Когнитивная психология - Роберт Солсо
Книгу Когнитивная психология - Роберт Солсо читаем онлайн бесплатно и без регистрации! Читать онлайн вы можете не только на компьютере, но и на андроид (Android), iPhone и iPad. Наслаждайтесь!
670 0 03:39, 27-05-2019Книга Когнитивная психология - Роберт Солсо читать онлайн бесплатно без регистрации
Решите ли вы тем не менее купить билет за $10 и посмотреть пьесу?
(Ответ «да» — 88%).
Задача В (N=200). Представьте, что вы решили посмотреть пьесу и заплатили за входной билет $10. Подходя к театру, вы обнаружили, что потеряли этот билет. Ваше место не регистрировалось, и билет нельзя восстановить.
Заплатите ли вы $10 за новый билет?
(Ответ «да» — 46%).
В обоих случаях вы «пролетели» на $10. И все же в первом случае билет купили бы примерно вдвое больше испытуемых, чем во втором, хотя потеря денег в обоих случаях одинакова[95].
На оценку вероятности события влияет не только доступность этого события, но и то, насколько характерными признаются его существенные свойства для данной группы. Рассмотрим такой пример из исследования Канемана и Тверски (Kahneman & Tversky, 1972):
В каждом круге игры 20 стеклянных шариков распределяются случайным образом среди пятерых детей: Алана, Бена, Карла, Дэна и Эда. Рассмотрим следующие распределения:

Если кругов игры много, какого типа результатов будет больше — типа I или типа II?
Каков ваш ответ? Если вы выбрали распределение I, то ваше мнение совпадает с мнением большинства испытуемых, и оно, конечно же, неверно. Когда испытуемые читают слово «случайный», у них создается впечатление, что распределение должно быть хаотическим или бессистемным, и когда их просят оценить вероятность распределений I и II, они думают, что второе распределение слишком упорядоченно, чтобы быть «случайным». Тот же тип ошибки наблюдался при оценке вероятности последовательных рождений девочек и мальчиков в вышеприведенном примере.
Еще одним, несколько неожиданным результатом при оценке вероятности было то, что люди склонны игнорировать объем выборки. Когда испытуемых спрашивали, равны ли вероятности нахождения 600 мальчиков среди 1000 детей и 60 мальчиков среди 100 детей, они отвечали, что оба случая равновероятны. На самом деле, если исходить из равного распределения полов, то первый случай гораздо менее вероятен, чем второй.
Мы видели, что при получении новой или другой информации люди могут пересматривать свою оценку вероятностей. В ситуации выбора между равно привлекательными возможностями, например пойти или на концерт, или в кино, мы можем принять решение в пользу кино, если узнаем, что билеты на концерт есть только по цене $35. Математическая модель, дающая метод оценки гипотез об изменении величины вероятности, называется теоремой Байеса по имени ее автора Томаса Байеса, математика, жившего в XVIII веке. Мы проиллюстрируем применение его теоремы на следующем примере принятия решения.

