свою точку зрения. Вместе с тем мы не терпим агрессии. На сайте запрещено оставлять комментарий, который содержит унизительные высказывания или призывы к насилию по отношению к отдельным лицам или группам людей на основании их расы, этнического происхождения, вероисповедания, недееспособности, пола, возраста, статуса ветерана, касты или сексуальной ориентации. Просьба отказаться от оскорблений, угроз и запугиваний. Просьба отказаться от нецензурной лексики. Просьба вести себя максимально корректно как по отношению к авторам, так и по отношению к другим читателям и их комментариям.
Надеемся на Ваше понимание и благоразумие. С уважением, администратор My-Books.me.
Оставить комментарий
-
Александра15 январь 09:37
Очень интересная книга! Особенно, если любишь психологию и хочешь понимать себя и других. Обязательно послушаю до конца. Спасибо....
Кригер Борис – Гнев
-
Галина25 май 13:02
Очень уважаю Артема Шейнина, книга замечательная, очень мне близкая по духу.Перечитываю уже второй раз, столько пережитого и не...
Мне повезло вернуться - Артем Шейнин
-
Екатерина11 январь 08:05
Доброе утро. Подскажите пожалуйста как сохранять книги, ставить закладки?...
Подонок - Анастасия Леманн