Томас Байес (1701-1761) родился в богатой семье, изучал логику и богословие в Эдинбурге и написал только две научные статьи, изданные после его смерти. Его «теорема», опубликованная в 1763 году, приобрела большую популярность, а недавно к ней обратились психологи и социологи
Предположим, что долгие, романтические и эмоциональные отношения между вами и вашей возлюбленной закончились ужасной ссорой, и вы поклялись никогда не встречаться с ней снова. Проходит несколько месяцев, в течение которых вы тщательно избегаете ситуаций, в которых могли бы «случайно» встретить вашу бывшую любовь. Ваш общий друг приглашает вас на большую вечеринку. Решение, идти или нет, зависит от ощущаемой вероятности, что ваша бывшая любовь тоже там будет. Поразмыслив над ситуацией, вы решаете, что общий друг вряд ли мог оказаться столь нетактичным, чтобы пригласить и вас и ее. Далее с учетом прошлого опыта аналогичных ситуаций, вы можете оценить вероятность «встречи» как примерно 1/20. Математически эту гипотезу можно записать как
Р(Н) = 1/20.
Это уравнение читается так: «вероятность гипотезы равна 5% (или 5 из 100)». Эта гипотеза основана на априорной вероятности, то есть на вероятности, что событие произойдет при наличии аналогичных ситуаций. Можно выдвинуть другую гипотезу о том, что вероятность не встретиться с вашей любовью на вечеринке составит
Р(—Н) = 1/20.
или «вероятность, что событие не произойдет, составляет 95%».
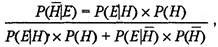
Если бы реальные ситуации можно было свести к таким вероятностным утверждениям, жизнь была бы простой и скучной. Вы могли бы сравнить вероятность нежелательной встречи с вероятностью получить удовольствие от посещения вечеринки, а затем принять решение. В нашем случае предположим, что вы решили пойти на вечеринку. Подъезжая к дому, вы замечаете припаркованный у подъезда желтый «Фольксваген». За несколько секунд вы вычисляете вероятность того, что этот автомобиль принадлежит вашей бывшей пассии (что означало бы также, что она тоже присутствует на этой вечеринке), и сравниваете эту новую информацию с прежней информацией о вероятности того, что хозяин пригласил вас обоих на одну вечеринку. Эта ситуация называется условной вероятностью — вероятностью, что новая информация верна, если верна конкретная гипотеза. В этом случае предположим, что вероятность того, что этот автомобиль принадлежит бывшей возлюбленной, составляет 90% (другие 10% можно приписать различным факторам, включая возможность того, что этот автомобиль был продан кому-то еще, дан кому-то взаймы или это просто похожий автомобиль). Согласно теореме Байеса, совместная вероятность (1/20 за то, что этого человека пригласили, плюс 9/10 за то, что наличие автомобиля говорит о его присутствии) может быть вычислена по следующей формуле:

где Р(Н|Е) — это вероятность того, что верна гипотеза (Я) при наличии условия Е; в нашем случае это вероятность того, что бывшая возлюбленная будет на вечеринке с учетом первоначальной низкой вероятности и новой полученной информации; Р(Е|Н) обозначает вероятность того, что Е истинно при условии H (например, вероятность того, что автомобиль принадлежит именно ей, равна 90%); Р(Н) — это вероятность первоначальной гипотезы (Р = 5%), а переменные Р(Е|Н) и Р(Н) обозначают вероятность того, что событие не произойдет (10% и 95%). Подставив эти числа в формулу, мы можем решить уравнение для Р(Н|Е):
Прочитали книгу? Предлагаем вам поделится своим впечатлением! Ваш отзыв будет полезен читателям, которые еще только собираются познакомиться с произведением.
Уважаемые читатели, слушатели и просто посетители нашей библиотеки! Просим Вас придерживаться определенных правил при комментировании литературных произведений.
Просьба отказаться от дискриминационных высказываний. Мы защищаем право наших читателей свободно выражать свою точку зрения. Вместе с тем мы не терпим агрессии. На сайте запрещено оставлять комментарий, который содержит унизительные высказывания или призывы к насилию по отношению к отдельным лицам или группам людей на основании их расы, этнического происхождения, вероисповедания, недееспособности, пола, возраста, статуса ветерана, касты или сексуальной ориентации. Просьба отказаться от оскорблений, угроз и запугиваний. Просьба отказаться от нецензурной лексики. Просьба вести себя максимально корректно как по отношению к авторам, так и по отношению к другим читателям и их комментариям.
Надеемся на Ваше понимание и благоразумие. С уважением, администратор My-Books.me.
Оставить комментарий
-
Александра15 январь 09:37
Очень интересная книга! Особенно, если любишь психологию и хочешь понимать себя и других. Обязательно послушаю до конца. Спасибо....
Кригер Борис – Гнев
-
Галина25 май 13:02
Очень уважаю Артема Шейнина, книга замечательная, очень мне близкая по духу.Перечитываю уже второй раз, столько пережитого и не...
Мне повезло вернуться - Артем Шейнин
-
Екатерина11 январь 08:05
Доброе утро. Подскажите пожалуйста как сохранять книги, ставить закладки?...
Подонок - Анастасия Леманн